Dünya Üzerindeki Tüm Buzlar Eriseydi Ne Olurdu?
Tüm buzullar erirse; İstanbul, İzmir ve Adana gibi illerimizin neredeyse tamamı, Datça ve Bodrum gibi ilçelerimiz ve Kuzeydoğu KKTC gibi bölgelerimiz yok olabilir!

Bu haber 4 yıl öncesine aittir. Haber güncelliğini yitirmiş olabilir; ancak arşivsel değeri ve bilimsel gelişme/ilerleme anlamındaki önemi dolayısıyla yayında tutulmaktadır. Ayrıca konuyla ilgili gelişmeler yaşandıkça bu içerik de güncellenebilir.
Evet, iklim değişimi gerçektir. Hiç şüphe yok ki biz atmosfere yüksek miktarda karbondioksit salıyoruz ve bu karbondioksit iklimleri değiştiriyor. İşler iyice kötüye gitmeye başladı gibi gözüküyor, ciddi manada kötüye.
Peki ya küresel sıcaklık Antarktika'daki buz örtüsünü eritmeye yetecek kadar yükselseydi, ne olurdu? Oradaki su miktarı ne kadar, deniz seviyesi ne kadar yükselirdi? Peki ya Arktik kutup bölgesine ne olurdu? Neden Kuzey Kutbunda eriyen buzların yarattığı sorunlarla ilgili haber duymuyoruz; çünkü her yaz daha fazla buz eriyor?[1] Gelin sadece sözel anlatımların ötesine geçelim ve işin matematiğine bir bakış atalım. Böylece iklim değişimini durdurmayı beceremezsek ve tüm buzullar eriyecek olursa, ne tür bir felaketle yüzleşeceğimizi hep birlikte görelim.
Antarktik Buzul Bölgesi'ndeki Tüm Buzullar Erirse...
Güney Kutbu'ndaki buzlarla başlayalım. Normalde geleneksel bir "zarf-arkası" tahmini ile sadece yaklaşık değerleri hesaplarız; ancak bu sefer bunu yapamıyoruz, çünkü Antarktika'nın büyüklüğü hakkında hiçbir fikrimiz yok.[2] Alanı ya da buz derinliği ile ilgili hiçbir bilgiye sahip değiliz. Açıkçası bu bizim hatamız değil çünkü Mercator izdüşüm haritasına alışığız ve yapacak bir şeyimiz yok. Bu tarz haritalar, Antarktika'yı gerçekte olduğundan çok daha büyük gösteriyor.[3]
Antarktika'nın boyutu hakkında kaba bir tahmin yapabilmek için onu, çapı Amerika Birleşik Devletleri'nin genişliğine eşit bir daire olarak düşünebiliriz. Evet, hiç fikrimiz olmayan bir şeyle, kısmen tanıdık bir şey arasında bağlantı kurduk. Antarktika'nın yaklaşık genişliğine 4.800 km (3.000 mil) dedik. Eğer bunu Antarktika'nın çapı olarak alırsak, alanı şöyle olacaktır:

Burada biraz hile yapıyoruz. Değer gerçek mi, yoksa çılgınlıktan ibaret mi kontrol etmek için CIA tarafından hazırlanan World Factbook'a bir göz atarak doğruluğunu kontrol ediyoruz. Yeterince yakın... Tahmin etmesi zor olan bir şey daha var: Güney kutbunda buzun yaklaşık kalınlığı. İnternette çoğu kaynağa göre ortalama buz kalınlığı 1,9 km, bu yüzden bu değeri esas alacağız. Bu kalınlığı tahmin etmek imkânsız olmalı, çok fazla buz var!
Artık buz tabakasını dev bir silindir (belki daha çok hokey diski) olarak düşünebiliriz. Taban alanı (daire) ile yüksekliğini çarparak hacmini hesaplayabiliriz. Tüm birimleri metreye çevirmek işimizi kolaylaştıracaktır.

