Uzak Galaksiler Işık Hızından Hızlı Hareket Edebilir mi?

- Çeviri
- Fiziksel Kozmoloji
Bu Makalede Neler Öğreneceksiniz?
- Observe distant galaxies exhibit redshifted light indicating they are moving away from us at speeds approaching or exceeding the speed of light.
- Explain the speed of light limit applies only to objects sharing the same spacetime event, not to the expansion of space itself.
- Highlight observations confirm galaxies can recede faster than light due to the universe's expansion, consistent with relativity theory.
Eğer uzak Evren'i incelerseniz; milyonlarca, milyarlarca, hatta on milyarlarca ışık yılı uzakta galaksilere rastlayacaksınız. Ortalama olarak, galaksinin size olan uzaklığı arttıkça sizden uzaklaşma hızı da artacaktır. Galaksinin içerisinde mevcut olan yıldızların renklerine veya galaksinin kendisine özgü olan emilim (absorbsiyon) ve yayılım (emisyon) çizgilerine bakıldığında, yıldızlarının renklerinin sistematik olarak kırmızıya kaydığı görülür.
Sonuç olarak, bizden çok uzakta olan galaksilerden gelen ışıkları o kadar şiddetli şekilde kırmızıya kaymış olarak göreceğiz ki galaksinin uzaklaşma hızı; ışık hızına gittikçe yaklaşacak, ışık hızına ulaşacak ve hatta belli bir mesafeye ulaştıktan sonra, ışık hızını aşacak. Gözlemlerimiz, sizi Görelilik Teorisi, fizik ve Evren hakkında bildiğimiz her şeyi sorgulamaya itebilir; ancak gördüğünüz şey gerçek - bu kırmızıya kaymalar ve anlattıkları şey, tamamıyla gerçek: Uzak galaksiler, gerçekten de bizden ışık hızından hızlı uzaklaşıyor![1]

Işık Hızı Sınırını Doğru Anlamak...
Görelilik fikri pek çok insanın anladığını düşündüğü bir şey, ancak dikkatli olmak önemli; çünkü Einstein'in teorisini yanlış anlamak çok kolaydır. Evet, Evren'de nesneler için nihai bir hız olduğu doğru: "Işık hızı" denen bu hız, boşlukta 299.792.458 m/s. Sadece kütlesi olmayan tanecikler bu hızda hareket edebilir; gerçek bir kütlesi olan her şey bu hızdan daha küçük hızlarda hareket etmek zorundadır.[1]
Ancak, "ışık hızıyla sınırlandırılmış olmak" hakkında konuştuğumuz zaman, hepimizin fark edemediği bir varsayım yapıyoruz: Uzay-zamanda bir başka nesneyle aynı olay içinde olup da hareket eden bir nesneden bahsediyoruz: Bu, onların aynı anda, uzayda aynı konumda oldukları anlamına geliyor. Eğer birbirinden farklı uzay-zaman koordinatlarına sahip iki nesnemiz varsa, kesinlikle göz ardı edemeyeceğimiz bir diğer faktör daha var.

Evren, Statik Değildir!
Anlık olarak bulunduğunuz uzay-zaman konumuna bağlı olarak gerçekleşen özel göreli harekete ek olarak, yalnızca Genel Görelilik açısından düşündüğünüzde ortaya çıkan bir etki: uzay-zamanın bükülmesi ve evrimi.
Özel Görelilik; bükülmemiş, statik boşluk ile ilgiliyken, gerçekte Evren içerisinde madde ve enerji bulunur. Madde ve enerjinin varlığı, uzay-zamanda bulunan nesnelerin statik ve stabil olamayacağı ve uzaydaki konumlarının uzay-zaman dokusu değiştikçe değişeceği anlamına gelir.
