Karanlık Enerji Nedir? Karanlık Enerjinin Ne Olduğunu Neden Hala Bilmiyoruz?
 European Space Agency
              
                  European Space Agency
              
        - Türev
- Astrofizik
Karanlık enerji, Evren'i en büyük ölçeklerde etkileyen, henüz doğası çözülememiş olan bir enerji formudur. Fiziksel kozmoloji ve astronomide karanlık enerjinin ilk gözlemi, 1990'ların sonlarına doğru süpernovalar üzerinde yapılan araştırmalar sayesinde mümkün olmuştur. Bu gözlemlerde Evren'in sabit bir hızla değil, giderek hızlanacak bir şekilde, yani ivmeli bir şekilde genişlediği görülmüştür.[1], [2]
Evren'in evrimini anlamak için, başlangıç koşullarını ve kompozisyonunu bilmemiz gerekmektedir. Karanlık enerjiye yönelik gözlemlerin yapıldığı dönemden öncesinde bilinen bütün madde ve enerji formlarının toplamı, Evren'in genişleme hızının yavaşlamasına neden olacak kadar azdı. Ancak Evren'in hızlanarak genişlediği gerçeği, bilmediğimiz türden bir enerjinin var olmasını gerektirdi.
Gerçekten de enerji açısından Evren'in sadece %5’i, aşina olup, anladığımız şeylerden oluşmaktadır: protonlar, nötronlar, elektronlar, fotonlar, nötrinolar, kara delikler ve hatta kütleçekim dalgaları... Geriye kalanın %27’si karanlık madde ve hepsinden çok daha fazlası, yani yaklaşık %68'i, yeni ve gizemli bir maddeden oluşmaktadır: karanlık enerji.

Karanlık Enerji Nedir?
20. yüzyılda gökbilimciler, Evrenin genişlediğini öğrendiler. Genişlemenin sonsuza kadar sürebileceğini ya da sonunda -eğer Evren'in yeterli kütlesi ve dolayısıyla yeterli özçekimi varsa- genişlemenin tersine dönüp bir Büyük Çökme'ye neden olabileceğini düşündüler. Ancak 21. yüzyılın başlarında kozmolojide işler değişti: Evren'in günümüzde , milyarlarca yıl öncesine göre daha hızlı genişlediğini fark ettik. Genişleme hızının artmasına sebep olan ne olabilir?
1990'ların sonlarına kadar çoğu kozmolog, evrenin Büyük Çökme'ye neden olacak kadar kütlesi olmadığına inanıyordu. Özellikle 2dF Galaxy Redshift Survey ve Sloan Digital Sky Survey tarafından elde edilen veriler, Evren'in kendi kütlesi ve kütleçekimi onu geri çekmeye çalıştığından sürekli yavaşlayan bir hızda da olsa, Evren'in sonsuza kadar genişleyeceğini doğruluyor gibiydi.
Keşfedilmek üzere olan devrim niteliğinde bir şeyin ilk belirtisi, 1998'de Tip 1A süpernova araştırması sırasında geldi. Ölmekte olan dev yıldızların bu devasa patlamaları, gökbilimciler için son derece faydalıdır; çünkü her zaman aynı miktarda ışık verirler ve bu nedenle kozmostaki mesafeleri hesaplamak için "standart mumlar" olarak kullanılabilirler. Bu, çok basit bir fikirdir. Geceleri ateşböceklerini düşünün: hepsi aynı temel parlaklığa sahiptirler. Bulunduğunuz yerden, her birinni ne kadar parlak olduklarını ölçerek, uzaklıklarını hesaplayabilirsiniz.
1998'deki araştırma, Amerikalı Adam Riess ve Saul Perlmutter ile Avustralya'dan Brian Schmidt dahil olmak üzere iki uluslararası gökbilimci grubu tarafından yürütülüyordu. Dünya çapında sekiz teleskop kullanarak, amaçları, Hubble Sabiti olarak bilinen Evren'in genişleme hızını hesaplamak için Tip 1A süpernova mesafesini kullanmaktı (gerçekte, Evrenin genişleme hızı zamanla değişir ve dolayısıyla teknik olarak sabit değildir).
Araştırmanın sonuçları şaşırtıcıydı. Evren şu anki yaşının sadece 2/3'ündeyken patlayan uzak süpernovalar, olması gerekenden çok daha sönüktü ve dolayısıyla çok daha uzaktaydı. Bunun anlamı, eğer mevcut fikirler doğruysa, evrenin olması gerekenden çok daha hızlı genişlediğiydi.
Bu sonuçlar ortaya çıktığında astronomi camiasında çok fazla şüpheyle karşılandı ve gözlemler kısa süre sonra diğer ekipler ve diğer yöntemler tarafından tekrarlandı. Milenyumun başında, Evren'in genişlemesinin yaygın olarak inanıldığı gibi yavaşlamadığı ortaya çıktı. Aslında hızlanıyordu!
Daha da tuhafı, Evren'in genişlemesi, tam da beklendiği gibi Büyük Patlama'dan 7-8 milyar yıl sonrasına kadar gerçekten de yavaşlıyordu. Ama sonrasında, tamamen bilinmeyen nedenlerle, gizemli bir "anti-kütleçekimi kuvveti" hakim olmaya başladı, kütleçekiminin genişlemeye uyguladığı freni yendi. Bu durum, yavaşlamayı tersine çevirdi ve Evren'in genişlemesi yeniden hızlanmaya başladı.
Bu keşfin gökbilimciler ve kozmologlar için ne kadar şok edici olduğunu hayal edebilirsiniz.
Aslında maddi destek istememizin nedeni çok basit: Çünkü Evrim Ağacı, bizim tek mesleğimiz, tek gelir kaynağımız. Birçoklarının aksine bizler, sosyal medyada gördüğünüz makale ve videolarımızı hobi olarak, mesleğimizden arta kalan zamanlarda yapmıyoruz. Dolayısıyla bu işi sürdürebilmek için gelir elde etmemiz gerekiyor.
Bunda elbette ki hiçbir sakınca yok; kimin, ne şartlar altında yayın yapmayı seçtiği büyük oranda bir tercih meselesi. Ne var ki biz, eğer ana mesleklerimizi icra edecek olursak (yani kendi mesleğimiz doğrultusunda bir iş sahibi olursak) Evrim Ağacı'na zaman ayıramayacağımızı, ayakta tutamayacağımızı biliyoruz. Çünkü az sonra detaylarını vereceğimiz üzere, Evrim Ağacı sosyal medyada denk geldiğiniz makale ve videolardan çok daha büyük, kapsamlı ve aşırı zaman alan bir bilim platformu projesi. Bu nedenle bizler, meslek olarak Evrim Ağacı'nı seçtik.
Eğer hem Evrim Ağacı'ndan hayatımızı idame ettirecek, mesleklerimizi bırakmayı en azından kısmen meşrulaştıracak ve mantıklı kılacak kadar bir gelir kaynağı elde edemezsek, mecburen Evrim Ağacı'nı bırakıp, kendi mesleklerimize döneceğiz. Ama bunu istemiyoruz ve bu nedenle didiniyoruz.
Bu hızlanmadan sorumlu olan kuvvet, bilim insanları tarafından karanlık enerji olarak adlandırıldı. Bu durumda "karanlık" sözcüğü, tıpkı karanlık maddede de olduğu gibi, kelimenin gerçek anlamıyla "karanlık" anlamına gelmez; daha ziyade, "bilinmeyen" anlamına kullanılmaktadır.
Bu arada yeri gelmişken söyleyelim: Karanlık enerji ve karanlık madde tamamen alakasız kavramlardır. Karanlık madde hakkında daha fazla bilgiyi buradan alabilirsiniz.
Neden Karanlık Enerjiye İhtiyacımız Var?
Yukarıda da anlattığımız gibi karanlık enerji, ilk başta, süpernova benzeri, çok uzak sinyallerden gelen ışığı inceleyerek yapılan gözlemler sonucu ortaya çıktı. Mesafe ve kızıla kayma ölçümleriyle bilim insanları, Evren'in sadece madde ve radyasyondan oluşamayacağı kanısına vardılar; ancak Evren'in kaderini değiştirecek, yeni formda bir enerjiye ihtiyaçları vardı. Bu soru, 20 yılı aşkın süredir cevabını bulamamış en büyük problemlerden biridir.