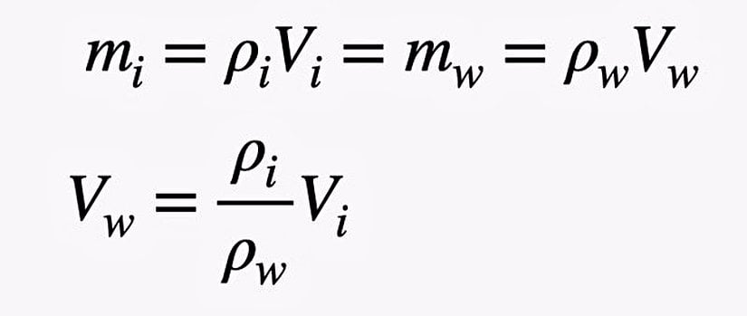
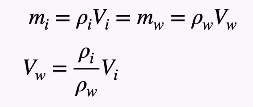
Hesapladığımız bu hacim eridiğinde, doğrudan deniz seviyesindeki yükselmeye eşit olmuyor. Bunun sebebi ise, oldukça sıradışı bir molekül olan su (H2O) donduğunda özkütlesi azalıyor: Buzun özkütlesi 920 kg/m3 iken, suyun özkütlesinin 1.000 kg/m3. Buz erdiğinde sabit kalması gereken bir şey var ise, o da kütlesi. Bunu kullanarak erimiş buzun hacmini hesaplayabiliriz (yoğunluk = kütle/hacim). Not: Fizikçiler, yoğunluğu göstermek için bir Yunan harfi olan ρ\rho'yu kullanırlar.

Bu denklem bize yaklaşık 3,14x1016 m3 erimiş buzdan daha küçük hacimde su verir. Kötü kısım, şimdi geliyor. Şimdi bu ekstra suyu Dünya’nın tüm yüzeyine yayalım. Aslında sadece okyanuslara... Aslında ekvatorda şişik olsa da, Dünyayı çapı 6,37 milyon metre olan bir küre olarak kabul edelim. Bu kürenin yüzey alanını hesaplayabiliriz. Bu yüzey alanının da %70’i okyanuslarla kaplı. Okyanusların toplam yüzey alanı şu şekilde hesaplanabilir:

Tüm bu erimiş buzun ("su" olarak da bilinir) tüm okyanuslara yayıldığını düşünelim. Eğer okyanuslar kusursuz bir küp olsaydı; bu erimiş buzun alanı okyanuslara ve derinliği (yüksekliği) deniz suyu artış seviyesine eşit bir düz dikdörtgen kutu olurdu. Sudaki bu yükselişi bulmak için yapmamız gereken tek şey erimiş buzun hacmini okyanusun tüm alanına bölmek. Tüm işlemleri m2 ve m3 cinsinde yapmamızın sebebi bu.
Şimdi hesaplamaya gelelim. Bu hesaplamayı çok basit bir şekilde birazcık python kodu yazarak yapabiliriz.
#diameter of antartica
d=4.8e6
A=pi*(d/2)**2
#print("A = ",A, " m^2")
#thickness of ice sheet (average)
t=1.9e3
V=A*t
#print("V ice = ",V," m^3")
rhoice=920
rhowater=1000
Vwater=rhoice*V/rhowater
print("V water = ",Vwater," cubic meters")
#percent of earth covered by ocean
opercent=.7
#radius of Earth
Re=6.37e6
Aocean=opercent*4*pi*Re**2
print("Area of ocean = ",Aocean," square meters")
rise=Vwater/Aocean
print("############################")
print("Sea Level Rise = ",rise," m = ",rise*3.28084," feet")
Bu kodu çalıştıracak olursanız, sadece Antarktika'daki bütün buzların erimesi sonucu deniz seviyesindeki yükselmenin 88.6 metre olacağını görebilirsiniz.
Evrim Ağacı'nın çalışmalarına Kreosus, Patreon veya YouTube üzerinden maddi destekte bulunarak hem Türkiye'de bilim anlatıcılığının gelişmesine katkı sağlayabilirsiniz, hem de site ve uygulamamızı reklamsız olarak deneyimleyebilirsiniz. Reklamsız deneyim, sitemizin/uygulamamızın çeşitli kısımlarda gösterilen Google reklamlarını ve destek çağrılarını görmediğiniz, %100 reklamsız ve çok daha temiz bir site deneyimi sunmaktadır.
KreosusKreosus'ta her 50₺'lik destek, 1 aylık reklamsız deneyime karşılık geliyor. Bu sayede, tek seferlik destekçilerimiz de, aylık destekçilerimiz de toplam destekleriyle doğru orantılı bir süre boyunca reklamsız deneyim elde edebiliyorlar.