Bir yıldız veya kara delik gibi büyük bir kütlenin etrafında olduğumuzu varsayalım. Bu durumda uzay-zaman dokusu bükülecek ve bizler, kütleye doğru ivmelendiğimizi hissedeceğiz. Bu durum, uzay dokusuna göre bir hareketin olmadığı anlarda bile görülebilir. Uzay, adeta kendi akışıyla birlikte bütün nesneleri de sürükleyen bir nehir gibi davranır.
Kabaca tek tip bir maddeyle dolu bir Evren'de, özellikle büyük ölçekte, uzay-zamanda görülen değişiklikler, bütün Gözlenebilir Evren'de geçerlidir. Özellikle, homojen ve izotropik (bütün yönlerde aynı) bir Evren statik kalamaz, ya genişlemek ya da küçülmek zorundadır.
Alexander Friedmann 1922'de bu teoriyi işaret eden denklemleri bulduğunda fazla ilgi gösterilmemişti. Beş yıl sonra, Georges Lemaitre tamamen bağımsız olarak aynı sonuçları bulduğunda, çalışmalarını Albert Einstein'a gönderdi. Einstein, çalışmayı incelemiş ve bir hata bulamamıştı; fakat araştırmanın sonucunu şöyle diyerek reddetmişti:
Hesaplamalarınız doğru; ama fiziğiniz berbat!
Ancak Friedmann'ın fiziğinin "berbat" olması bir yana dursun; tam tersine, Evren'in sırlarını çözebilecek olan anahtardı!
Spektroskopi Sayesinde Galaksi Mesafelerini Hesaplayabiliriz!
Bu olaylarla eş zamanlı olarak, 1910-1920, astronomlar uzak nesneler hakkında iki kilit ölçümü yapabilecekleri teknik kapasiteye erişmişlerdi.
Evrim Ağacı'nın çalışmalarına Kreosus, Patreon veya YouTube üzerinden maddi destekte bulunarak hem Türkiye'de bilim anlatıcılığının gelişmesine katkı sağlayabilirsiniz, hem de site ve uygulamamızı reklamsız olarak deneyimleyebilirsiniz. Reklamsız deneyim, sitemizin/uygulamamızın çeşitli kısımlarda gösterilen Google reklamlarını ve destek çağrılarını görmediğiniz, %100 reklamsız ve çok daha temiz bir site deneyimi sunmaktadır.
KreosusKreosus'ta her 50₺'lik destek, 1 aylık reklamsız deneyime karşılık geliyor. Bu sayede, tek seferlik destekçilerimiz de, aylık destekçilerimiz de toplam destekleriyle doğru orantılı bir süre boyunca reklamsız deneyim elde edebiliyorlar.
Kreosus destekçilerimizin reklamsız deneyimi, destek olmaya başladıkları anda devreye girmektedir ve ek bir işleme gerek yoktur.
PatreonPatreon destekçilerimiz, destek miktarından bağımsız olarak, Evrim Ağacı'na destek oldukları süre boyunca reklamsız deneyime erişmeyi sürdürebiliyorlar.
Patreon destekçilerimizin Patreon ile ilişkili e-posta hesapları, Evrim Ağacı'ndaki üyelik e-postaları ile birebir aynı olmalıdır. Patreon destekçilerimizin reklamsız deneyiminin devreye girmesi 24 saat alabilmektedir.
YouTubeYouTube destekçilerimizin hepsi otomatik olarak reklamsız deneyime şimdilik erişemiyorlar ve şu anda, YouTube üzerinden her destek seviyesine reklamsız deneyim ayrıcalığını sunamamaktayız. YouTube Destek Sistemi üzerinde sunulan farklı seviyelerin açıklamalarını okuyarak, hangi ayrıcalıklara erişebileceğinizi öğrenebilirsiniz.
Eğer seçtiğiniz seviye reklamsız deneyim ayrıcalığı sunuyorsa, destek olduktan sonra YouTube tarafından gösterilecek olan bağlantıdaki formu doldurarak reklamsız deneyime erişebilirsiniz. YouTube destekçilerimizin reklamsız deneyiminin devreye girmesi, formu doldurduktan sonra 24-72 saat alabilmektedir.