Evren'in tam olarak ne tür bileşenlerden oluştuğunu bilmek istiyorsanız, yapmanız gereken tek şey, evrendeki çeşitli birçok objenin mesafe ve kızıla kaymalarını ölçmektir. Ölçtüğünüz kızıla kayma, objenin uzayda ne kadar hızlı hareket ettiği (genellikle yüzlerce ya da birkaç bin km/s) ile uzak bir kaynaktan ışık çıktığı anda evrenin genişleme miktarının bir kombinasyonudur. Mesafe ise, bir objenin görünürdeki parlaklık ya da açısal boyutunun bilinen, esas bir parlaklık veya boyutla karşılaştırılmasıyla anlaşılabilir.
Bütün gözlemlerimizi bir araya getirdiğimizde, süpernovalardan, büyük ölçekli yapılardan, kozmik arka plan mikrodalga ışımalarındaki dalgalanmalardan, vb. kaynaklardan hepsi, evreni tek bir şekilde tasvir ediyor: %5 normal madde, %27 karanlık madde ve %68 karanlık enerji.

Kozmolojide Uyumluluk Modeli Nedir?
Teorik olarak, bu gözlemleri anlamlandırma biçimimiz, olağanüstü bir şekilde düz mantığa dayanıyor: En büyük kozmik ölçekte evren, her yönde ve her konumda aynıdır. Kozmik ağı (İng: "cosmic web") inceleyip, bir galaksiden yola çıkıp, başka bir galaksiyle karşılaşmadan herhangi bir yönde milyonlarca ışık yılı gidebildiğinizi fark edebilirsiniz. Ancak bu ölçekler, her şeyin gerçekte ne kadar tekdüze olduğunu göstermeye yetecek kadar büyük değildir. Gözlemleyebildiğimiz Evren yaklaşık 400,000 Gly (1 Gly = 1 milyar ışık yılı) kadardır ve birkaç milyar kübik ışık yıllı ölçeklere çıktığınızda her şey, gerçekten de neredeyse %99,9 aynı hâle gelir.
Evren, her yönde ve konumda aynıymış gibi davranıyorsa, Evren'in nasıl çalışacağını söyleyen bir formül yazabiliriz: Genişleme/daralma faktörü solda ve bütün madde ve enerji terimleri sağda... Bunlar genişleyen Evren'i kontrol eden kurallardır ve bu oranın nasıl değiştiğini öğrenerek, Evren'de ne olduğunu, bunun ne kadar olduğunu ve nasıl davranacağını öğrenebiliriz.

Farklı veriler, Evren'in içeriğine dair farklı sınırlar belirliyor; ancak bunları birleştirip, çakıştıkları noktaları belirleyerek, bu bambaşka verilere hep beraber uyacak bir parametrenin var olup olmadığını bulabiliriz.
Kozmoloji'deki "uyumluluk modeli" de buradan geliyor. Bu modelde Evren:
- günümüzde yaklaşık 67-74 km/s/Mpc hızda genişliyor,
- genişlemeye şu anda karanlık enerji hükmediyor (%68),
- mekânsal olarak düz,
- içindeki enerjinin geri kalanı (%32) çoğunlukla madde (hem normal hem de karanlık madde),
- Büyük Patlama'dan bu yana 13.8 milyar yıl geçtiği için, 13.8 milyar yaşında.
Son günlerde bu maddeler üzerindeki tartışmalara ve gerginliklere rağmen, bu tasvir, Evrene dair varılan uzlaşmayı yansıtıyor: Mevcut belirsizlikleri de bünyesinde bulunduran, elimizdeki bütün verilerle tutarlı bir tasvir...