Kreosus destekçilerimizin reklamsız deneyimi, destek olmaya başladıkları anda devreye girmektedir ve ek bir işleme gerek yoktur.
PatreonPatreon destekçilerimiz, destek miktarından bağımsız olarak, Evrim Ağacı'na destek oldukları süre boyunca reklamsız deneyime erişmeyi sürdürebiliyorlar.
Patreon destekçilerimizin Patreon ile ilişkili e-posta hesapları, Evrim Ağacı'ndaki üyelik e-postaları ile birebir aynı olmalıdır. Patreon destekçilerimizin reklamsız deneyiminin devreye girmesi 24 saat alabilmektedir.
YouTubeYouTube destekçilerimizin hepsi otomatik olarak reklamsız deneyime şimdilik erişemiyorlar ve şu anda, YouTube üzerinden her destek seviyesine reklamsız deneyim ayrıcalığını sunamamaktayız. YouTube Destek Sistemi üzerinde sunulan farklı seviyelerin açıklamalarını okuyarak, hangi ayrıcalıklara erişebileceğinizi öğrenebilirsiniz.
Eğer seçtiğiniz seviye reklamsız deneyim ayrıcalığı sunuyorsa, destek olduktan sonra YouTube tarafından gösterilecek olan bağlantıdaki formu doldurarak reklamsız deneyime erişebilirsiniz. YouTube destekçilerimizin reklamsız deneyiminin devreye girmesi, formu doldurduktan sonra 24-72 saat alabilmektedir.
Diğer PlatformlarBu 3 platform haricinde destek olan destekçilerimize ne yazık ki reklamsız deneyim ayrıcalığını sunamamaktayız. Destekleriniz sayesinde sistemlerimizi geliştirmeyi sürdürüyoruz ve umuyoruz bu ayrıcalıkları zamanla genişletebileceğiz.
Giriş yapmayı unutmayın!Reklamsız deneyim için, maddi desteğiniz ile ilişkilendirilmiş olan Evrim Ağacı hesabınıza üye girişi yapmanız gerekmektedir. Giriş yapmadığınız takdirde reklamları görmeye devam edeceksinizdir.
Sonucun ne kadar kötü olabileceğini görüyoruz. Bizim tahminlerimiz biraz yanlış bile olsa, görünüşe göre her türlü çok ciddi bir su yükselmesiyle karşı karşıyayız. Bu gerçekten çok kötü.
62 Metre Su Altına Gömülmek...
Not olarak şunu da ekleyelim: Bu hesaplama sadece bir tahmin. Karaların su altında kalmasıyla beraber okyanusların kazanacağı yayılma alanını hesaba katmadık - ki bu su seviyesi yükselmesini azaltacaktır. Tüm Dünya’nın sular altında kaldığını düşünürsek (karalar ve suyun kazanacağı yayılma alanları da dahil) su seviyesi yükselmesi "sadece" 62 metre olacaktır. Ayrıca Dünya’nın yuvarlak şeklini de hesaba katmadığımızı, Dünya’yı düz varsaydığımızı hatırlamalıyız (Düz Dünya’cılar sevinebilir, sevinmesin; Dünya küreseldir). Ancak su seviyesindeki yükselme, Dünya’nın çapı yanında çok düşük kaldığı için bu işlemde dikkate alınmayabilir. Tahminen iyi bir işlem yaptık, neden olacağı felaket hiç iyi olmasa bile...
National Geographic tarafından yapılan bir analize göre, eğer deniz seviyesi 62 metre civarında yükselecek olursa, kıyı şeridi şöyle değişirdi (eski kıyı şeridinin silüetini görebilirsiniz). Ancak burada bir anlığına durup, bu olayın bizler için önemini irdeleyelim.
Türkiye'nin Değerli Toprakları Yok Olacak!
Çoğu zaman Küresel İklim Değişimi ile ilgili veriler ABD için hazırlandığı için (örneğin "Kaliforniya'nın nasıl etkileneceği" üzerinde durulduğu için), Türkiye insanı bunun ne kadar tehlikeli olduğunu anlamakta güçlük çekmektedir.
