Deprem Nedir? Depremlere Sebep Olan Doğa Yasaları ve Bu Yasaları Açıklayan Modeller Nelerdir?
- Özgün
- Jeoloji
- İstatistiksel Mekanik
Bu Makalede Neler Öğreneceksiniz?
- Depremler, yerkabuğundaki hareketli levhaların sürtünme ve gerilmeleri sonucu oluşan titreşimlerdir ve sismoloji bilimi tarafından incelenir.
- Guternberg-Richter ve Omori yasaları, depremlerin büyüklük dağılımı ve artçı şokların zamanla azalmasını matematiksel olarak açıklar.
- Burridge-Knopoff, CNM ve OFC modelleri gibi fiziksel ve matematiksel modeller, depremlerin mekanizmalarını anlamak ve tahmin etmek için kullanılır.
Deprem dediğimiz doğa olayı, yer kabuğundaki kırılmalar nedeniyle ortaya çıkan titreşimlerin dalgalar halinde yayılmasıdır. Bu olay, sanılanın aksine, yerkabuğunun hareketsiz değil de hareketli olduğunun bir göstergesi olup, kaotik süreçler içeren ve fizik bilimi başta olmak üzere diğer bilim dalları tarafından da incelenen bir olgudur.
Depremi inceleyen bilim dalı sismoloji olarak bilinmektedir. Nasıl oluştuğunu, deprem dalgalarının nasıl yayıldığını, bilimsel metotlar ve ölçüm aletleri yardımıyla incelemektedir.
Depremin Oluş Nedenleri ve Türleri
Dünya’nın yapısına baktığımızda jeolojik ve jeofizik çalışmalardan elde edilen bilgilere göre bir yeryüzü modeli oluşturulmuştur. Modele göre yerkürenin 70-100 km kalınlığında bir taşküre yani “litosfer” bulunmaktadır. Okyanuslar ve kıtalar burada bulunmaktadır. Diğer bir bölge ise “manto”dur. Manto genelde katıdır; ama yerel bazda sıvı ortamları da vardır. Mantonun altında çekirdek bulunmakta olup demir-nikel karışımına sahiptir. Çekirdeğe gidildikçe sıcaklık artmakta olup enine dalgaların yayılabilmesi için çekirdeğin sıvı olması gerektiği sonucu ortaya çıkmaktadır.
WikimediaLitosferin altında ise “astenosfer” denilen katman bulunmaktadır. Yumuşak üst manto olarak da bilinir. Burada konveksiyon akımları nedeniyle oluşan kuvvetler, taş kabuğu parçalayarak “levha”ları meydana getirmektedir. Bu konveksiyon akımlarının ana nedeni ise radyoaktivitedir. Radyoaktivite arttıkça sıcaklık ve ısı artmakta olup, konveksiyon akımlarına sebep olmaktadır. Bu akımlar, listosferde gerilmelere (stres) sebep olurken zayıf levhaların da kırılmasına yol açar. Dünya’da halen 10 büyük levha ve çok sayıda küçük levha bulunmaktadır. Bu levhalar, astenosferde sal gibi yüzmektedir. Ayrıca insanların hissedemeyeceği bir hıza sahip olup, hareket halindedirler.
Bu konveksiyon akımlarını incelediğimizde, akımların yüksek olduğu yerlerde levhalar birbirlerinden uzaklaşmakta olup, burada magma ile okyanus ortası sırtları oluşmaktadır. Levhalar, hareketli olmaları sebebiyle birbirleriyle sürekli temas halindedirler. Bu temas sırasında sürtünmeler ve sıkışmalar olmakta, sürtünen levhalardan biri aşağı mantoya batmaktadır. Eriyerek gitgide yitme zonlarını oluştururlar. Bu olay ardışıklı şekilde devam etmekte olup etkileşime girdikleri yerler ise deprem bölgeleri olarak adlandırılmaktadır.
Levhaların hareketlerine bakacak olursak, biri diğerinin altına giren iki levha arasında, hareketi engelleyen bir sürtünme kuvveti mevcuttur. Levhanın hareket etmesi ancak bu sürtünme kuvvetinin aşılması sonucunda gerçekleşir.