Neden "Karanlık Enerji" de Hepsi "Karanlık Madde" Değil?
Evren'deki enerjinin büyük bir kısmının görünmez (ya da "karanlık") olması bir kenara, madde bile olmaması size acayip gelebilir. Madde, normalde kütleçekiminden ötürü kümelenerek bir araya gelir. Yeterince madde bir noktada toplandığında, Evren'in genişlemesini yenip yıldızlar, galaksiler ve galaksi grupları/kümeleri kurabilirler. Maddenin hüküm sürdüğü bir Evren'de zaman geçtikçe, yapılar daha da büyür ve ağ benzeri, karmaşık bir hâle gelirler.
Ancak bol miktarda karanlık enerjinin de bulunduğu bir Evren'de, bu ağın büyüklüğünün ve karmaşıklığının bir limiti olacaktır. Gözlemlediğimiz karanlık enerji, uzay dokusunun doğasında olan bir enerji formu gibi çalışıyor.
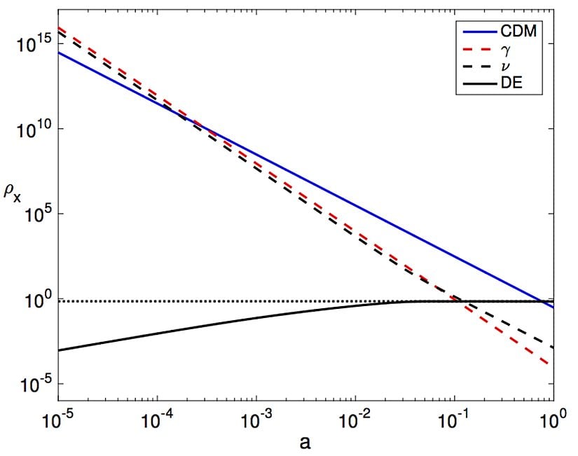
Evren genişledikçe maddenin yoğunluğu azalır (çünkü kütle değişmeksizin hacim artar). Ayrıca hacim arttıkça radyasyonun yoğunluğu azalır. Işık, kızıla kaydıkça da radyasyonun enerjisi azalır. Ancak karanlık enerjinin enerji yoğunluğu her zaman sabittir. Milyarlarca yıl sonrasında, radyasyonun da maddenin de yoğunluğu karanlık enerjinin yoğunluğunun altına düşerek, günümüzde gözlemlediğimiz ivmeli genişlemeye neden oluyor.
 
      
    
Modern gözlemsel kozmolojinin hedeflerinden biri, Evren'in doğası incelenebilir bütün özelliklerini ölçerek karanlık enerjiyi tamamıyla açıklamaktır. Uzak Tip Ia süpernovaların sayılarını derleyerek, kozmik ağın büyük ölçekli kümeleşme özelliklerini erken, orta ve geç zamanlarda daha iyi ölçerek ve kozmik arka plan mikrodalga ışımalarındaki dalgalanma ve kutuplaşmalardan daha ince detayları ayırarak karanlık enerjinin tam olarak nasıl açıklanacağına daha iyi odaklanabiliriz.
Bir kozmolojik sabit olarak çalışıyor olabilir, bu, karanlık enerjinin uzayın doğasında olan bir form olduğu anlamına gelir. Ya da daha karmaşık bir şekilde çalışıyor olabilir: kendine has (ve muhtemelen dinamik, sürekli değişen) bir durum denklemine sahip, genel bir enerji formu...
Ancak gözlemler, Genel Görelilik Kuramı'na göre işleyip de karanlık enerjiyi hiç içermeyen bir Evren'i tamamen reddediyor.

Karanlık Enerjinin Tek Parametresi
Geleneksel olarak karanlık enerji, tek bir parametreyle açıklanır: ww, yani durum denklemi. Fizikte ww, herhangi formdaki bir enerjinin enerji yoğunluğunu, o enerji formunun basıncına bağlar. Işık hızıyla karşılaştırıldığında ihmal edilebilir hızlarda hareket eden normal maddeler için w=0w=0 olarak verilir, yani hem normal madde hem de karanlık madde basınçsızdır.
Radyasyon ise basınç uygular: w=+13w= +\frac{1}{3}. Bu pozitif basınç zamanla daha tez bir şekilde düşen bir genişleme hızı oluşturur: Evren'in radyasyon hükmündeyken olan genişleme hızı, madde hükmündeyken (w=0w=0 olmak üzere) olan genişleme hızından daha seri olarak azalır. Kozmik sicimler ya da uzaysal eğriliğin hükmettiği w=−13w= -\frac{1}{3}, bölge duvarlarının hükmettiği w=−23w= -\frac{2}{3} ya da kozmik sabitin hükmettiği w=−1w = -1 bir Evren olabilir. Başka değerlerin mümkün olması ve ww'nun değerinin zamanla değişmesine rağmen, ww'nun tam olarak -1'e eşit olduğunu en fazla %10'luk bir hata payıyla biliyoruz.