Bunu şöyle izah edelim: Eğer ki iklim değişiminin etkileri bilimin ve simülasyonların gösterdiği kadar şiddetli olursa, başta İstanbul olmak üzere kıyı şehirlerimizin birçoğu kısmen ya da tamamen haritadan silinecektir! Adana'nın güneyinin büyük bir kısmı, Antalya'nın güney şeridi; İzmir, Aydın ve Muğla'nın kıyı şeridinin önemli bir bölümü, Samsun'un doğusu ve Ordu'nun batısındaki kıyılar, Edirne ve Tekirdağ'ın güneyi ve Kuzey Kıbrıs Türk Cumhuriyeti'nin kuzey burnunun neredeyse tamamı yok olacaktır!








Bu haritalar yıkımın boyutunu çok net göstermektedir. Ancak ilk etapta bu netlik gözünüze çarpmayabilir, çünkü Dünya'nın büyüklüğü yanında 60 metre gözle görmekte zorlanabileceğiniz kadar ufak değişimlere de karşılık gelebilir. Bu nedenle haritaları çok daha yakından incelemenizi ve 60 metrelik su yükselişinin ne kadar yıkıcı olacağını dikkatlice gözlemenizi öneriyoruz.
Kuzey Kutup Bölgesi'ndeki'ndeki Tüm Buzullar Erirse...
Peki Kuzey Kutbu’nda eriyen buzlara ne oluyor? Önemli derecede bir erime yaşanmasına rağmen su seviyesi yükselmiyor. Aralarındaki büyük fark; Arktik buz (Kuzey Kutbu) yüzerken, Antarktika karada bulunuyor. Bu nedenle Antarktika bir "kıta" sayılırken, Arktik Buzulları bir kıta sayılmıyor.
Peki bunun etkisi ne? Bunu basit bir fizik deneyi ile açıklayabiliriz. İçinde bir parça buz olan bir bardak su hayal edelim. Buzun özkütlesi suyun özkütlesinden az olduğu için buz yüzecektir. Yaklaşık şöyle bir şekil olacaktır:

Nesneler neden yüzer? Çılgınca olabilir; ama yerçekimi sebebiyle yüzüyorlar.
İçinde durgun su olan bir bardak düşünün. Suda ufak bir bölge seçip oraya etki eden kuvvetlere bakabiliriz. Bu ufak su bölgesi her kenarı ss birim uzunlukta olan bir küp olsun. Su bloğu sabit olduğu için, ona etki eden toplam kuvvet sıfır olmalıdır; bu durum, statik dengedeki herhangi bir obje için geçerlidir. Su bloğuna etki eden kuvvetlerden biri kesinlikle onu aşağıya çeken yerçekimi kuvvetidir. Bu kuvvetin büyüklüğü su bloğun kütlesinin yerçekimi ivmesiyle çarpımıdır (Dünya yüzeyinde kg başına g=9.8g=9.8 Newton).

Ama su bloğu yukarıya iten kuvvet ne? Cevap: Daha fazla su!
Evet, bloğun altındaki su, üstündeki suyu (su bloğu) yukarıya itiyor. Bu, su için dengede kalmanın tek koşulu; bu yüzden doğru olmak zorunda. Sudan kaynaklanan bu itme kuvvetine kaldırma kuvveti diyoruz. Su bloğuna etki eden kaldırma kuvveti, aynı bloğa etkiyen yerçekimi kuvvetine eşit olmak zorunda.
Şimdi, bu su bloğu aynı boyutlarda bir metal blokla değiştirseydik ne olurdu? Metal bloğun etrafında hala su olurdu. Yani su, metal bloğu su bloğuymuş gibi itmeye devam edecekti. Bu da demek oluyor ki su bloğunun (metal bloğun değil) ağırlığına eşit kaldırma kuvvetini elde edeceğiz. Metal bloğun açısından kaldırma kuvveti onu yüzeyde tutmaya yetmeyecek ve metal blok batacaktır (kaldırma kuvveti etki etmeye devam edecek).

Peki Arktik buzla bunun ne alakası var? Eğer suda yüzen bir parça buzunuz varsa, o buz biraz sıvı suyla yer değiştirir. Ancak, yüzdüğü için buzun kütlesiyle eşit miktarda suyla yer değiştirecektir.