Diğer PlatformlarBu 3 platform haricinde destek olan destekçilerimize ne yazık ki reklamsız deneyim ayrıcalığını sunamamaktayız. Destekleriniz sayesinde sistemlerimizi geliştirmeyi sürdürüyoruz ve umuyoruz bu ayrıcalıkları zamanla genişletebileceğiz.
Giriş yapmayı unutmayın!Reklamsız deneyim için, maddi desteğiniz ile ilişkilendirilmiş olan Evrim Ağacı hesabınıza üye girişi yapmanız gerekmektedir. Giriş yapmadığınız takdirde reklamları görmeye devam edeceksinizdir.
- Spektroskopi tekniği yardımıyla bir nesneden gelen ışığı farklı dalga boylarına göre kıran astronomlar, belirli atomların varlığını kesin olarak saptayabiliyorlardı. Astronomlar, belirli dalga boylarında oluşan absorbsiyon ve emisyon çizgilerinin kayan sistematik değişiminden yola çıkarak uzak bir nesnenin toplam maviye veya kırmızıya kaymasını hesaplayabiliyorlardı.
- Astronomlar, uzak bir nesnenin nesne hakkındaki karakteristik özelliklerini taşıyan belirli özelliklerini tanımlayarak o nesnenin uzaklığını anlayabiliyorlardı. Bu karakteristik özelliklere örnek olarak bir yıldızın karakteristik parlaklığı, bir galaksinin gerçek boyutu veya görünür parlaklığı gibi özellikler verilebilir.

Bir Galaksi Ne Kadar Uzaksa, Bizden O Kadar Hızlı Uzaklaşır!
Bilim insanlarının 1920'li yılların sonuna doğru uygulamaya başladığı bu iki gözlem yöntemini kullanan bilim insanları, bir kural bulmuşlardı: Bu kurala göre, galaksinin uzaklığı arttıkça kızıla kayma oranının daha yüksek olduğu ölçülmüştü.
Özel olarak, ortaya çıkan fazladan kırmızı veya maviye kaymalar daima mesafeden bağımsızdır ve saniyede onlarca ile binlerce kilometre arasında değişen hızlara karşılık gelirler; ancak bundan daha hızlı değildirler. Ancak baktığınız galaksinin iki katı kadar uzaktaki galaksileri incelediğiniz zaman kızıla kayma miktarlarının da yakındakilere göre iki kat daha fazla olduğu görülür. Aradaki mesafenin on kat daha fazla olduğu senaryolarda kızıla kayma da on kat daha fazladır. Bu durum bakmak istediğimiz galaksinin uzaklığıyla orantılı olarak milyarlarca ışık yılı uzaktaki galaksilere kadar devam eder.

Hubble-Lemaitre Yasası Ne Söyler?
Görüldüğü üzere, ölçülen kızıla kayma ve uzaklık arasındaki ilişki, sıra dışı uzaklıklar için de görülmeye devam eder. Uzaklık-kızıla kayma ilişkisi, yakın dönemde Hubble-Lemaitre Yasası olarak değiştirilene kadar, uzun bir dönem boyunca Hubble Yasası olarak bilindi. Ancak Hubble konuyla ilgili çalışmasını yayınlayana kadar, hem Lemaitre hem de Howard Robertson tarafından birbirlerinden bağımsız olarak keşfedilmişti. Bulunan bu bağlantı, astronomi tarihinde keşfedilmiş en önemli deneysel bağlantılardan birisi oldu.
Bu bağlantı, her nesnenin karakteristik kırmızı veya maviye kayma oranını göz önünde bulundurarak her nesnenin kırmızıya(veya maviye) kaymasına ek iki nokta olduğu şeklinde yorumlandı:
- Evren'in genel genişlemesinden kaynaklanan bileşen (yani kırmızıya kayma-mesafe ilişkisi), özellikle büyük mesafelerde kırmızıya kaymanın çoğundan sorumluydu.