Teorik olarak Evren'e yeni bir enerji formu için tasarlanan modellerin en basitleri 13\frac{1}{3}'lük ww'nun artışları içinde oluyor; karanlık enerjinin -1.00'a çok yakın olması, karanlık enerjinin kozmolojik sabit formuyla diğer aşina olduğumuz enerji formlarıyla olduğundan daha tutarlı olduğunu gösteriyor.
Genel Görelilik Kuramı'ndaki kozmolojik sabit, madde-ve-enerji formlarının yanında, Einstein denklemlerine (dolaylı olarak da Friedmann denklemlerine) eklenebilen tek enerji formu olması yönüyle ilginçtir. Aynı zamanda Kuantum Alan Teorisi'nde de boş uzayın doğasında olan enerji olarak yer alıyor. Eğer bu evrende potansiyel olarak var olabilen bütün partikül ve alanların katkılarını- ve boş uzayda nasıl geçerli olduklarını- hesaplayabilseydik, evrenin sıfır-noktası enerjisinin değerini bulmayı, dolaylı olarak da, Evren'imizin kozmolojik sabitinin değerini bulmayı beklerdik.

Kozmolojik Sabit ve Karanlık Enerji
"Tamam," diyoruz, "kuantum vakumuna etki eden her bir terimi nasıl hesaplayabileceğimizi biliyoruz, peki bu terimler ne?" Bu hesaplamaları yapıyoruz ve elde ettiğimiz değerler doğru olmak için çok, hem de çok büyük; gözlemlenen sınırlardan 10120 kat daha büyük!
Neden olduğunu baktığımızda fark ediyoruz ki, kozmolojik sabit bir kütle/enerji değerinin dördüncü kuvvetindeki bir değerle orantılı ve bu orandaki "varsayılan" değer, üç temel sabitin kombinasyonu: cc (ışık hızı), hh (Planck sabiti) ve GG (yerçekimsel sabit). Bunları kullanarak bir kütle/enerji orantısı oluşturduğumuzda elde ettiğimiz Planck kütle/enerjisi olarak da bilinen değerin, yaklaşık olarak ~1019 GeV olduğunu görüyoruz.
Bu, muazzam bir uyumsuzluk ve bu yüzden birçok teorik buluş karanlık enerji başka bir mekanizmayla açıklanacak şekilde yapılıyor.

Tüm bu gizeme ek olarak, bu garip karanlık enerjinin özellikleri, Einstein'ın kozmolojik sabitiyle çok iyi bir şekilde örtüşüyor. Kozmolojik sabit, bazen Einstein'ın "geçiştirme faktörü" olarak da adlandırılır ve sonradan Einstein tarafından "hayatının en büyük profesyonel gafı" olarak tanımlanır. Einstein, genişleyen bir Evren fikrinden nefret etmişti ve 20. yüzyılın başlarında popüler olan sabit durum kozmolojisi tarafından öne sürülen statik Evren modelini tercih etmişti. Evren'in gözlenen genişlemesine karşı koymak için, genişlemeyen bir Evren ile sonuçlanacak şekilde, kökeni belirsiz bir "anti-kütleçekimi kuvveti" icat etmişti. Ancak Einstein daha sonra gözlemlerle desteklenmeyen bu fikri geri çekmişti.
Dolayısıyla tüm bu kafa karışıklıklarını es geçmek için Genel Görelilik Kuramı'nı aradan çıkarıp, yerçekimini değiştirmeyi deneyebiliriz. Bu sayede kozmolojik sabit yerine karanlık enerjiyi açıklamamıza yardımcı olacak birtakım yeni parametreler elimize geçiyor:
- Evren'de, yeni bir alan tarif edebiliriz. Bu alan birçok farklı yolla türlü kuvvetlere ve etkileşimlere bağlanarak Evren'in gözlemlediğimiz genişleme hızına yol açabilir.
- Enflasyon fazındaki (aşina olduğumuz iki üstel genişleme dönemlerinden biri) koşulların bugünün karanlık enerjisine bağlı olduğu bir model tasarlayabiliriz.
- Ya da, Evren'den beklediğimizin dışında etkilere sahip olan yeni bir fikir öne sürebiliriz. Kozmolojik sabitten önemli ölçüde farklı sonuçlar veren herhangi bir modeli test edebiliriz.

Tabii ki bu teorik sapmalara ihtiyaç olduğumuzu gösteren herhangi bir sağlam neden yok; çünkü bu modifikasyonlar da hala kozmolojik sabit ve kuantum alan teorisindeki uzayın sıfır noktası enerjisini hesaba katmak zorunda. Şu anda, bu modellerin hepsi, sorunu sadece görmezden gelmekle yetiniyor. İddialarına göre "gerçek" vakum beklenti değeri büyük ihtimalle sıfır ve gözlemlediğimiz karanlık enerji ise şimdilik yüzleşmek zorunda olduğumuz geçici bir etki.
Elbette bu, yerçekimi değişimi, yeni alan, birleşik enflasyon + karanlık enerji ya da icat ettiğimiz yeni bir fikir yoluyla Evren'e istediğimiz kaderi yazabilme özgürlüğünü veriyor.
Ancak bu adımlar bugünlerde teorik olarak moda olsa bile, bunlara başvurmak için hiçbir gerekçe yok. Gerçek şu ki, elimizdeki bütün göstergelere göre karanlık enerjinin, tekdüze bir kozmolojik sabitten hiçbir farkı yok. Bunun dışındaki modeller elenmiş değil; ancak bu modellerin kaynağı tamamen kurmaca ve teorik hayalperestlik.