Şimdi buzun eridiğini düşünelim. Buz eriyip suya dönüşürken buzun hacmi değişse bile toplam kütle sabit kalacaktır. Şimdi ise erimiş buz (artık su), buzun kapladığı hacimdeki suyun yerini almış oldu. Hiçbir şey değişmedi.
Bir bardak suda eriyen buza geri dönelim. Bardaktaki su seviyesi, buz eridiğinde de sabit kalacaktır (herhangi bir buharlaşma olmadığını varsayarsak). Bu yüzden Arktik buz hakkında endişelenmemize gerek yok. Aslında endişelenmeliyiz; çünkü Arktik buz erimesi bir küresel ısınma belirtisi, sadece su seviyesine takılmayabiliriz. Özellikle de Arktik buzullarının Güneş ışınlarını yansıtarak küresel ısınmayı yavaşlattığını düşünecek olursak... Ama bu, apayrı bir yazının konusu.
Burada hesaba katmadığımız karasal buzullar, Grönland ve Kanada'daki buzullardır. Bunlar, Antarktika'ya göre biraz daha küçük olduğu için, etkisi kısmen daha az olacaktır; ancak sonuçta Antarktika ile ilgili yükseliş hesabımıza bunları da dahil etmeliyiz.[4]
Sonuç
Peki bu olacak mı? Bilmiyoruz. Tüm buzulların erimesi için daha epey bir vaktimiz var ve o süreçte nelerin değişebileceğini öngörmek zor; çünkü bu kadar uzun zamanlı modellemeler yapmakta zorlanıyoruz.
Ayrıca bilim camiasında 2100 yılına kadar ne kadarlık bir buzul erimesi ve su yükselmesi olacağı konusunda da tartışmalar var. Bazıları, su seviyesinde birkaç on santimetrelik yükselme hesaplarken, bazı modeller en kötü senaryoda bile önümüzdeki 80 yılda 7.5 - 40 santimetrelik bir artış öngörüyor; ama su seviyesine etki eden diğer faktörler de hesaba katıldığında, bu aralığa 28.5 santimetrelik bir ekleme yapılması da olası.[5] Yani tüm faktörler hesaba katıldığında, sadece 2100 yılına kadar bile 60 santimetre ila 1 metre arasında bir artış görmeyi bekliyoruz.
Ayrıca bu "iyimser" araştırmalar bile, 22. yüzyılın başlangıcı ile birlikte su seviyelerindeki artışın olumsuz etkilerinin giderek daha fazla hissedileceğini öngörüyor.[6] Dahası 2100, bir sınır değil. Önlem alınmazsa, onun ötesinde de küresel ısınma yoluna devam edebilir ve buzullar erimeye devam edebilir.
Yani burada yaptığımız analiz, hipotetik bir senaryoya dayanıyor; ancak sonuç olarak, küresel ısınma devam edip, buzullar eridikçe, özellikle de Antarktika'daki karasal buzların suya dönüşüp okyanuslara katılmasıyla Dünya genelindeki kıyılarda gözlenen deniz seviyeleri asırlar içerisinde metrelerce, belki de onlarca metre artacak! Bu, insanların çoğunun su kenarlarında yaşadığı gerçeğini düşünecek olursak, popülasyon için inanılmaz bir yıkım getirecek ve bizleri zorunlu göçlere zorlayacak. Ekolojik sistemler çöktükçe, besin zincirleri dağılacak ve sayısız tür yeryüzünden silinecek. Kim bilir, belki insan da dahil... Bu süreç çoktan başladı ve biz bir şeyler yapmazsak, önüne çıkan her şeyi yok edene kadar durması pek mümkün gözükmüyor.
Evrim Ağacı'nda tek bir hedefimiz var: Bilimsel gerçekleri en doğru, tarafsız ve kolay anlaşılır şekilde Türkiye'ye ulaştırmak. Ancak tahmin edebileceğiniz gibi Türkiye'de bilim anlatmak hiç kolay bir iş değil; hele ki bir yandan ekonomik bir hayatta kalma mücadelesi verirken...
O nedenle sizin desteklerinize ihtiyacımız var. Eğer yazılarımızı okuyanların %1'i bize bütçesinin elverdiği kadar destek olmayı seçseydi, bir daha tek bir reklam göstermeden Evrim Ağacı'nın bütün bilim iletişimi faaliyetlerini sürdürebilirdik. Bir düşünün: sadece %1'i...