- Her galaksinin uzay boyunca kendi hareketinden kaynaklanan ve ana eğilim çizgisinde düzensizlikleri açıklayan bileşen, genişleyen uzay dokusuna göre özel göreli hareketten kaynaklanıyordu.

Kırmızıya ve Maviye Kaymanın Farklı Versiyonları
Özel göreli hareketleri anlamak kolaydır. Bir dondurma kamyonunun sesinin dalga boyundaki kaymaya benzer şekilde, ışığın dalga boyunda bir kaymaya neden olurlar. Size doğru yaklaşan bir dondurma kamyonunun sesi sıkıştırılmış, daha yüksek perdeden olacaktır. Işık için bu durum maviye kaymaya benzetilebilir. Sizden uzaklaştığı durumda ise dalga tepeleri arasındaki mesafe artacaktır. Bu ise sesin daha düşük perdeden duyulmasına neden olacaktır, tıpkı kırmızıya kayma gibi.[1]
Ancak uzayın genişlemesi özellikle geniş ölçekte düşünüldüğünde çok daha önemli bir rol daha oynar. Uzay dokusunu oyun hamuru ve galaksiler gibi kütlesel olarak yoğun nesneleri üzüm taneleri gibi hayal edecek olursanız, her bir üzüm tanesi yakınındaki diğer üzümlerden tüm yönlerde yavaşça uzaklaşıyor gibi gözükecektir. Üzüm taneleri oyun hamuruna göre hareket etmese de üzüm taneleri arasındaki uzaklık arttıkça birbirlerinden daha hızlı uzaklaşacaklardır. Oyun hamuru tam olarak uzay dokusu gibi genişleyecektir ve gözlemleyebileceğimiz tek şey, genel kızıla kayma olacaktır.
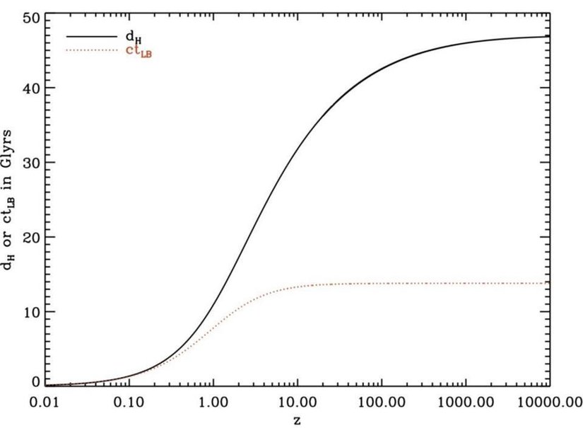
Eğer genişleme oranını hesaplayacak olursanız sonucunuzun birim uzaklık başına hız cinsinden ifade edildiğini göreceksiniz. Örneğin, kozmik mesafe merdiveni yardımıyla, 73 km/s/Mpc olan genişleme hızı olan H0H_0 değerini elde ederiz. (Bir Mpc veya "megaparsek", yaklaşık olarak 3,26 milyon ışık yılıdır). Kozmik mikrodalga arka plan ışıması veya büyük ölçekli yapıların özelliklerini kullanmak da az önceki sayıya yakın, ancak biraz daha küçük bir değer bulmamızı sağlar: 67 km/s/Mpc.
İki şekilde de bir galaksinin görünen hızının ışık hızını aştığı kritik bir uzaklık vardır. Bu mesafe 13 ile 15 milyar ışık yılı arasında değişir. Bunun dışında, galaksilerin ışık hızından hızlı olarak uzaklaştığı görülür; ancak bu, gerçekten ışık hızından daha hızlı bir hareket değildir, evrenin genişlemesinden kaynaklanır. Bu genişleme ise daha önce de bahsettiğimiz gibi uzak nesnelerden gelen ışığın kırmızıya kaymasına neden olur. Bu ilişkinin karmaşık detaylarını incelediğimizde "hareket" açıklamasının verilerle eşleşmediği sonucunu kesin olarak çıkarabiliriz.

