Kelebek Etkisi Nedir? Hava Durumu Tahminleri Uzun Dönemde Neden Tutmuyor?
Afrika'da Kanat Çırpan Bir Kelebek, Amerika'da Fırtına Yaratabilir mi?

- Özgün
- Kaos Teorisi
Bu Makalede Neler Öğreneceksiniz?
- Define the butterfly effect as small changes in initial conditions causing unpredictable and large outcomes within a system.
- Explain Edward Norton Lorenz's discovery of the butterfly effect through his weather model experiment with slightly altered initial data.
- Describe Lorenz attractor as Lorenz's graphical model illustrating chaotic systems where minor changes produce vastly different results.
Kelebek etkisi, en basit tanımla, bir sistemin başlangıç verilerinde küçük değişiklikler yapıldığında öngörülemez ve büyük sonuçların doğabilmesidir.
Kelebek etkisi denince herkesin aklına matematikçi, meteorolog ve aynı zamanda kaos teorisine çok büyük katkıları olan Amerikalı Edward Norton Lorenz'in (23 Mayıs 1917 - 16 Nisan 2008) verdiği analoji örneği gelir: Amazon Ormanları'nda bir kelebeğin kanat çırpması, ABD'de bir fırtınanın kopmasına neden olabilir. Daha sonra bu örneğin başka birçok farklı versiyonu karşımıza çıkmıştır.
"Kelebek Etkisi" Fikri Nasıl Doğdu?
Lorenz, hava durumu tahminini modellemek için yaptığı bir deneyde, başlangıç verisini 0.506127 yerine 0.506 olarak girdiğinde çok farklı bir sonuç oluşmuştu. Lorenz bu deneyden yola çıkarak ilk koşullardaki küçük bir değişikliğin muazzam ve uzun vadeli sonuçlar doğurabileceği sonucunu çıkardı. 1963 yılında, Deterministic Nonperiodic Flow (Periyodik Olmayan Deterministik Akıntı) adlı ödüllü makalesinde şunları yazar:
Eşsizliğin, sürekliliğin ve sınırlılığın koşullarına bağlı olarak; merkezi bir yörünge, bir anlamda geçici özelliklere sahip olmayan bir yörünge, periyodik değilse sabit de değildir. Merkezi olmayan bir yörünge; eğer periyodik değilse düzgün bir şekilde sabit değildir ve eğer sabit ise, sabitliği zaman ilerledikçe yok olma eğiliminde olan geçici özelliklerinden biridir. Başlangıç koşullarının tam olarak ölçülmesinin imkansızlığı ve dolayısıyla merkezi bir yörünge ile yakındaki merkezi olmayan bir yörünge arasında ayrım yapmanın imkansızlığı göz önüne alındığında, tüm periyodik olmayan yörüngeler pratik tahmin açısından etkin olarak sabit değildir.
Lorenz hava durumu tahmini modellerinin yanlış olduğunu, başlangıç koşullarını bilmenin imkansız olduğunu ve küçük bir değişimin sonuçları çok fazla değiştirebileceğini ortaya koydu. Kavramı anlaşılabilir kılmak için Lorenz kelebek analojisini kullanmaya başladı ve Lorenz çekeri (ya da çekicisi) diye adlandırdığı grafiksel modeli oluşturdu. Bu çekeri oluşturmak için üç basit denklem kullandı ve bu denklemlerde yaptığı en ufak değişikliklerin bile çok farklı sonuçlara ulaştığını gördü. Bu da başlangıç koşullarının ne kadar etkili olduğunu gösterdi. Daha sonra başka çekerler de oluşturuldu ("Rössler Çekeri" ve "Hénon Çekeri" gibi). Lorenz bu model ile kaos teorisine en büyük katkılarından birini yapmıştır. Çekerler kaotik sistemleri anlamamızı sağlar, yani kaosun matematiksel olarak vücut bulmuş halidir. Çekerlere baktığımızda karmaşıklıktan bir düzenin doğduğunu görürüz ve kaos teorisini açıklamak için sıklıkla kullanırız.