Karanlık Enerji Bir Parçacık Olabilir mi?
Yine de birçok kişinin fark ettiği bir şey var: Belki de Planck kütle/enerji oranını kozmolojik sabite eklemekle sonuçlanan bir hesaplama tamamen hatalı. Eğer ~1019 GeV yerine, dördüncü üssünü alacağımız 0.001’e (-0.01eV’ye) daha yakın bir kütle/enerji kullanırsak, Evren'de gözlemlediğimizle uyuşan bir kozmolojik sabit değerine ulaşıyoruz.
Bu kütle aralığıyla ilgili fazlasıyla ilginç olan, doğuştan bu aralığa ait olan iki tür partikül olması:
- Nötrinolar: Çeşitli ölçümlerden biliyoruz ki nötrinolar birbirinden çok az değişen kütlelere sahipler ve bu farklı türler arasındaki kütle farkı bu menzilin içine düşüyor.
- Akslar: Teorik bir partikül ve karanlık madde adayı; aksların bir çok varyasyonun durgun kütlesinin mikro-eV’den mili-eV’de olması mümkün.
Eğer bu düşük enerjili ölçekte yeni bir fizik ortaya çıkıyorsa, kuantum vakumuna olan katkıları da karanlık enerji bilmecesini açıklayabilir.