Sürtünme kuvvetini aşan levhalar sonucu bir hareket meydana gelmekte olup, bu göreli harekete bağlı olarak sarsıntı meydana gelir. Bu sarsıntı çok kısa zaman aralığında gerçekleşir ve “şok” niteliği taşır. Sonuç olarak çok uzak mesafelere ulaşan deprem dalgaları oluşmaktadır. Bu açığa çıkan deprem dalgalarının depremin oluş noktasından uzaklaştıkça enerjisi azalarak yayılır. Yayılma sonucu “fay” denilen arazi kırıkları meydana gelir. Bazen bu arazi kırıkları gözlemlenebilirken bazen de yüzey tabakaları arasında kaldığı için gözlemlenemez.
Depremlerin bu şekilde oluşumu 1911 yılında Amerikalı Reid tarafından incelenmiştir. Reid'in, “Elastik Geri Sekme Kuramı” adını verdiği bu olgu, laboratuvarlarda defalarca denenerek ispatlanmıştır. Bu kurama göre depremler, çoğunlukla deprem sırasında faylarda esnek geri sekmeler şeklinde, yani fayın her iki tarafında ve ters yönlü olmak üzere gerçekleşir.
Deprem Türleri
Depremleri oluş nedenlerine göre sınıflandırırsak, 3 ana gruba ayırabiliriz:
- Tektonik Depremler
- Volkanik Depremler
- Çöküntü Depremleri
İlk gruptaki tektonik depremler, yukarıdaki anlatılan sebeplerden dolayı meydana gelmektedir. Genellikle levha sınırlarında oluşmaktadır. Dünya’daki depremlerin yaklaşık %90’ı bu grupta yer alır. Ülkemizdeki depremler de bu türden depremlerdir.
İkinci gruptaki volkanik depremler, yerin altındaki erimiş maddelerin yeryüzüne çıkarken çıkardıkları gazların fiziksel ve kimyasal olarak patlaması sonucu meydana gelirler. Yerel bazlı depremler olup büyük çapta hasara yol açmazlar. En çok Japonya ve İtalya gibi ülkelerde gözlemlenir.
Son gruptaki çöküntü depremler ise, yer altındaki boşlukların, jipslerin ve kayaçların erimesi sonucu ortaya çıkan depremlerdir. Bunlar da yerel bazlı olup, enerjileri azdır. Büyük çapta hasara yol açmazlar.
Deprem Yasaları
Yukarıda depremin doğası ve türleri hakkında bilgilendirme yaptığımıza göre, işin fiziksel/matematiksel altyapısına artık bir bakış atabiliriz. Bunu da fiziğin alt dalı olan ve birçok bilim dalını etkileyen istatistiksel mekaniğin yöntemleri ile yapacağız.
Deprem olayı, doğal yapısı gereği kaotik bir süreç olup, nonlineer dinamik sistemler altında oldukça yoğun olarak incelenen bir konudur. Bu özelliğinden ötürü de depremleri uzun dönemde yüksek bir kesinlik ile tahmin etmek mümkün olmamaktadır. Bunun detaylarını hava durumu örneği üzerinden, buradaki yazımızda analiz etmiştik.
Guternberg - Richter Yasası
Genel olarak bu yasa, deprem büyüklük dağılımı olarak bilinir. Deprem büyüklüklerine karşılık, meydana gelen deprem sayıları logaritmik olarak çizilir. Bu eşitlik, şu şekilde temsil edilir:
log(N)=a−bM\LARGE{\log(N) = a - bM}
NN parametresi, MM seviyesinden daha büyük depremlerin sayısı olup, aa ve bb, deprem oluşumuna ait fiziksel parametredir. Bu parametrelere detaylı değinmeyeceğiz; ancak ilgili okuyucular, kaynaklar kısmından detaylı bilgi bulabilirler.
Güney Kaliforniya ve Japonya depremleri için deprem büyüklük- sayı grafikleri aşağıdaki gibidir. Deprem verileri, deprem kataloglarından alınmıştır.
:sharpen(0.5,0.5,true)/old%2Fcontent_media%2Fd82c923a98c0a48f7ac78bf0ebba7f4c.png)
:sharpen(0.5,0.5,true)/old%2Fcontent_media%2F98d0e005ea1e04a45803f309384273bd.png)
Omori Yasası
Depremde meydana gelen en büyük şiddet değerine sahip olan deprem, “ana şok” olarak ifade edilir. Bu ana şoktan sonra meydana gelen depremler, ana şoktan küçük ve giderek deprem sayısı bakımından azalma gösterir. Bu depremlere de “artçı şok” denilmektedir.