Galaksilerin Uzaklaşmasının Ana Nedeni
Evren, gerçekten de genişliyor ve bizim uzak gezegen veya galaksilerden ışığı bu kadar ciddi bir şekilde kırmızıya kaymış görmemizin nedeni, galaksilerin uzay içerisindeki hareketinden değil, genişleyen uzay dokusundan kaynaklanıyor. Aslında, galaksiler, uzay içerisinde görece olarak yavaş hızlarda hareket ediyorlar. Bu hızlar ise ışık hızının binde beşi ile yüzde biri arasında değişiyor.
Ancak genişleyen Evren'in inkar edilemez etkilerini görmek için çok da uzağa gitmenize gerek yok, sadece 100 milyon ışık yılı mesafeye bakmanız tamamıyla yeterli olacaktır. Evren, gözümüze ulaşmadan önce bu çok uzak ışığı genişletmeye ve germeye devam ederken, bize görülebilen en uzak gökadalar şimdiden 30 milyar ışık yılı uzaklıkta bulunuyor. Bizler, Hubble döneminden James Webb dönemine doğru ilerlerken, daha uzaktaki galaksileri de görebilmeyi umuyoruz. Ancak teknolojimiz ne kadar gelişirse gelişsin Evren'deki galaksilerin çoğu, ulaşabileceğimiz sınırların sonsuza dek ötesinde kalacaktır.

Asla Erişemeyeceğimiz Galaksiler
Evren'deki belli bir uzaklığın ötesindeki bütün galaksiler, bizden ışık hızından daha yüksek hızlarda uzaklaşıyor gibi görünüyor. Bugün ışık hızında bir foton salsaydık, fotonumuz bu mesafenin ötesindeki hiçbir galaksiye ulaşamayacaktı. Bu, o galaksilerdeki olayların bizler tarafından hiçbir zaman görülemeyeceği anlamına geliyor. Ancak galaksilerin kendisi ışık hızında hareket ettiği için değil, daha önce de söylediğimiz gibi, uzay dokusunun kendisi genişlediği için...
Bu yazımızı okuduğunuz 7 dakika içerisinde Evren öylesine genişledi ki 15.000.000 yıldız daha o kritik eşiği geçti ve tamamen ulaşılamaz oldu. Bu gezegenler ancak kırmızıya kaymanın tamamen özel bir göreli açıklamasında ısrar edersek, ışıktan daha hızlı hareket ediyor gibi görünürler. Bu, özel göreliliğin doğrulandığı bir zamanda, pek zekice görünmüyor. Fakat bu, bizleri daha rahatsız edici bir sonuca götürüyor: Işık hızında bile gidebiliyor olsaydık, Gözlemlenebilir evrendeki 2 trilyon galaksinin yalnızca %3'ü şu anda erişebileceğimiz mesafededir.
Eğer Evren'in mümkün olan bütün kısımlarını keşfetmek istiyorsak, gecikmeye tahammülümüz olmamalı. Her geçen bir saniyeyle birlikte, zeki bir canlıyla karşılaşma ihtimalimiz sonsuza kadar kayboluyor.
Evrim Ağacı'nda tek bir hedefimiz var: Bilimsel gerçekleri en doğru, tarafsız ve kolay anlaşılır şekilde Türkiye'ye ulaştırmak. Ancak tahmin edebileceğiniz gibi Türkiye'de bilim anlatmak hiç kolay bir iş değil; hele ki bir yandan ekonomik bir hayatta kalma mücadelesi verirken...
