Canlılarda Kaos: Popülasyon Sayısının Zamana Göre Değişimi ve Kaotiklik
Biyolojik Popülasyonların Matematiksel Modelleri, Kaosa Giden Yol ile İlgili Bize Neler Öğretebilir?

Bu Makalede Neler Öğreneceksiniz?
- Highlight R. M. May's 1970s mathematical model demonstrating chaotic population growth behavior in biological systems, published in Nature in 1976.
- Explain the example of mayflies to show how population numbers change over discrete time periods, illustrating chaos in living organisms.
- Emphasize the significance of discovering chaos not only in complex equations but also within biological populations, marking a key point for chaotic systems study.
Bu yazımızda kaotik sistemlere örnek vermeye devam edeceğiz. Önceki yazımızda fiziksel bir örnek olan elektronik sistemlerde kaosu incelemiştik. Şimdi ise başka bir disiplin olan biyolojiden, kaotik davranış sergileyen, bir canlı grubuna ait popülasyondaki büyümede meydana gelen kaotikliği ele alacağız.
Biyolojik sistemlerde kaotikliği ilk defa inceleyen, biyolog R. M. May’dir. Kendisi 1970’lerin ortasında kompleks/ karmaşık davranış sergileyen biyolojik sistemlerin matematiksel bir modelini oluşturmuştur. Popülasyondaki canlıların sayısını zamana göre değişimini incelemiş ve 1976 yılında bunu bir makale olarak Nature dergisinde yayınlamıştır. Bu olay, aslında kaotik sistemlerin ilgiyi çekmeye başladığı bir dönüm noktasıdır. Çünkü basit ve karmaşık denklemlere sahip olmayan sistemlerde de hatta canlı maddelerde de kaotikliğin olabileceği ortaya konulmuştur.