Ana şoktan sonra artçı şokların sayısı zamanla azalır ve bu azalma, Omori Yasası olarak ifade edilen bir yasayı takip etmektedir. Artçı şokların azalma oranı şu eşitlikle ifade edilebilir:
n(t)=K(t+c)p\LARGE{n(t) = \frac{K}{(t +c)^p}}
Eşitlikteki n(t)n(t), t zaman sonrasındaki artçı şokların sayısı olup, KK, cc ve pp ampirik sabitlerdir.
Güney Kaliforniya’daki 1999 yılında meydana gelen, Richter ölçeğinde 7.10 şiddetine sahip Hector Mine depremi ve 1992 yılında meydana gelen 7.3 şiddetindeki Landers depremi için Omori Yasası aşağıdaki grafiklerdeki gibidir.
:sharpen(0.5,0.5,true)/old%2Fcontent_media%2F7c6f1bff5d4e35d23ced4874bc13c4d5.png)
:sharpen(0.5,0.5,true)/old%2Fcontent_media%2F26a36b37c5d00bda51951870209684d4.png)
Deprem Modelleri
Depremlerin mekanizmalarını açıklamak adına kullanılan fiziksel/matematiksel modellemeler mevcuttur. Bu modellerin amacı eldeki veriler ile birlikte sanal deprem verileri elde edip deprem mekanizmasını tam olarak anlamaya çalışmaktır. Daha ileri seviyede ise deprem vs. gibi kaotik süreçlerin ileriye dönük tahminindeki “hata paylarını” oldukça küçültmeye çalışmak hedeflerden sadece biridir. Bu, yukarıdaki yasalara ek diğer yasalarla birlikte, bu yolda önemli ipuçları barındırmakta olan modelleri bu yazımızda fazla detaya ve matematiğe girmeden değineceğiz.
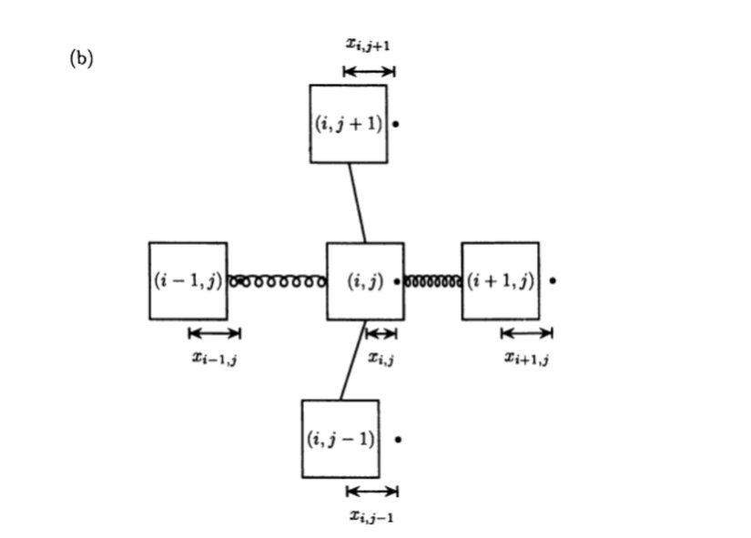
Burridge-Knopoff Modeli
Kronolojik olarak gidersek ilk değineceğimiz model 1967 yılında Burridge-Knopoff tarafından ileri sürülen “Burridge – Knopoff Modeli”dir. Kabaca bu model, yaylı blok model olarak da bilinmektedir. 2 boyutlu olup dinamik bir sistem özelliği barındırır.
:sharpen(0.5,0.5,true)/old%2Fcontent_media%2Ff37fdbec244cd6157c4429ece7b58de8.png)
:sharpen(0.5,0.5,true)/old%2Fcontent_media%2F92d7061966601d13a25fafbbf71eaff0.png)
Modele göre her blok, en yakın 4 komşuya bağlıdır. Bloklar sabit katı bir levhaya sürtünmeli olarak bağlıyken, aynı zamanda da başka bir yay setiyle de tek bir katı tahrik plakaya bağlıdır. İki katı plakanın göreli hareketi nedeniyle bloklar tahrik edilmekte olup, enerji biriktirler. Biriken bu enerji ile, etki eden kuvvet eşik değeri aştığında bloklar kaymaya başlar. Bu böylece diğer bloklara aktarılır. Sonuç olarak deprem dediğimiz stres boşaltımı meydana gelir.