Gizem Perdesini Ne Aralayacak?
Karanlık enerji, kozmolojinin çözülmemiş büyük gizemlerinden biridir. Günümüzde karanlık enerjinin, Evren'deki her şeyin %68'ini oluşturduğu düşünülmektedir. Normal, "baryonik madde" denen ve gerçekte görebildiğimiz madde, Evren'in tamamının sadece %5'ini oluşturmaktadır. Geri kalan ise, bir diğer büyük kozmik gizem olan karanlık maddedir.
Karanlık enerji, Einstein'ın söz ettiği anti-kütleçekimi kuvveti gibi davranmaktadır; ancak doğası ve kökeni bilinmemektedir. En büyük gizemlerinden biri, Büyük Patlama'dan milyarlarca yıl sonra, karanlık enerjinin neden Evren'in belirli bir noktasında Evren'in genişleme hızına hakim olmaya başladığıdır. Şimdi varsa, neden hep orada değildi?
Karanlık enerjinin fiziği de oldukça spekülatiftir. Son yıllarda zemin kazanan bir fikir, karanlık enerjinin Higgs Alanı'nın bir akrabası olan, "öz" (İng: "quintessence") olarak bilinen bir güce benzediğidir. Ancak henüz bunu destekleyecek veya eleyecek gözlemsel hiçbir kanıt yoktur.
Kozmologlar ayrıca, karanlık enerjinin evrenin genişlemesini sonsuza dek hızlandırmaya devam edip etmeyeceğine dair hiçbir fikre sahip değillerdir. Bu da çok uzak bir gelecekte, ivmenin Evren'i bir arada tutan kuvvetlerin üstesinden geleceği ve kozmostaki tüm maddeyi kelimenin tam anlamıyla parçalayacağı bir senaryoya yol açacaktır. Bu, Büyük Yırtılma olarak bilinen bir kabus senaryosudur.
İşin doğrusu, gözlemsel olarak karanlık enerji, uzay kumaşının doğal bir parçasıymış gibi çalışmaktadır. NASA'nın, James Webb'den sonra 2020'lerin en önemli astrofizik görevi olan WFIRST, yukarıda bahsettiğimiz ww’nin ölçümsel kısıtlamalarını %1 ya da %2 seviyelerine düşürmemize yardımcı olacaktır. Bu sayede Evren'in nasıl davrandığnı daha net olarak anlamamız da mümkün olabilir. Ayrıca Şili merkezli uluslararası Karanlık Enerji Araştırması da karanlık enerjiye dair yeni bilgiler edinmemizi sağlayabilir.
Tüm bunlar bir araya gelerek, yakında kozmosun geleceği üzerinde böyle bir etkiye sahip olan bu gizemli kuvvet hakkında daha iyi bir anlayışa ulaşacağımızı umuyoruz; ancak bu anlayışı kazanmak için Evren'in çok daha eksiksiz bir tarihini çizmemiz gerekmektedir. Ancak 13,7 milyar yıllık "kozmolojik arkeoloji", son derece zor ve zaman alıcıdır, bu tarihte o kadar çok eski katman eksik veya belirsizdir ki, bu nedenle keşiflerin âni bir şekilde olmasını bekleyemeyiz.
Sonuç
İşin özeti: Evren, eski teorilerin tahmin ettiğinden daha hızlı genişliyor. Kozmolojinin çözülmemiş büyük gizemlerinden biri olan karanlık enerji, onun bu giderek hızlanan genişlemesinin nedeni olabilir. Karanlık enerjinin, Evren'deki her şeyin %68'ini oluşturduğu düşünülüyor.
Ama uzay boşluğu neden sahip olduğu özelliklere sahip? Evren'in uzay-zaman dokusunun sıfır nokta enerjisi, neden sıfırdan farklı ve pozitif bir değere sahip? Ve karanlık enerji herhangi başka bir şekilde değil de neden gözlemlediğimiz gibi çalışıyor?
Gördüğümüzü açıklayabilmek için uydurabileceğimiz sonsuz sayıda model var; ancak –sıfırdan farklı bir kozmolojik sabit için- oluşturulan modellerden en basiti, hiçbir ekleme ya da modifikasyonla verilere uymaya ihtiyaç duymaz. Kuantum vakumunu anlamaya yönelik gelişmelere imza atamadığımız sürece, karanlık enerji, modern teorik fiziğin en büyük cevaplanmamış sorularından biri olarak kalacak.
Evrim Ağacı'nda tek bir hedefimiz var: Bilimsel gerçekleri en doğru, tarafsız ve kolay anlaşılır şekilde Türkiye'ye ulaştırmak. Ancak tahmin edebileceğiniz gibi Türkiye'de bilim anlatmak hiç kolay bir iş değil; hele ki bir yandan ekonomik bir hayatta kalma mücadelesi verirken...
O nedenle sizin desteklerinize ihtiyacımız var. Eğer yazılarımızı okuyanların %1'i bize bütçesinin elverdiği kadar destek olmayı seçseydi, bir daha tek bir reklam göstermeden Evrim Ağacı'nın bütün bilim iletişimi faaliyetlerini sürdürebilirdik. Bir düşünün: sadece %1'i...
O %1'i inşa etmemize yardım eder misiniz? Evrim Ağacı Premium üyesi olarak, ekibimizin size ve Türkiye'ye bilimi daha etkili ve profesyonel bir şekilde ulaştırmamızı mümkün kılmış olacaksınız. Ayrıca size olan minnetimizin bir ifadesi olarak, çok sayıda ayrıcalığa erişim sağlayacaksınız.
Makalelerimizin bilimsel gerçekleri doğru bir şekilde yansıtması için en üst düzey çabayı gösteriyoruz. Gözünüze doğru gelmeyen bir şey varsa, mümkünse güvenilir kaynaklarınızla birlikte bize ulaşın!
Bu makalemizle ilgili merak ettiğin bir şey mi var? Buraya tıklayarak sorabilirsin.
Soru & Cevap Platformuna Git- 19
- 17
- 13
- 9
- 7
- 5
- 4
- 2
- 2
- 2
- 1
- 1
- Türev İçerik Kaynağı: Forbes | Arşiv Bağlantısı
- ^ D. Overbye. Cosmos Controversy: The Universe Is Expanding, But How Fast?. (20 Şubat 2017). Alındığı Tarih: 2 Şubat 2022. Alındığı Yer: The New York Times | Arşiv Bağlantısı
- ^ P. J. E. Peebles, et al. (2003). The Cosmological Constant And Dark Energy. Reviews of Modern Physics, sf: 559. doi: 10.1103/RevModPhys.75.559. | Arşiv Bağlantısı
- A. Briggs. What Is Dark Energy?. (31 Mart 2020). Alındığı Tarih: 2 Şubat 2022. Alındığı Yer: EarthSky | Arşiv Bağlantısı
- A. I. Lonappan, et al. (2018). Bayesian Evidences For Dark Energy Models In Light Of Current Observational Data. Physical Review D, sf: 043524. doi: 10.1103/PhysRevD.97.043524. | Arşiv Bağlantısı
- EDP Sciences. (2014). Planck2013 Results. I. Overview Of Products And Scientific Results. EDP Sciences, sf: A1. doi: 10.1051/0004-6361/201321529. | Arşiv Bağlantısı
- P. J. Steinhardt, et al. (2006). Why The Cosmological Constant Is Small And Positive. Science, sf: 1180-1183. doi: 10.1126/science.1126231. | Arşiv Bağlantısı
- H. Kragh. (2012). Preludes To Dark Energy: Zero-Point Energy And Vacuum Speculations. Archive for History of Exact Sciences, sf: 199-240. doi: 10.1007/s00407-011-0092-3. | Arşiv Bağlantısı