Şimdi bu modeli tanıyalım: Herhangi bir canlı türü seçelim, mesela mayıs sineklerini (İng “Mayflies”) ele alalım. Bu sinek popülasyonundaki bireyler aynı zaman dilimlerinde (İng “Season”) doğup ölüyor. İlk baştaki sinek sayısına N0N_0 diyelim. Bir yıl sonraki sinek sayısına N1N_1 dersek, bu N1N_1 sayısı, ilk baştaki sinek sayısı olan N0N_0 ile doğrudan ilişkilidir. O halde bir yıl sonraki popülasyondaki sinek sayısı:
N1=A.N0\LARGE{N_1=A.N_0} (Denklem 1)
olacaktır. Buradaki AA katsayısı çevre koşullarına (besin kaynağı, su, genel iklim şartları vs.) bağlı bir sayıdır. Eğer ki bu AA katsayısı 1’den büyük olursa (1">A>1A>1 ) popülasyondaki sinek sayısı artacaktır. Eğer AA, 1’den küçük olursa (A<1A<1 ) popülasyondaki sinek sayısı azalacaktır. AA katsayısının uzun zaman dilimleri boyunca (diğer alt nesiller boyunca) 1’den büyük olması (1">A>1A>1 ), popülasyondaki sinek sayısında aşırı artışa sebep olur ve buna “Maltusyen Popülasyon Patlaması” (İng “Malthusian Populaiton Explosion”) deriz. İkinci durumda (A<1A<1 ) ise sinek popülasyonu giderek azalır ve yok olur.
Şimdi ise şöyle devam edelim. Eğer ki sinek popülasyonu oldukça artarsa, çevredeki besin kaynakları bu popülasyonu doyurmaya yetmeyecektir ve ölümler başlayacaktır. Ya da çevredeki avcıların, fazla sayıdaki bu sinekleri avlamaları daha da kolaylaşacaktır. Yani her iki durumda da popülasyondaki sinek sayısı azalacaktır. O halde yukarıda yazdığımız denklemi buna uyarlarsak, bir yıl sonraki sinek popülasyonunun sayısı
N1=AN0−B(N02)\LARGE{N_1 = AN_0 - B(N_0^2)} (Denklem 2)
olacaktır.
BB katsayısı popülasyonu azaltan çevre koşullarına ait katsayıdır. Bu denklemi yorumladığımızda eğer ki BB katsayısı, AA katsayısından çok çok küçükse (B<<A)(B<<A) ikinci terim (B(N02))(B(N_0^2)) ihmal edilebilir. Artık diğer yıllara ait sinek popülasyonunun sayısı ise şu şekilde hesaplanabilir:
N2=AN1−B(N12)\LARGE{N_2=AN_1-B(N_1^2)} (denklem 3)
N3=AN2−B(N22)\LARGE{N_3=AN_2-B(N_2^2) } (denklem 4)
Evrim Ağacı'nın çalışmalarına Kreosus, Patreon veya YouTube üzerinden maddi destekte bulunarak hem Türkiye'de bilim anlatıcılığının gelişmesine katkı sağlayabilirsiniz, hem de site ve uygulamamızı reklamsız olarak deneyimleyebilirsiniz. Reklamsız deneyim, sitemizin/uygulamamızın çeşitli kısımlarda gösterilen Google reklamlarını ve destek çağrılarını görmediğiniz, %100 reklamsız ve çok daha temiz bir site deneyimi sunmaktadır.
KreosusKreosus'ta her 50₺'lik destek, 1 aylık reklamsız deneyime karşılık geliyor. Bu sayede, tek seferlik destekçilerimiz de, aylık destekçilerimiz de toplam destekleriyle doğru orantılı bir süre boyunca reklamsız deneyim elde edebiliyorlar.
Kreosus destekçilerimizin reklamsız deneyimi, destek olmaya başladıkları anda devreye girmektedir ve ek bir işleme gerek yoktur.
PatreonPatreon destekçilerimiz, destek miktarından bağımsız olarak, Evrim Ağacı'na destek oldukları süre boyunca reklamsız deneyime erişmeyi sürdürebiliyorlar.
Patreon destekçilerimizin Patreon ile ilişkili e-posta hesapları, Evrim Ağacı'ndaki üyelik e-postaları ile birebir aynı olmalıdır. Patreon destekçilerimizin reklamsız deneyiminin devreye girmesi 24 saat alabilmektedir.
YouTubeYouTube destekçilerimizin hepsi otomatik olarak reklamsız deneyime şimdilik erişemiyorlar ve şu anda, YouTube üzerinden her destek seviyesine reklamsız deneyim ayrıcalığını sunamamaktayız. YouTube Destek Sistemi üzerinde sunulan farklı seviyelerin açıklamalarını okuyarak, hangi ayrıcalıklara erişebileceğinizi öğrenebilirsiniz.
Eğer seçtiğiniz seviye reklamsız deneyim ayrıcalığı sunuyorsa, destek olduktan sonra YouTube tarafından gösterilecek olan bağlantıdaki formu doldurarak reklamsız deneyime erişebilirsiniz. YouTube destekçilerimizin reklamsız deneyiminin devreye girmesi, formu doldurduktan sonra 24-72 saat alabilmektedir.
Diğer PlatformlarBu 3 platform haricinde destek olan destekçilerimize ne yazık ki reklamsız deneyim ayrıcalığını sunamamaktayız. Destekleriniz sayesinde sistemlerimizi geliştirmeyi sürdürüyoruz ve umuyoruz bu ayrıcalıkları zamanla genişletebileceğiz.
Giriş yapmayı unutmayın!Reklamsız deneyim için, maddi desteğiniz ile ilişkilendirilmiş olan Evrim Ağacı hesabınıza üye girişi yapmanız gerekmektedir. Giriş yapmadığınız takdirde reklamları görmeye devam edeceksinizdir.
genelleştirirsek eğer;
Nn+1=ANn−B(Nn2)\LARGE{N_{n+1} = AN_n-B(N_n^2)} (denklem 5)
olacaktır.
Buradan olası maksimum popülasyon sayısı;
Nm=AB\LARGE{N^m = \frac{A}{B}} (denklem 6)
bulunur.
Herhangi bir yıla ait sinek popülasyon sayısını, olası maksimum sinek popülasyon sayısına oranlarsak
NnNm=xn\LARGE{\frac{N_n}{N^m} = x_n} (denklem 7)
ifadesi ortaya çıkar. Yani bu bize herhangi bir yıldaki sinek sayısını oransal olarak (xnx_n) (İng: “fraction of Nmax") verir. Buradaki xx sayısının, modelin daha anlamlı olabilmesi için 0 ve 1 aralığında olması gerekir. Yani: 0<x<10<x<1
O halde bu denklemi genelleştirirsek sinek popülasyonunun herhangi bir yıldaki sayısı (oranı)
x(n+1)=Axn(1−xn)\LARGE{x_{(n+1)} = Ax_n(1-x_n)} (denklem 8)
olacaktır.
Artık popülasyon sayısını veren ifadeye sahip olduğumuza göre, işlemleri sadeleştirmek için fonksiyon haline getirebiliriz:

fA(x)=x(n+1)\LARGE{f_A (x)=x_{(n+1)}} (denklem 9)
İşte her şey burada başlıyor. Yukarıdaki 9 numaralı denklem bize popülasyondaki kaotikliği verecek olan ifade. Buradaki fAf_A fonksiyonuna biz “iterasyon fonksiyonu” (İng: “iteration function”) diyoruz. Çünkü xx olarak tanımladığımız alt nesillere ait popülasyon oranını, bu fAf_A fonksiyonunu tekrarlayarak (İng: “iterating”) elde ediyoruz. Aynı zamanda tarihsel nedenlerden ötürü bu ifade “lojistik harita" (İng: "logistic map") fonksiyonu olarak da adlandırılır.
Matematiksel Modelin Çalışması
Artık 9 numaralı iterasyon fonksiyonu ile sinek popülasyon sayısını, çevre koşulları olan A katsayısına bağlı şekilde uzun dönemli olarak bulabiliriz. Sistemi, AA katsayısının değişik değerlerine (0≤A≤40 \le A \le 4 ) bağlı olarak inceleyeceğiz, yani çevre koşullarıyla oynayarak. Bunun sonucunda sinek sayısındaki meydana gelen değişimi görmüş olacağız. Modelin işleyişi şöyle olacak:
Başlangıç için 0 ve 1 arasında herhangi bir sinek popülasyon sayısı (x0x_0) seçeceğiz. Böylelikle 1 yıl sonundaki sayıyı (x1x_1), 2 yıl sonundaki sayıyı (x2x_2) ve bu şekilde devam ederek döngüsel bir şekilde hesaplayarak istenilen herhangi yıla kadar popülasyon sayısını bulacağız.
x1=fA(x0),x2=fA(x1),x3=fA(x2),...\LARGE{x_1=f_A(x_0), x_2=f_A(x_1), x_3=f_A(x_2),...}
Böylelikle elimizde başlangıçtaki popülasyon sayılarına (xx ) karşılık bir sonraki yılın popülasyon sayıları (fA(x)f_A(x)) olacak. Bunları da grafik haline getirip inceleyeceğiz.
Sabit Noktalar (Fixed Points) ve Yörüngeler (Trajectories)
Modelimizi çalıştırmadan önce "yörünge" (İng: “trajectory, orbit”) kavramına değinmeliyiz. Çeşitli xx değerlerine karşılık elde edeceğimiz fAf_A değerlerinin zamana göre çizdiğimizde ortaya çıkan şekle “yörünge” denir.
Sabit nokta (x∗x^*) (İng: “fixed point”) ise modeli çeşitli xx değerlerinde başlatsak dahi, popülasyondaki sinek sayısının eninde sonunda hep aynı değere ulaştığı değerlere, "sabit nokta" denir. Bu sabit nokta, çevre koşullarını ifade eden AA katsayına doğrudan bağlı olup, başlangıçtaki popülasyon sayısı (xx) ile bir ilgisi yoktur.
Şimdi modelimizi başlatalım. Çeşitli başlangıç popülasyon sayısı (x0x_0 ) seçeceğiz.
0<x0<1\LARGE{0<x_0<1}
Öncelikle x0=0x_0=0 seçilirse bir sonraki yıla ait sinek sayısı fA(x0)=0f_A(x_0)=0 olduğu gözlenir. Dolayısıyla x=0x=0 değeri bizim için sabit noktadır (İng: “fixed point").
Lojistik harita (denklem 9) için, sabit noktalar genellikle (ama her zaman değil) iki tanedir:
xA∗=0\LARGE{{x_A}^* = 0}
xA∗=1−(1/A)\LARGE{{x_A}^* = 1-(1/A)} (denklem 10)
ifadeleriyle bulunur.
O halde yukarıdaki ifadeden şunu anlayabiliriz: Eğer A<1A<1 ise bir sabit noktamız var ve xA∗=0{x_A}^*=0 dır. Ama 1">A>1A>1 ise, iki farklı sabit noktamız olur ilki xA∗=0{x_A}^*=0 , diğeri ise xA∗=1−(1/A){x_A}^* = 1-(1/A) olacaktır.