CNM (Coherent Noise Model)
Bu model M. E. J Newman ve Kim Sneppen tarafından oluşturulmuştur. Kabaca, dışarıdan uygulanan, eşzamanlı gürültü (İng: "coherent noise") ile yönlendirilen, basit bir dinamik modeldir. Zaman ortalamalı bir model olup, 1987 yılında Bak, Tang ve Weisenfeld tarafından, sürekli büyüyen kum yığınına kum tanelerinin konmasıyla ortaya çıkan “çığ” etkisine benzer şekilde matematiksel olarak ifade edilir. Ki biz bu sistemlere fizikte “Kendiliğinden Organize Kritiklik” (İng: "Self-Organised Criticality") içeren sistemler diyoruz.
OFC Model (Olami -Feder- Christensen Model)
Bu model ise, Olami – Feder Christensen tarafından 1992 yılında ileri sürülmüştür. CNM’de olduğu gibi, bu model de kendiliğinden organize kritiklik içermektedir. Aslında, ilk olarak değindiğimiz Burridge-Knopoff modelinin, yarıdurgun 2 boyutlu bir versiyonu olarak düşünülebilir.
Diğer Modeller
Deprem mekanizmalarını açıklayan modellerden 3 tanesini inceledik. Elbette bilim insanları tarafından günümüzde kullanılan oldukça farklı modeller de bulunmakta. Ama hepsinin ortak noktası, bu ilk 3 model baz alınarak olguları açıklamak... Yani diğer tüm modellerinin çıkış noktaları, kronolojik olarak bu modellerdir diyebiliriz.
Sakin Kalma Dağılımları
Son olarak değinmemiz gereken ve bu modellerden ortaya çıkan bir dağılım var. "Sakin Kalma Dağılımları" dediğimiz (İng: "Calm-time distributions"), art arda meydana gelen depremler arasındaki sürelerin zamana göre çizildiği grafiklerdir. Kabaca iki olay (bu durumda deprem) arasındaki zamansal dağılım olarak ifade edilir.
Bu ve diğer yasalardan elde edilen grafikler, fizikteki “güç yasası” (İng: "Power Law") formuna uyar. Dolayısıyla depremlerin ve hatta diğer nonlineer dinamik sistemlerin geleceği hakkında oldukça önemli bilgiler verir.
Landers ve Hector Mine depremleri için sakin kalma dağılımlarına ait grafikler aşağıdaki gibidir:
:sharpen(0.5,0.5,true)/old%2Fcontent_media%2Fcde3a1cf1ae75f00056544f6e1be69eb.png)
:sharpen(0.5,0.5,true)/old%2Fcontent_media%2Fc61a1fae8b5b20f071fa65ad203d3cef.png)
Sonuç olarak bu yazımızda depremlerin doğası ve altında yatan mekanizmalara fizik ve matematik açısından genel bir bakış atmış olduk. Geçmişten günümüze doğru bilimsel anlamdaki bu açıklamalarla aslında doğadaki kaotik davranışların Markovyen ve Nonmarkovyen durumları hakkında bir inceleme yaptık. İlgili okuyucular için bu kavramlar hakkında daha teknik ve matematiksel bilgilere kaynaklar kısmından ulaşılabilir.
Evrim Ağacı'nda tek bir hedefimiz var: Bilimsel gerçekleri en doğru, tarafsız ve kolay anlaşılır şekilde Türkiye'ye ulaştırmak. Ancak tahmin edebileceğiniz gibi Türkiye'de bilim anlatmak hiç kolay bir iş değil; hele ki bir yandan ekonomik bir hayatta kalma mücadelesi verirken...
O nedenle sizin desteklerinize ihtiyacımız var. Eğer yazılarımızı okuyanların %1'i bize bütçesinin elverdiği kadar destek olmayı seçseydi, bir daha tek bir reklam göstermeden Evrim Ağacı'nın bütün bilim iletişimi faaliyetlerini sürdürebilirdik. Bir düşünün: sadece %1'i...