- T. Buchert, et al. (2015). Is There Proof That Backreaction Of Inhomogeneities Is Irrelevant In Cosmology?. Classical and Quantum Gravity, sf: 215021. doi: 10.1088/0264-9381/32/21/215021. | Arşiv Bağlantısı
- A. G. Riess, et al. (1998). Observational Evidence From Supernovae For An Accelerating Universe And A Cosmological Constant. The Astronomical Journal, sf: 1009. doi: 10.1086/300499. | Arşiv Bağlantısı
- S. Perlmutter, et al. (1999). Measurements Of Ω And Λ From 42 High-Redshift Supernovae. The Astrophysical Journal, sf: 565. doi: 10.1086/307221. | Arşiv Bağlantısı
- D. Huterer, et al. (1999). Prospects For Probing The Dark Energy Via Supernova Distance Measurements. Physical Review D, sf: 081301. doi: 10.1103/PhysRevD.60.081301. | Arşiv Bağlantısı
- S. Perlmutter, et al. (1999). Constraining Dark Energy With Type Ia Supernovae And Large-Scale Structure. Physical Review Letters, sf: 670. doi: 10.1103/PhysRevLett.83.670. | Arşiv Bağlantısı
- P. Astier, et al. (2006). The Supernova Legacy Survey: Measurement Of $\Omega_{\Mathsf{M}}$, $\Omega_\Mathsf{\Lambda}$ Andwfrom The First Year Data Set. EDP Sciences, sf: 31-48. doi: 10.1051/0004-6361:20054185. | Arşiv Bağlantısı
- R. Durrer. (2011). What Do We Really Know About Dark Energy?. Philosophical Transactions of the Royal Society A: Mathematical, Physical and Engineering Sciences, sf: 5102-5114. doi: 10.1098/rsta.2011.0285. | Arşiv Bağlantısı
- G. Paál, et al. (1992). Inflation And Compactification From Galaxy Redshifts?. Astrophysics and Space Science, sf: 107-124. doi: 10.1007/BF00644200. | Arşiv Bağlantısı
- D. N. Spergel, et al. (2007). Three-Year Wilkinson Microwave Anisotropy Probe (Wmap) Observations: Implications For Cosmology. The Astrophysical Journal Supplement Series, sf: 377. doi: 10.1086/513700. | Arşiv Bağlantısı
- M. Kowalski, et al. (2008). Improved Cosmological Constraints From New, Old, And Combined Supernova Data Sets. The Astrophysical Journal, sf: 749. doi: 10.1086/589937. | Arşiv Bağlantısı
- R. G. Crittenden, et al. (1996). Looking For A Cosmological Constant With The Rees-Sciama Effect. Physical Review Letters, sf: 575. doi: 10.1103/PhysRevLett.76.575. | Arşiv Bağlantısı
- S. Ho, et al. (2008). Correlation Of Cmb With Large-Scale Structure. I. Integrated Sachs-Wolfe Tomography And Cosmological Implications. Physical Review D, sf: 043519. doi: 10.1103/PhysRevD.78.043519. | Arşiv Bağlantısı
- T. Giannantonio, et al. (2008). Combined Analysis Of The Integrated Sachs-Wolfe Effect And Cosmological Implications. Physical Review D, sf: 123520. doi: 10.1103/PhysRevD.77.123520. | Arşiv Bağlantısı
- Z. . YI, et al. (2011). Constraints On Holographic Dark Energy Models Using The Differential Ages Of Passively Evolving Galaxies. Modern Physics Letters A, sf: 41-53. doi: 10.1142/S0217732307020889. | Arşiv Bağlantısı
- H. Wan, et al. (2007). Constraints On The Dgp Universe Using Observational Hubble Parameter. Physics Letters B, sf: 352-356. doi: 10.1016/j.physletb.2007.06.053. | Arşiv Bağlantısı
- C. Ma, et al. (2011). Power Of Observational Hubble Parameter Data: A Figure Of Merit Exploration. The Astrophysical Journal, sf: 74. doi: 10.1088/0004-637X/730/2/74. | Arşiv Bağlantısı
- T. Zhang, et al. (2011). Constraints On The Dark Side Of The Universe And Observational Hubble Parameter Data. Advances in Astronomy, sf: 1-14. doi: 10.1155/2010/184284. | Arşiv Bağlantısı
- J. Simon, et al. (2005). Constraints On The Redshift Dependence Of The Dark Energy Potential. Physical Review D, sf: 123001. doi: 10.1103/PhysRevD.71.123001. | Arşiv Bağlantısı
- D. . Sabulsky, et al. (2019). Experiment To Detect Dark Energy Forces Using Atom Interferometry. Physical Review Letters, sf: 061102. doi: 10.1103/PhysRevLett.123.061102. | Arşiv Bağlantısı
- S. Vagnozzi, et al. (2021). Direct Detection Of Dark Energy: The Xenon1T Excess And Future Prospects. Physical Review D, sf: 063023. doi: 10.1103/PhysRevD.104.063023. | Arşiv Bağlantısı
- J. Wess, et al. (1992). Supersymmetry And Supergravity: Revised Edition. ISBN: 9780691025308. Yayınevi: Princeton University Press.
- S. M. Carroll. (1998). Quintessence And The Rest Of The World: Suppressing Long-Range Interactions. Physical Review Letters, sf: 3067. doi: 10.1103/PhysRevLett.81.3067. | Arşiv Bağlantısı
- B. Ratra, et al. (1988). Cosmological Consequences Of A Rolling Homogeneous Scalar Field. Physical Review D, sf: 3406. doi: 10.1103/PhysRevD.37.3406. | Arşiv Bağlantısı
- Y. Cai, et al. (2010). Quintom Cosmology: Theoretical Implications And Observations. Physics Reports, sf: 1-60. doi: 10.1016/j.physrep.2010.04.001. | Arşiv Bağlantısı
- R. R. Caldwell. (2002). A Phantom Menace? Cosmological Consequences Of A Dark Energy Component With Super-Negative Equation Of State. Physics Letters B, sf: 23-29. doi: 10.1016/S0370-2693(02)02589-3. | Arşiv Bağlantısı
- Q. Exirifard. (2011). Phenomenological Covariant Approach To Gravity. General Relativity and Gravitation, sf: 93-106. doi: 10.1007/s10714-010-1073-6. | Arşiv Bağlantısı
- S. Vagnozzi, et al. (2020). Do We Have Any Hope Of Detecting Scattering Between Dark Energy And Baryons Through Cosmology?. Monthly Notices of the Royal Astronomical Society, sf: 1139-1152. doi: 10.1093/mnras/staa311. | Arşiv Bağlantısı
- M. . CHEVALLIER, et al. (2002). Accelerating Universes With Scaling Dark Matter. International Journal of Modern Physics D, sf: 213-223. doi: 10.1142/S0218271801000822. | Arşiv Bağlantısı
- E. V. Linder. (2003). Exploring The Expansion History Of The Universe. Physical Review Letters, sf: 091301. doi: 10.1103/PhysRevLett.90.091301. | Arşiv Bağlantısı
- E. M. Barboza, et al. (2008). A Parametric Model For Dark Energy. Physics Letters B, sf: 415-419. doi: 10.1016/j.physletb.2008.08.012. | Arşiv Bağlantısı