Bu grafik çeşitli A değerlerine (A=1,A=2,A=3,A=4A=1, A=2, A=3, A=4 ) karşılık sinek popülasyonunu vermektedir. Mavi ile gösterilen (y=xy=x) doğrusunun, siyahla çizilen çizgilerle kesistikleri yerler sabit noktalardır.
Sabit Noktaların (Fixed Points) Önemi
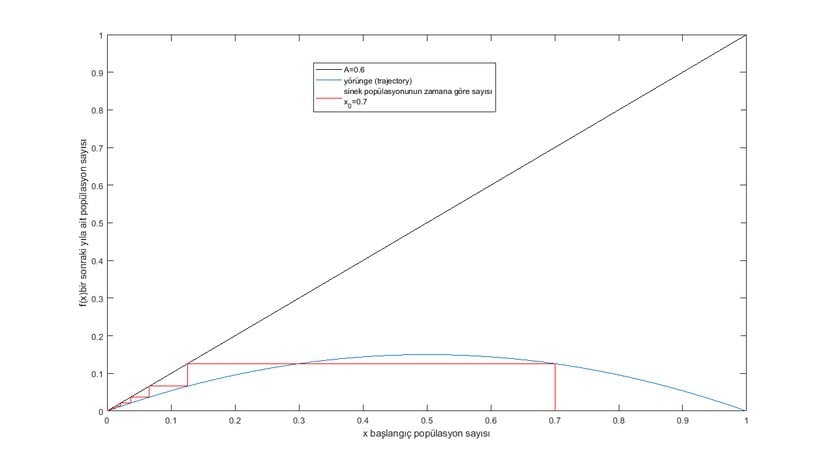
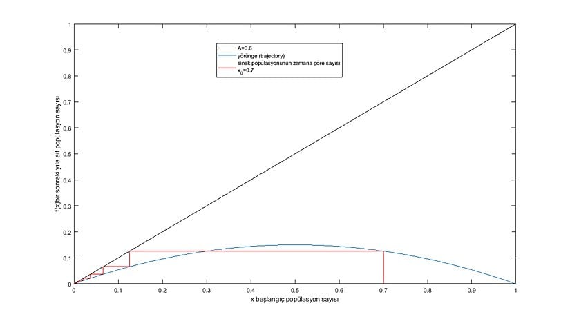
Şimdi, başlangıç değerimizi x0=0.7x_0=0.7 olarak ve çevre koşullarını belirten katsayımızı A=0.6A=0.6 alalım. Sinek populasyonunun zamana göre sayısındaki değişimini inceleyelim. Artık biliyoruz ki A<1A<1 olduğu için tek bir sabit noktamız var o da xA∗=0{x_A}^*=0 dır. Yani popülasyon sayısı, denklem 10’a göre eninde sonunda sıfır olmalı (fA(x0)=0f_A(x_0)=0 ) . Gerçekten de 0 olacak mı bakalım:

Grafikteki kırmızı çizgi sinek popülasyonunun zamana göre sayısını göstermektedir. x0=0.7x_0 = 0.7'den başlayıp popülasyon sayısı en son 0'a varmaktadır. Yani sabit noktaya...