O %1'i inşa etmemize yardım eder misiniz? Evrim Ağacı Premium üyesi olarak, ekibimizin size ve Türkiye'ye bilimi daha etkili ve profesyonel bir şekilde ulaştırmamızı mümkün kılmış olacaksınız. Ayrıca size olan minnetimizin bir ifadesi olarak, çok sayıda ayrıcalığa erişim sağlayacaksınız.
Makalelerimizin bilimsel gerçekleri doğru bir şekilde yansıtması için en üst düzey çabayı gösteriyoruz. Gözünüze doğru gelmeyen bir şey varsa, mümkünse güvenilir kaynaklarınızla birlikte bize ulaşın!
Bu makalemizle ilgili merak ettiğin bir şey mi var? Buraya tıklayarak sorabilirsin.
Soru & Cevap Platformuna Git- 6
- 6
- 4
- 2
- 2
- 1
- 1
- 1
- 1
- 0
- 0
- 0
- Türev İçerik Kaynağı: Wired | Arşiv Bağlantısı
- ^ A. Borunda. Arctic Summer Sea Ice Could Disappear As Early As 2035. (13 Ağustos 2020). Alındığı Tarih: 27 Kasım 2020. Alındığı Yer: National Geographic | Arşiv Bağlantısı
- ^ R. Allain. How To Get Better At 'Back Of The Envelope' Calculations. (12 Ekim 2018). Alındığı Tarih: 27 Kasım 2020. Alındığı Yer: Wired | Arşiv Bağlantısı
- ^ N. Stockton. Get To Know A Projection: Mercator. (29 Temmuz 2013). Alındığı Tarih: 27 Kasım 2020. Alındığı Yer: Wired | Arşiv Bağlantısı
- ^ A. Borunda. Greenland's Melting Ice May Affect Everyone's Future. (15 Ekim 2019). Alındığı Tarih: 28 Kasım 2020. Alındığı Yer: National Geographic | Arşiv Bağlantısı
- ^ T. L. Edwards, et al. (2019). Revisiting Antarctic Ice Loss Due To Marine Ice-Cliff Instability. Nature, sf: 58-64. doi: 10.1038/s41586-019-0901-4. | Arşiv Bağlantısı
- ^ A. Borunda. Most Dire Projection Of Sea-Level Rise Is A Little Less Likely, Reports Say. (6 Şubat 2019). Alındığı Tarih: 28 Kasım 2020. Alındığı Yer: National Geographic | Arşiv Bağlantısı
Evrim Ağacı'na her ay sadece 1 kahve ısmarlayarak destek olmak ister misiniz?
Şu iki siteden birini kullanarak şimdi destek olabilirsiniz:
kreosus.com/evrimagaci | patreon.com/evrimagaci
Çıktı Bilgisi: Bu sayfa, Evrim Ağacı yazdırma aracı kullanılarak 04/10/2025 11:52:11 tarihinde oluşturulmuştur. Evrim Ağacı'ndaki içeriklerin tamamı, birden fazla editör tarafından, durmaksızın elden geçirilmekte, güncellenmekte ve geliştirilmektedir. Dolayısıyla bu çıktının alındığı tarihten sonra yapılan güncellemeleri görmek ve bu içeriğin en güncel halini okumak için lütfen şu adrese gidiniz: https://evrimagaci.org/s/9607
İçerik Kullanım İzinleri: Evrim Ağacı'ndaki yazılı içerikler orijinallerine hiçbir şekilde dokunulmadığı müddetçe izin alınmaksızın paylaşılabilir, kopyalanabilir, yapıştırılabilir, çoğaltılabilir, basılabilir, dağıtılabilir, yayılabilir, alıntılanabilir. Ancak bu içeriklerin hiçbiri izin alınmaksızın değiştirilemez ve değiştirilmiş halleri Evrim Ağacı'na aitmiş gibi sunulamaz. Benzer şekilde, içeriklerin hiçbiri, söz konusu içeriğin açıkça belirtilmiş yazarlarından ve Evrim Ağacı'ndan başkasına aitmiş gibi sunulamaz. Bu sayfa izin alınmaksızın düzenlenemez, Evrim Ağacı logosu, yazar/editör bilgileri ve içeriğin diğer kısımları izin alınmaksızın değiştirilemez veya kaldırılamaz.