Lorentz Faktörü
Lorentz Faktörü Hakkında "Temel Bilgiler"

- Blog Yazısı
Lorentz faktörü (γ), özel görelilik teorisinin temel bileşenlerinden biridir ve hareket eden nesnelerin hızlarının ışık hızına yaklaştıkça zaman, uzunluk ve kütle üzerinde nasıl etkiler yarattığını açıklar. Lorentz faktörü, cisimlerin gözlemlenen fiziksel özelliklerini belirlemek için kullanılır. Bu faktör, genellikle γ (gamma) ile gösterilir. (Yazının sonunda verdiğim kaynaklardan çok daha detaylı bilgi edinebilirsiniz)
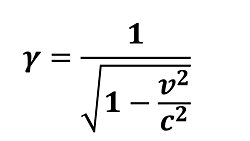
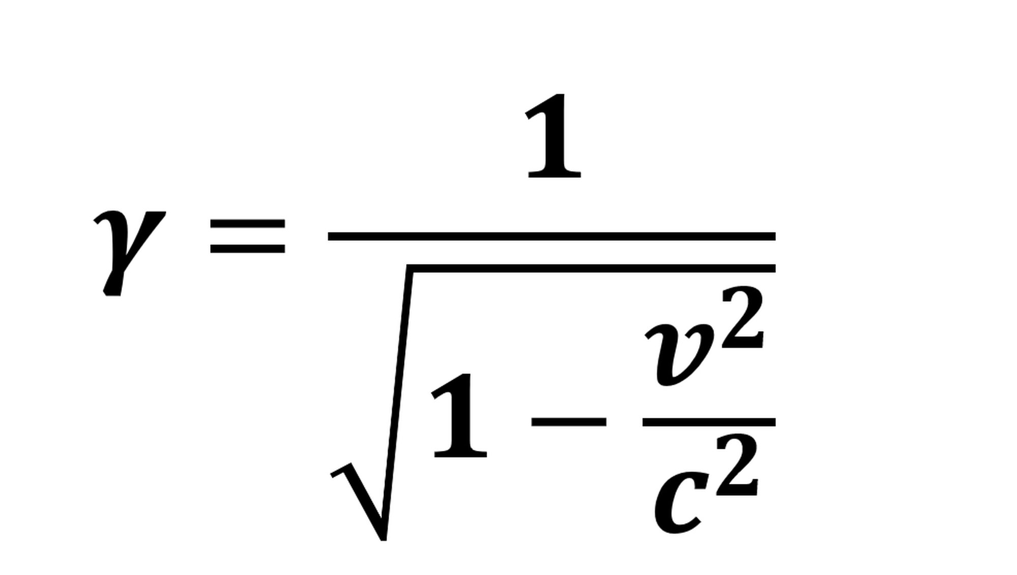
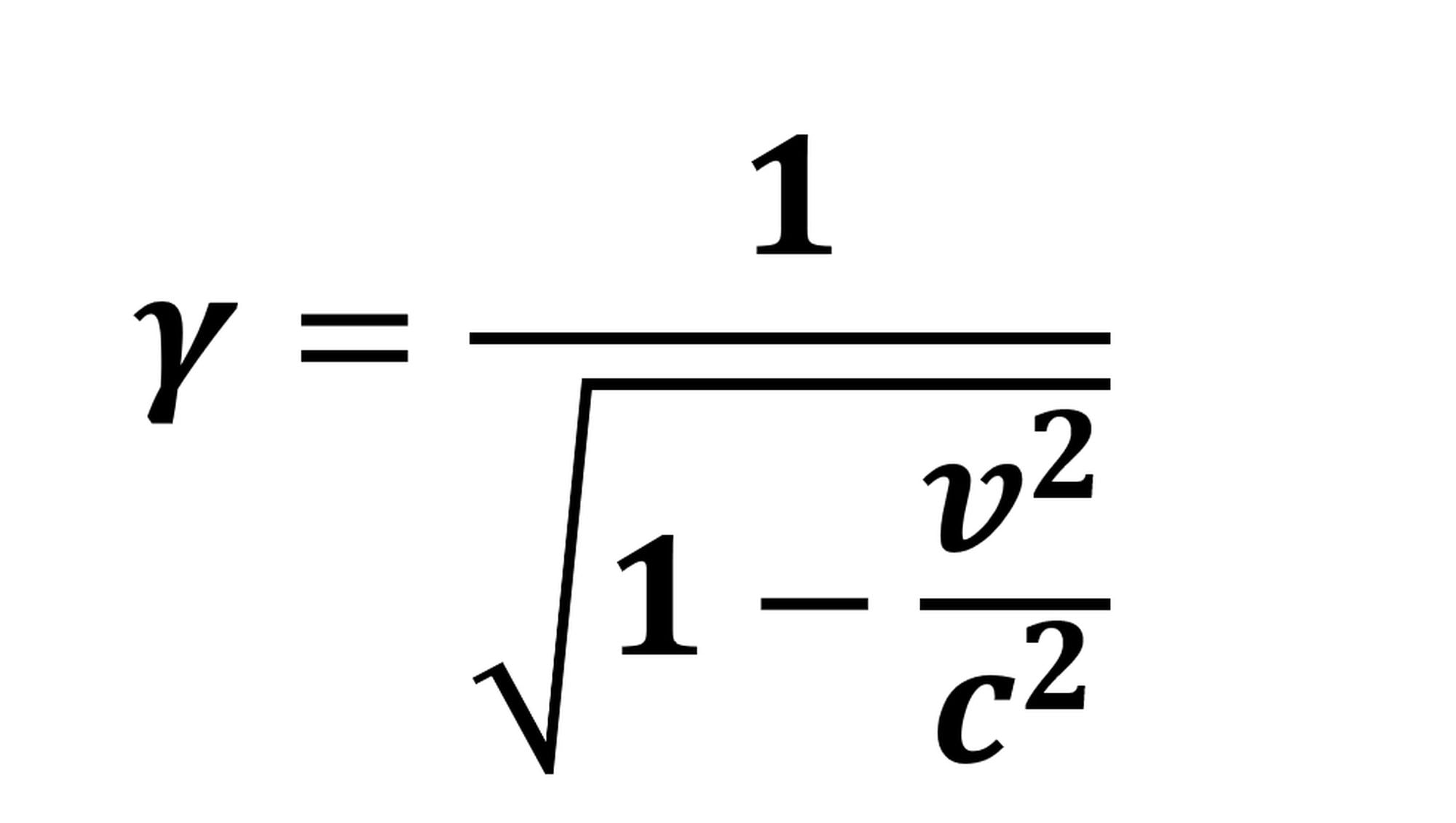
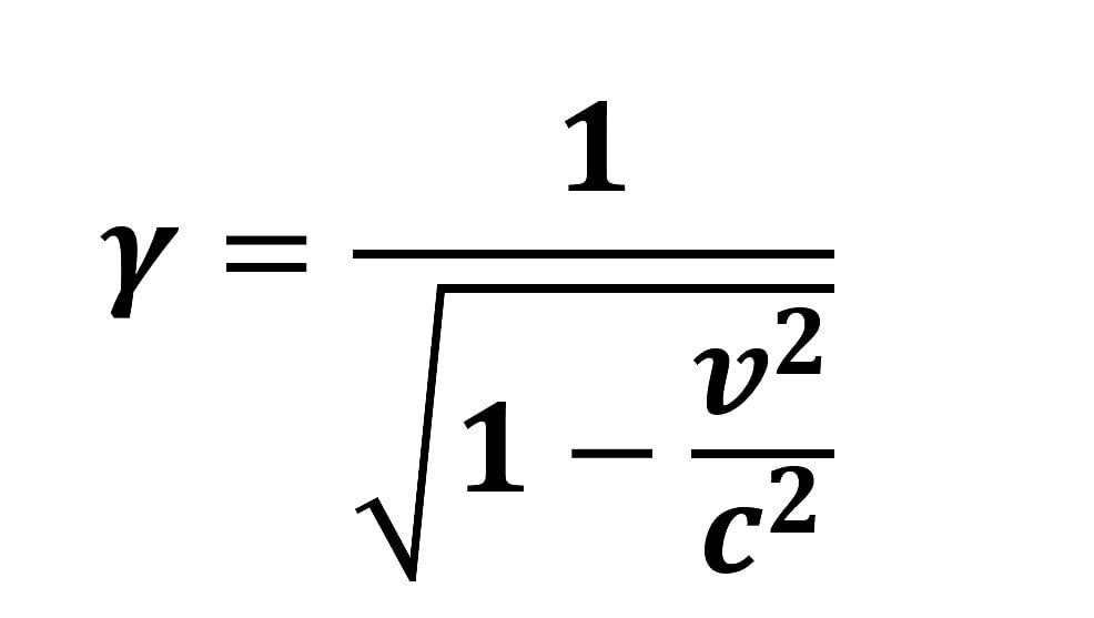
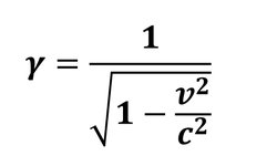
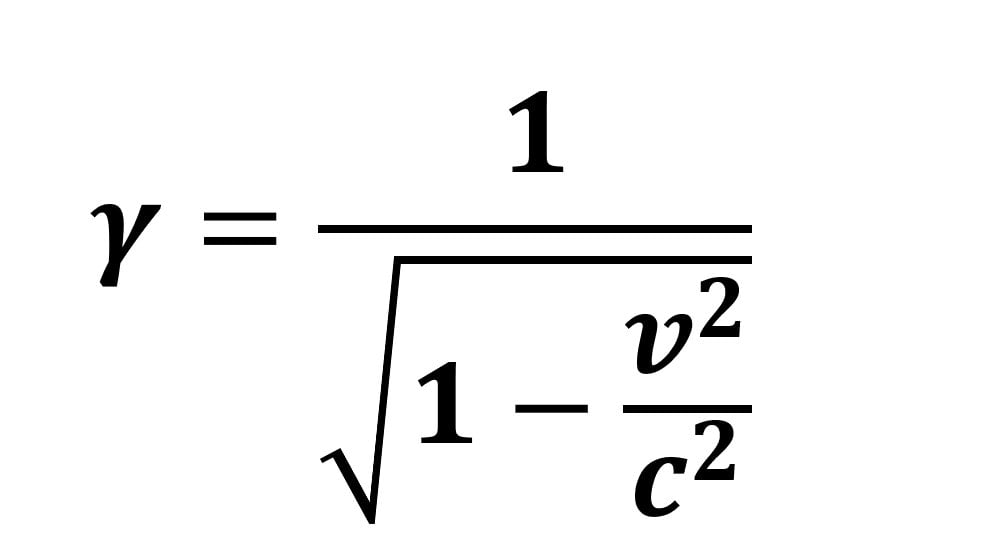
Formülü ise: γ= [1/1-(v²/c²)]½ şeklindedir.
Burada:
-( v ), nesnenin hızıdır.
-( c ), ışık hızıdır (yaklaşık olarak 299,792,458 metre/saniye).
1-Lorentz Faktörünün Türetilmesi
Lorentz faktörü, Lorentz dönüşümleri adı verilen matematiksel dönüşümlerden türetilir. Bu dönüşümler, farklı referans çerçeveleri arasındaki koordinat ve zaman ilişkilerini tanımlar. Lorentz dönüşümleri, özel göreliliğin temel postülatlarını (özellikle ışık hızının tüm gözlemciler için sabit olduğunu) korur.
Çoğunlukla gördüğümüz ( t ) ve ( x ), referans çerçevesindeki zaman ve konum, ( t' ) ve ( x' ) ise hareketli çerçevedeki zaman ve konumdur.
2-Zaman Genişlemesi
Lorentz faktörü, hareketli cisimler için zamanın nasıl daha yavaş geçtiğini (zaman genişlemesi) açıklar. Yani, hızlanan bir cismin içindeki bir saat, durgun bir gözlemciye göre daha yavaş ilerler.