O nedenle sizin desteklerinize ihtiyacımız var. Eğer yazılarımızı okuyanların %1'i bize bütçesinin elverdiği kadar destek olmayı seçseydi, bir daha tek bir reklam göstermeden Evrim Ağacı'nın bütün bilim iletişimi faaliyetlerini sürdürebilirdik. Bir düşünün: sadece %1'i...
O %1'i inşa etmemize yardım eder misiniz? Evrim Ağacı Premium üyesi olarak, ekibimizin size ve Türkiye'ye bilimi daha etkili ve profesyonel bir şekilde ulaştırmamızı mümkün kılmış olacaksınız. Ayrıca size olan minnetimizin bir ifadesi olarak, çok sayıda ayrıcalığa erişim sağlayacaksınız.
Makalelerimizin bilimsel gerçekleri doğru bir şekilde yansıtması için en üst düzey çabayı gösteriyoruz. Gözünüze doğru gelmeyen bir şey varsa, mümkünse güvenilir kaynaklarınızla birlikte bize ulaşın!
Bu makalemizle ilgili merak ettiğin bir şey mi var? Buraya tıklayarak sorabilirsin.
Soru & Cevap Platformuna Git- 10
- 9
- 7
- 4
- 3
- 3
- 2
- 2
- 1
- 0
- 0
- 0
- Çeviri Kaynağı: Forbes | Arşiv Bağlantısı
- ^ a b c Elizabeth Howell. Özel Görelilik Teorisi Nedir? Einstein, Işık Hızının Doğasını Açıklamayı Çalışırken Evreni Nasıl Çözdü?. (26 Kasım 2020). Alındığı Tarih: 30 Mayıs 2022. Alındığı Yer: Evrim Ağacı | Arşiv Bağlantısı
Evrim Ağacı'na her ay sadece 1 kahve ısmarlayarak destek olmak ister misiniz?
Şu iki siteden birini kullanarak şimdi destek olabilirsiniz:
kreosus.com/evrimagaci | patreon.com/evrimagaci
Çıktı Bilgisi: Bu sayfa, Evrim Ağacı yazdırma aracı kullanılarak 09/10/2025 12:47:39 tarihinde oluşturulmuştur. Evrim Ağacı'ndaki içeriklerin tamamı, birden fazla editör tarafından, durmaksızın elden geçirilmekte, güncellenmekte ve geliştirilmektedir. Dolayısıyla bu çıktının alındığı tarihten sonra yapılan güncellemeleri görmek ve bu içeriğin en güncel halini okumak için lütfen şu adrese gidiniz: https://evrimagaci.org/s/11852
İçerik Kullanım İzinleri: Evrim Ağacı'ndaki yazılı içerikler orijinallerine hiçbir şekilde dokunulmadığı müddetçe izin alınmaksızın paylaşılabilir, kopyalanabilir, yapıştırılabilir, çoğaltılabilir, basılabilir, dağıtılabilir, yayılabilir, alıntılanabilir. Ancak bu içeriklerin hiçbiri izin alınmaksızın değiştirilemez ve değiştirilmiş halleri Evrim Ağacı'na aitmiş gibi sunulamaz. Benzer şekilde, içeriklerin hiçbiri, söz konusu içeriğin açıkça belirtilmiş yazarlarından ve Evrim Ağacı'ndan başkasına aitmiş gibi sunulamaz. Bu sayfa izin alınmaksızın düzenlenemez, Evrim Ağacı logosu, yazar/editör bilgileri ve içeriğin diğer kısımları izin alınmaksızın değiştirilemez veya kaldırılamaz.
This work is an exact translation of the article originally published in Forbes. Evrim Ağacı is a popular science organization which seeks to increase scientific awareness and knowledge in Turkey, and this translation is a part of those efforts. If you are the author/owner of this article and if you choose it to be taken down, please contact us and we will immediately remove your content. Thank you for your cooperation and understanding.