O %1'i inşa etmemize yardım eder misiniz? Evrim Ağacı Premium üyesi olarak, ekibimizin size ve Türkiye'ye bilimi daha etkili ve profesyonel bir şekilde ulaştırmamızı mümkün kılmış olacaksınız. Ayrıca size olan minnetimizin bir ifadesi olarak, çok sayıda ayrıcalığa erişim sağlayacaksınız.
Makalelerimizin bilimsel gerçekleri doğru bir şekilde yansıtması için en üst düzey çabayı gösteriyoruz. Gözünüze doğru gelmeyen bir şey varsa, mümkünse güvenilir kaynaklarınızla birlikte bize ulaşın!
Bu makalemizle ilgili merak ettiğin bir şey mi var? Buraya tıklayarak sorabilirsin.
İlgili Sorular
Soru & Cevap Platformuna Git- 68
- 27
- 24
- 19
- 16
- 16
- 15
- 8
- 6
- 4
- 3
- 3
- A. Kocabaldır. (Lisans Tazi, 2019). Depremlerin İstatistiksel Mekaniksel İncelenmesi. Not: Danışman: Dr. Öğr. Üyesi Ahmet Çelikoğlu.
- R. Guternberg, et al. (1944). Frequency Of Earthquakes In California. Bulletin of the Seismological Society of America, sf: 185-188. | Arşiv Bağlantısı
- M. Ishomoto, et al. (1939). Observations Of Earthquakes Registered With The Microseismograph Constructed Recently. Bulletin of Earthquake Res. Inst., sf: 443-478. | Arşiv Bağlantısı
- T. Utsu. (1957). Magnitudes Of Earthquakes And Occurrence Of Their Aftershocks. Zisin, Ser.2,10, sf: 35-45. | Arşiv Bağlantısı
- M. Newman, et al. (1996). Avalanches, Scaling And Coherent Noise. Physical Review E V. | Arşiv Bağlantısı
- K. Christensen, et al. (2005). Complexity And Criticality. ISBN: 978-1864145175. Yayınevi: Imperial College Press Advanced Physics Texts.
- S. Abe, et al. (2009). Violation Of The Scaling Realtion And Non-Markovian Nature Of Earthquake Afterschocks. Physica A: Statistical Mechanics and its Applications, sf: 1917-1920. | Arşiv Bağlantısı
Evrim Ağacı'na her ay sadece 1 kahve ısmarlayarak destek olmak ister misiniz?
Şu iki siteden birini kullanarak şimdi destek olabilirsiniz:
kreosus.com/evrimagaci | patreon.com/evrimagaci
Çıktı Bilgisi: Bu sayfa, Evrim Ağacı yazdırma aracı kullanılarak 09/02/2026 15:29:22 tarihinde oluşturulmuştur. Evrim Ağacı'ndaki içeriklerin tamamı, birden fazla editör tarafından, durmaksızın elden geçirilmekte, güncellenmekte ve geliştirilmektedir. Dolayısıyla bu çıktının alındığı tarihten sonra yapılan güncellemeleri görmek ve bu içeriğin en güncel halini okumak için lütfen şu adrese gidiniz: https://evrimagaci.org/s/8936
İçerik Kullanım İzinleri: Evrim Ağacı'ndaki yazılı içerikler orijinallerine hiçbir şekilde dokunulmadığı müddetçe izin alınmaksızın paylaşılabilir, kopyalanabilir, yapıştırılabilir, çoğaltılabilir, basılabilir, dağıtılabilir, yayılabilir, alıntılanabilir. Ancak bu içeriklerin hiçbiri izin alınmaksızın değiştirilemez ve değiştirilmiş halleri Evrim Ağacı'na aitmiş gibi sunulamaz. Benzer şekilde, içeriklerin hiçbiri, söz konusu içeriğin açıkça belirtilmiş yazarlarından ve Evrim Ağacı'ndan başkasına aitmiş gibi sunulamaz. Bu sayfa izin alınmaksızın düzenlenemez, Evrim Ağacı logosu, yazar/editör bilgileri ve içeriğin diğer kısımları izin alınmaksızın değiştirilemez veya kaldırılamaz.