Evrim Ağacı'nın çalışmalarına Kreosus, Patreon veya YouTube üzerinden maddi destekte bulunarak hem Türkiye'de bilim anlatıcılığının gelişmesine katkı sağlayabilirsiniz, hem de site ve uygulamamızı reklamsız olarak deneyimleyebilirsiniz. Reklamsız deneyim, sitemizin/uygulamamızın çeşitli kısımlarda gösterilen Google reklamlarını ve destek çağrılarını görmediğiniz, %100 reklamsız ve çok daha temiz bir site deneyimi sunmaktadır.
KreosusKreosus'ta her 50₺'lik destek, 1 aylık reklamsız deneyime karşılık geliyor. Bu sayede, tek seferlik destekçilerimiz de, aylık destekçilerimiz de toplam destekleriyle doğru orantılı bir süre boyunca reklamsız deneyim elde edebiliyorlar.
Kreosus destekçilerimizin reklamsız deneyimi, destek olmaya başladıkları anda devreye girmektedir ve ek bir işleme gerek yoktur.
PatreonPatreon destekçilerimiz, destek miktarından bağımsız olarak, Evrim Ağacı'na destek oldukları süre boyunca reklamsız deneyime erişmeyi sürdürebiliyorlar.
Patreon destekçilerimizin Patreon ile ilişkili e-posta hesapları, Evrim Ağacı'ndaki üyelik e-postaları ile birebir aynı olmalıdır. Patreon destekçilerimizin reklamsız deneyiminin devreye girmesi 24 saat alabilmektedir.
YouTubeYouTube destekçilerimizin hepsi otomatik olarak reklamsız deneyime şimdilik erişemiyorlar ve şu anda, YouTube üzerinden her destek seviyesine reklamsız deneyim ayrıcalığını sunamamaktayız. YouTube Destek Sistemi üzerinde sunulan farklı seviyelerin açıklamalarını okuyarak, hangi ayrıcalıklara erişebileceğinizi öğrenebilirsiniz.
Eğer seçtiğiniz seviye reklamsız deneyim ayrıcalığı sunuyorsa, destek olduktan sonra YouTube tarafından gösterilecek olan bağlantıdaki formu doldurarak reklamsız deneyime erişebilirsiniz. YouTube destekçilerimizin reklamsız deneyiminin devreye girmesi, formu doldurduktan sonra 24-72 saat alabilmektedir.
Diğer PlatformlarBu 3 platform haricinde destek olan destekçilerimize ne yazık ki reklamsız deneyim ayrıcalığını sunamamaktayız. Destekleriniz sayesinde sistemlerimizi geliştirmeyi sürdürüyoruz ve umuyoruz bu ayrıcalıkları zamanla genişletebileceğiz.
Giriş yapmayı unutmayın!Reklamsız deneyim için, maddi desteğiniz ile ilişkilendirilmiş olan Evrim Ağacı hesabınıza üye girişi yapmanız gerekmektedir. Giriş yapmadığınız takdirde reklamları görmeye devam edeceksinizdir.
Zaman genişlemesi formülü:
[ Delta t = gamma Delta t_0 ]
Burada:
-( Delta t_0 ), cismin kendi referans çerçevesinde ölçülen zaman aralığıdır.
-( Delta t ), durgun gözlemcinin ölçtüğü zaman aralığıdır.
3-Uzunluk Kısalması
Hareket eden cisimlerin boyutlarının, hareket doğrultusunda kısalmasını açıklar (uzunluk kısalması).
Uzunluk kısalması formülü:
L = L_0/γ
Burada:
-( L_0 ), cismin durgun halindeki (kendisiyle aynı referans çerçevesinde) uzunluğudur.
-( L ), hareket halindeki gözlemcinin ölçtüğü uzunluktur.
4-Kütle Artışı

Hareket eden cisimlerin kütleleri de artar. Bir cismin göreli kütlesi, durgun kütlesinin Lorentz faktörü ile çarpımıyla bulunur.
Kütle artışı formülü:
[m =γ m_0]
Burada:( m_0 ), cismin durgun kütlesidir.( m ), cismin hareket halindeki kütlesidir.