Yani popülasyon sayısı artık 10. yıldan itibaren 0'a (sabit noktaya) düşmüştür.
Dolayısıyla bütün yörüngeler (başlangıç değeri 0<x0<10<x_0<1 ve A<1A<1 için) eninde sonunda son değer olan 0 değerine ulaşacaktır. Yani biz x=0x=0 değerine “çekici” (İng: “attractor”) diyebiliriz. Çünkü bütün değerler en son ona ulaşacağı için o nokta çekicidir. Devam edersek eğer 0≤x≤10\le x \le 1 aralığına ise "çekici havzası/bölgesi" (İng: “basin of attractor”) denebilir. Yani bu aralıktaki tüm değerler, iterasyon saysı arttıkça x=0x=0 son değerine ulaşacaktır.
Peki biyolojik olarak çekici noktası olan x=0x=0 noktası ne anlama geliyor? Cevap net: x=0x=0 noktası, o popülasyonun yok olacağı anlamına gelir. Yani sinekler için üzücü bir durum bu.
Popülasyon Sayısındaki Karmaşıklık ve Kaosa Giden Yol
Bir sonraki yıla ait sinek popülasyonunun sayısının çevre koşullarına (A katsayısına) sıkıca bağlı olduğunu anladığımıza göre, bu A katsayısını 1 değerinden daha da büyük değerlerde seçersek, sinek popülasyon sayısı zamana göre nasıl değişir?
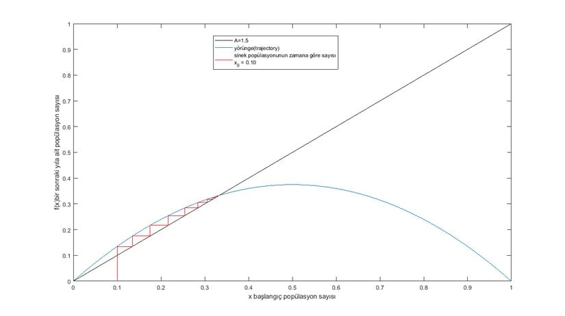
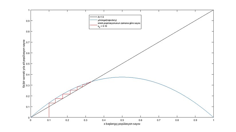
O halde deneyelim: Başlangıçtaki sinek popülasyon sayımız x0=0.10x_0=0.10 ve çevre koşulları katsayısı olan A=1.5A= 1.5 olsun. Popülasyonun zaman içindeki sayısını grafiksel olarak inceleyelim.

Kırmızı çizgiye bakarsak başlangıç değerimiz olan x0=0.10x_0 = 0.10 değerinden, popülasyonun sayısı f(x0)=0.33f(x_0)=0.33 değerine ulaşıp orada sabit kalmıştır (Bknz: Grafik-5). Bu değer 0'dan başka bir sabit noktadır.

Yukarıdaki grafikten de anlaşılacağı üzere iki adet sabit noktamız var: ilki xA∗=0{x_A}^*=0 ve ikincisi xA∗=1−(1/A)=1/3=0.33{x_A}^*=1-(1/A)=1/3=0.33 olur. Yorumlarsak eğer popülasyon sayısı sabit nokta olan fA(xA∗)=1/3f_A({x_A}^*)=1/3 noktasına ulaşmaktadır. Peki diğer sabit nokta olan xA∗=0{x_A}^*=0 noktası ne oldu? Açıklama şu, bu sabit nokta kendisine yaklaşan bütün değerleri kendisinden uzaklaşmaktadır, yani itmektedir. Bu nedenle xA∗=0{x_A}^*=0 noktası artık “itici sabit nokta” (İng: “repelling fixed point”) olarak adlandırılır.
Peki A katsayısını 3’ten birazcık büyük alırsak (A=3.1A=3.1) sinek popülasyonundaki sayı ne olur? Hemen deneyelim. O halde başlangıç popülasyon sayımızx0=0.25 x_0=0.25 ve A=3.1A=3.1 seçilirse, sinek popülasyonunun zamana göre sayısı şu şekilde ortaya çıkar:

Tablodan da görüldüğü üzere yörünge yani popülasyon sayısı tek bir çekici değerine (İng: “attracting value”) oturmaz. Bu değerler arasında (x=0.558x=0.558 ... ve x=0.764x=0.764 ...) ileri geri sanki bir salınım yapar.
Bunun biyolojik açıdan anlamı nedir? Eğer popülasyonun bir önceki yıla ait sayısı yüksekse, gelecek yıl azalacaktır,sonraki yıl tekrardan artarken, diğer yıl yine azalacaktır. Dolayısıyla popülasyon sayısı her 2 yılda 1 aynı değere gelecektir.
Bu durumu bir önceki yazımızda elektronik devrelerde açıklamıştık. Biz bu duruma “periyot-2 davranışı” diyoruz. O halde A=3A=3 için, sistem "periyot-katlama çatallanması" (İng: “period-doubling bifurcation”) meydana getirir. Yani A<3A<3 değerinin olduğu her durumda sistem tek bir çekici noktaya ( x=1−(1/A)x=1-(1/A) ) sahip olacaktır.

Kırmızı çizgiler sinek popülasyonunun sayısını göstermektedir. Bu sayı iki değer arasında bir salınım yapmaktadır (Bknz: Grafik-7).

Peki A katsayısını biraz daha arttırsak (A=3.45A=3.45) ne olacak? Bu durumda artık bir periyot-katlama davranışı daha olur ve 4 tane çekici noktası elde ederiz.
(x=0.852,x=0.433,x=0.847,x=0.447x=0.852, x=0.433, x=0.847, x=0.447 ).
Dolayısıyla bunun anlamı şudur: Popülasyon sayısı her 4 yılda 1 aynı degeri gösterir. Ki bu davranışa “periyot-4 davranışı” deriz.


Kırmızı ile gösterilen çizgiler sinek popülasyonun sayısı ve bu popülasyonun sayısı 4 çekici nokta etrafında salınım yapmakta. Yani 4 yılda 1 aynı değeri almakta (Daha detaylı bilgi için Bknz: Grafik-10).

A katsayısı daha da arttıkça sırayla “periyot-8 davranışı” yani her 8 yılda 1 aynı değeri alan, “periyot-16 davranışı” yani her 16 yılda 1 aynı değeri alan ... durumlar ortaya çıkar ve bu böylece devam eder... Bu periyot katlamalar birbirini düzenli olarak tekrarlar yani sistemin (popülasyonun) davranışı “periyodik”tir.
Popülasyon Sayısındaki Kaos ve Aperiyodiklik
Ama A=3.5699A=3.5699 ... olduğunda sistem artık periyodikliğini kaybedip “aperiyodik” davranışlar, yani birbirini tekrar etmeyen davranışlar gösterir. İşte artık bundan sonra sistem, yani sinek popülasyonu kaotikleşir, karmaşıklaşır. Kaos baş gösterir. Dolayısıyla popülasyon sayısında herhangi bir düzen “periyodiklik” bulunmaz. Tamamen aperiyodik olup, kaos meydana gelir.
İşte can alıcı nokta! Yani uzun vadede sinek popülasyonun sayısını kesin olarak bilemezsiniz (yukarıdaki örneklerde olduğu gibi), sadece olasılıklar vardır artık!

Kırmızı çizgiler artık belirli bir düzen içermemektedir ve artık sinek popülasyonunun sayısı kaotiktir ve karmaşık hal almıştır. Yani bir periyodiklik yoktur. Tamamen aperiyodiktir.

Lojistik Map için Çatallanma Diyagramı (Bifurcation Diagram for Logistic Map)
Sonuç olarak sinek popülasyonunun, çevre koşulların (A katsayısının ) değişimine bağlı olarak çizdiğmizde şunu elde ederiz:

Bu diyagram A katsayısının çeşitli durumları için çatallanmayı göstermektedir. A<1A<1 için x=0x=0 noktası çekici nokta iken, 1<A<31<A<3 için çekici nokta x=1−(1/A)x = 1-(1/A) olur. A=3A=3 değerinde periyot-2 davranışı başlar. Böylece A arttıkça periyot-katlama davranışları meydana gelir. A=3.5699...A=3.5699... dan itibaren kaotiklik başlar ve sistemin davranışı bu değere kadar "periyodik" iken, artık "aperiyodik" olur ve asla birbirini tekrar etmez.
Artık tamamen raslantısallık baş gösterir.
Evrim Ağacı'nda tek bir hedefimiz var: Bilimsel gerçekleri en doğru, tarafsız ve kolay anlaşılır şekilde Türkiye'ye ulaştırmak. Ancak tahmin edebileceğiniz gibi Türkiye'de bilim anlatmak hiç kolay bir iş değil; hele ki bir yandan ekonomik bir hayatta kalma mücadelesi verirken...
O nedenle sizin desteklerinize ihtiyacımız var. Eğer yazılarımızı okuyanların %1'i bize bütçesinin elverdiği kadar destek olmayı seçseydi, bir daha tek bir reklam göstermeden Evrim Ağacı'nın bütün bilim iletişimi faaliyetlerini sürdürebilirdik. Bir düşünün: sadece %1'i...
O %1'i inşa etmemize yardım eder misiniz? Evrim Ağacı Premium üyesi olarak, ekibimizin size ve Türkiye'ye bilimi daha etkili ve profesyonel bir şekilde ulaştırmamızı mümkün kılmış olacaksınız. Ayrıca size olan minnetimizin bir ifadesi olarak, çok sayıda ayrıcalığa erişim sağlayacaksınız.
Makalelerimizin bilimsel gerçekleri doğru bir şekilde yansıtması için en üst düzey çabayı gösteriyoruz. Gözünüze doğru gelmeyen bir şey varsa, mümkünse güvenilir kaynaklarınızla birlikte bize ulaşın!
Bu makalemizle ilgili merak ettiğin bir şey mi var? Buraya tıklayarak sorabilirsin.
Soru & Cevap Platformuna Git- 10
- 7
- 4
- 4
- 2
- 2
- 1
- 1
- 1
- 1
- 0
- 0
- R. C. Hilborn. (2001). Chaos And Nonlinear Dynamics - Second Edition. ISBN: 978-0198507239. Yayınevi: Oxford University Press.
- R. M. May. (1976). Simple Mathematical Models With Very Complicated Dynamics. Nature, sf: 459-467. | Arşiv Bağlantısı
Evrim Ağacı'na her ay sadece 1 kahve ısmarlayarak destek olmak ister misiniz?
Şu iki siteden birini kullanarak şimdi destek olabilirsiniz:
kreosus.com/evrimagaci | patreon.com/evrimagaci
Çıktı Bilgisi: Bu sayfa, Evrim Ağacı yazdırma aracı kullanılarak 21/10/2025 18:59:07 tarihinde oluşturulmuştur. Evrim Ağacı'ndaki içeriklerin tamamı, birden fazla editör tarafından, durmaksızın elden geçirilmekte, güncellenmekte ve geliştirilmektedir. Dolayısıyla bu çıktının alındığı tarihten sonra yapılan güncellemeleri görmek ve bu içeriğin en güncel halini okumak için lütfen şu adrese gidiniz: https://evrimagaci.org/s/8270
İçerik Kullanım İzinleri: Evrim Ağacı'ndaki yazılı içerikler orijinallerine hiçbir şekilde dokunulmadığı müddetçe izin alınmaksızın paylaşılabilir, kopyalanabilir, yapıştırılabilir, çoğaltılabilir, basılabilir, dağıtılabilir, yayılabilir, alıntılanabilir. Ancak bu içeriklerin hiçbiri izin alınmaksızın değiştirilemez ve değiştirilmiş halleri Evrim Ağacı'na aitmiş gibi sunulamaz. Benzer şekilde, içeriklerin hiçbiri, söz konusu içeriğin açıkça belirtilmiş yazarlarından ve Evrim Ağacı'ndan başkasına aitmiş gibi sunulamaz. Bu sayfa izin alınmaksızın düzenlenemez, Evrim Ağacı logosu, yazar/editör bilgileri ve içeriğin diğer kısımları izin alınmaksızın değiştirilemez veya kaldırılamaz.