- H. K. Jassal, et al. (2010). Understanding The Origin Of Cmb Constraints On Dark Energy. Monthly Notices of the Royal Astronomical Society, sf: 2639-2650. doi: 10.1111/j.1365-2966.2010.16647.x. | Arşiv Bağlantısı
- C. Wetterich. (2004). Phenomenological Parameterization Of Quintessence. Physics Letters B, sf: 17-22. doi: 10.1016/j.physletb.2004.05.008. | Arşiv Bağlantısı
- A. M. Öztaş, et al. (2018). The Varying Cosmological Constant: A New Approximation To The Friedmann Equations And Universe Model. Monthly Notices of the Royal Astronomical Society, sf: 451-458. doi: 10.1093/mnras/sty221. | Arşiv Bağlantısı
- A. M. Öztaş. (2018). The Effects Of A Varying Cosmological Constant On The Particle Horizon. Monthly Notices of the Royal Astronomical Society, sf: 2228-2234. doi: 10.1093/mnras/sty2375. | Arşiv Bağlantısı
- D. L. Wiltshire. (2007). Exact Solution To The Averaging Problem In Cosmology. Physical Review Letters, sf: 251101. doi: 10.1103/PhysRevLett.99.251101. | Arşiv Bağlantısı
- M. Ishak, et al. (2008). Dark Energy Or Apparent Acceleration Due To A Relativistic Cosmological Model More Complex Than The Friedmann-Lemaitre-Robertson-Walker Model?. Physical Review D, sf: 123531. doi: 10.1103/PhysRevD.78.123531. | Arşiv Bağlantısı
- T. Mattsson. (2010). Dark Energy As A Mirage. General Relativity and Gravitation, sf: 567-599. doi: 10.1007/s10714-009-0873-z. | Arşiv Bağlantısı
- P. G. F. T. Clifton. (2009). Does Dark Energy Really Exist?. Springer Science and Business Media LLC, sf: 48-55. doi: 10.1038/scientificamerican0409-48. | Arşiv Bağlantısı
- D. L. Wiltshire. (2008). Cosmological Equivalence Principle And The Weak-Field Limit. Physical Review D, sf: 084032. doi: 10.1103/PhysRevD.78.084032. | Arşiv Bağlantısı
- C. G. Tsagas. (2011). Peculiar Motions, Accelerated Expansion, And The Cosmological Axis. Physical Review D, sf: 063503. doi: 10.1103/PhysRevD.84.063503. | Arşiv Bağlantısı
- J. T. Nielsen, et al. (2016). Marginal Evidence For Cosmic Acceleration From Type Ia Supernovae. Scientific Reports, sf: 1-8. doi: 10.1038/srep35596. | Arşiv Bağlantısı
- D. Rubin, et al. (2020). Is The Expansion Of The Universe Accelerating? All Signs Still Point To Yes: A Local Dipole Anisotropy Cannot Explain Dark Energy. The Astrophysical Journal, sf: 68. doi: 10.3847/1538-4357/ab7a16. | Arşiv Bağlantısı
- Y. Kang, et al. (2020). Early-Type Host Galaxies Of Type Ia Supernovae. Ii. Evidence For Luminosity Evolution In Supernova Cosmology. The Astrophysical Journal, sf: 8. doi: 10.3847/1538-4357/ab5afc. | Arşiv Bağlantısı
- M. Sami, et al. (2016). Late-Time Cosmic Acceleration: Abcd Of Dark Energy And Modified Theories Of Gravity. International Journal of Modern Physics D, sf: 1630031. doi: 10.1142/S0218271816300317. | Arşiv Bağlantısı
- A. Joyce, et al. (2016). Dark Energy Versus Modified Gravity. Annual Reviews, sf: 95-122. doi: 10.1146/annurev-nucl-102115-044553. | Arşiv Bağlantısı
- L. Lombriser, et al. (2017). Challenges To Self-Acceleration In Modified Gravity From Gravitational Waves And Large-Scale Structure. Physics Letters B, sf: 382-385. doi: 10.1016/j.physletb.2016.12.048. | Arşiv Bağlantısı
- J. A. Frieman, et al. (2008). Dark Energy And The Accelerating Universe. Annual Reviews, sf: 385-432. doi: 10.1146/annurev.astro.46.060407.145243. | Arşiv Bağlantısı
- A. Loeb. (2002). Long-Term Future Of Extragalactic Astronomy. Physical Review D, sf: 047301. doi: 10.1103/PhysRevD.65.047301. | Arşiv Bağlantısı
- L. M. Krauss, et al. (2007). The Return Of A Static Universe And The End Of Cosmology. General Relativity and Gravitation, sf: 1545-1550. doi: 10.1007/s10714-007-0472-9. | Arşiv Bağlantısı
- P. J. Steinhardt, et al. (2002). A Cyclic Model Of The Universe. Science, sf: 1436-1439. doi: 10.1126/science.1070462. | Arşiv Bağlantısı
- D. Merritt. (2017). Cosmology And Convention. Studies in History and Philosophy of Science Part B: Studies in History and Philosophy of Modern Physics, sf: 41-52. doi: 10.1016/j.shpsb.2016.12.002. | Arşiv Bağlantısı
Evrim Ağacı'na her ay sadece 1 kahve ısmarlayarak destek olmak ister misiniz?
Şu iki siteden birini kullanarak şimdi destek olabilirsiniz:
kreosus.com/evrimagaci | patreon.com/evrimagaci
Çıktı Bilgisi: Bu sayfa, Evrim Ağacı yazdırma aracı kullanılarak 31/10/2025 08:59:11 tarihinde oluşturulmuştur. Evrim Ağacı'ndaki içeriklerin tamamı, birden fazla editör tarafından, durmaksızın elden geçirilmekte, güncellenmekte ve geliştirilmektedir. Dolayısıyla bu çıktının alındığı tarihten sonra yapılan güncellemeleri görmek ve bu içeriğin en güncel halini okumak için lütfen şu adrese gidiniz: https://evrimagaci.org/s/9629
İçerik Kullanım İzinleri: Evrim Ağacı'ndaki yazılı içerikler orijinallerine hiçbir şekilde dokunulmadığı müddetçe izin alınmaksızın paylaşılabilir, kopyalanabilir, yapıştırılabilir, çoğaltılabilir, basılabilir, dağıtılabilir, yayılabilir, alıntılanabilir. Ancak bu içeriklerin hiçbiri izin alınmaksızın değiştirilemez ve değiştirilmiş halleri Evrim Ağacı'na aitmiş gibi sunulamaz. Benzer şekilde, içeriklerin hiçbiri, söz konusu içeriğin açıkça belirtilmiş yazarlarından ve Evrim Ağacı'ndan başkasına aitmiş gibi sunulamaz. Bu sayfa izin alınmaksızın düzenlenemez, Evrim Ağacı logosu, yazar/editör bilgileri ve içeriğin diğer kısımları izin alınmaksızın değiştirilemez veya kaldırılamaz.
 
             
             
       
           
           
                 
                   
                   
                   
                   
                   
                   
                   
                   
                   
                   
                   
                  