Lorentz Faktörünün Özel Durumları !!!
1-Düşük Hızlar: Lorentz faktörü yaklaşık olarak 1 olur çünkü ( v^2/c^2 ) terimi çok küçüktür. Bu durumda klasik Newton mekaniği geçerlidir.
2-Işık Hızına Yakın Hızlar: Lorentz faktörü çok büyük değerler alır. Bu, zaman genişlemesinin, uzunluk kısalmasının ve kütle artışının çok belirgin olduğu durumlardır.
3-Işık Hızı ( v = c ): Lorentz faktörü tanımsız hale gelir çünkü formülün paydası sıfır olur. Bu, maddesel cisimlerin ışık hızına ulaşamayacağını belirtir.
Lorentz Faktörünün Uygulama Alanları
-Parçacık Fiziği: Yüksek enerjili parçacıkların hızları ve davranışları Lorentz faktörü ile analiz edilir.
-Astrofizik: Işık hızına yakın hızlarda hareket eden kozmik cisimler ve olaylar incelenir.
Lorentz faktörü, görelilik teorisinin temel taşlarından biridir ve hızların ışık hızına yaklaştığı durumlarda zaman, uzunluk ve kütle üzerindeki etkileri anlamamızı sağlar.[1], [2], [3]
- 1
- 0
- 0
- 0
- 0
- 0
- 0
- 0
- 0
- 0
- 0
- 0
- ^ Bilinmiyor. Lorentz Transformation. Alındığı Tarih: 22 Temmuz 2024. Alındığı Yer: hyperphysics.phy-astr.gsu | Arşiv Bağlantısı
- ^ Ramamurti Shankar. Phys 200 - Lecture 13 - Lorentz Transformation | Open Yale Courses. Alındığı Tarih: 22 Temmuz 2024. Alındığı Yer: Oyc Yale Edu | Arşiv Bağlantısı
- ^ Hugh Young ve Roger Freedman. Sears And Zemansky's University Physics : Young, Hugh D : Free Download, Borrow, And Streaming : Internet Archive. (2 Ağustos 2021). Alındığı Tarih: 22 Temmuz 2024. Alındığı Yer: Internet Archive | Arşiv Bağlantısı
Evrim Ağacı'na her ay sadece 1 kahve ısmarlayarak destek olmak ister misiniz?
Şu iki siteden birini kullanarak şimdi destek olabilirsiniz:
kreosus.com/evrimagaci | patreon.com/evrimagaci
Çıktı Bilgisi: Bu sayfa, Evrim Ağacı yazdırma aracı kullanılarak 13/10/2025 01:05:29 tarihinde oluşturulmuştur. Evrim Ağacı'ndaki içeriklerin tamamı, birden fazla editör tarafından, durmaksızın elden geçirilmekte, güncellenmekte ve geliştirilmektedir. Dolayısıyla bu çıktının alındığı tarihten sonra yapılan güncellemeleri görmek ve bu içeriğin en güncel halini okumak için lütfen şu adrese gidiniz: https://evrimagaci.org/s/18164
İçerik Kullanım İzinleri: Evrim Ağacı'ndaki yazılı içerikler orijinallerine hiçbir şekilde dokunulmadığı müddetçe izin alınmaksızın paylaşılabilir, kopyalanabilir, yapıştırılabilir, çoğaltılabilir, basılabilir, dağıtılabilir, yayılabilir, alıntılanabilir. Ancak bu içeriklerin hiçbiri izin alınmaksızın değiştirilemez ve değiştirilmiş halleri Evrim Ağacı'na aitmiş gibi sunulamaz. Benzer şekilde, içeriklerin hiçbiri, söz konusu içeriğin açıkça belirtilmiş yazarlarından ve Evrim Ağacı'ndan başkasına aitmiş gibi sunulamaz. Bu sayfa izin alınmaksızın düzenlenemez, Evrim Ağacı logosu, yazar/editör bilgileri ve içeriğin diğer kısımları izin alınmaksızın değiştirilemez veya kaldırılamaz.