Kelebek etkisini tam olarak anlayabilmek için kaos teorisini anlamak gerekir. Aralarındaki ilişkiyi bir analoji ile açıklayabiliriz: Eğer kaos teorisini yan yana dizilmiş domino taşları olarak düşünürsek, kelebek etkisi birinci taşa dokunulmasıdır. Kaos teorisi, sürprizlerin, doğrusal olmayan ve öngörülemeyenlerin bilimidir. Doğal bilimlerin çoğu fiziksel ve kimyasal reaksiyonlar gibi tahmin edilebilecek olaylarla uğraşırken; kaos teorisi, türbülans, hava durumu, borsa gibi önceden tahmin edilemeyen ve kontrol etmenin imkansız olduğu doğrusal olmayan olaylarla ilgilenir. Kaos teorisi fraktal geometri ile açıklanabilir; çünkü temellerinde yatan mantık aynıdır.
Fraktal geometri, doğanın geometrisidir. Doğayı daha iyi anlayabilmemizi sağlar. 20. yüzyıla kadar Öklid geometrisi kullanılmıştır. Doğrusal şekiller, üçgenler, dikdörtgenler ve karelerle doğayı açıklamamız mümkün olmayınca fraktal geometri doğmuştur. Doğadaki ağaçlar, nehirler, bulutlar vs. fraktal şekiller oluştururlar ve doğadaki olaylar kaotik davranışlar sergiler. Doğayı anlayabilmek için fraktal geometriyi ve kaos teorisini anlamak gerekir. Fraktal terimi ilk defa Polonya asıllı matematikçi Benoit Mandelbrot (1924-2010) tarafından 1975 yılında ortaya atılmıştır. Fraktallar, büyükten küçüğe birbirine benzeyen birçok geometrik şeklin oluşturduğu, sonsuzluğa doğru giden, kompleks ve göz kamaştırıcı şekillerdir. Mandelbrot’un geliştirdiği Mandelbrot kümesi, sanal karmaşık sayıların kullanılmasıyla elde edilen fonksiyonları bilgisayar ortamında muhteşem fraktallara dönüştürülebilen kümedir.


Kelebek Etkisine Yönelik Teknik Bir Analiz
Bu kısımda, yukarıda buraya kadar daha popüler bir dille anlattığımız konuyu biraz daha teknikleştireceğiz ve bahsettiğimiz bazı noktaları sayılar olarak analiz edeceğiz.
Öncelikle, basit bir tanımla başlayalım: Akışkanlar mekaniği, durgun olmayan sıvı ve gaz moleküllerinin hareketini ve birbirleri ile olan etkileşimlerini inceleyen bir çalışma alanıdır. Atmosfer olayları da kabaca havadaki gaz moleküllerinin dış etkilerden (sıcaklık, basınç, nem, vs.) kaynaklanması ile olmaktadır. Bu olguları ve atmosferdeki kaotikliği incelemeye geçmeden önce "geometrikleştirme" kavramına değinmek gerekli. Geometrikleştirmeyi David Ruelle, Raslantı ve Kaos kitabının 56. sayfasında şöyle anlatıyor:
Matematik formüller ve teroremlerin yanısıra birtakım kavramları da içerir. Bunların arasında en yaygın olanlardan biri de “geometrikleştirme” kavramıdır. Bu kavram, akla gelebilecek her şeyin bir uzayın noktaları olarak görülmesidir. Geometrikleştirmenin bir avantajı da tek bir birimler sistemine bağlı olmak zorunda olmayışınızdır.
Fizikçiler, fiziksel olayları daha anlaşılabilir hale getirmek için sık sık formüllerden çıkan sonuçları bir grafiğe dökerler. Böylelikle maddenin zamana göre evrimini daha net halde görmüş olurlar. Örneğin herhangi bir cismin zamana göre konumunu veren bir grafik yardımıyla, cismin hareketini daha anlaşılır bir hale getirebilirsiniz - ki bu işlem o cisme ait "durum uzayı"nı (İng: "state space") verir.
Durum uzayını ve geometrikleştirme kavramını bu alanda uygulayan ilk bilim insanlarından biri Henri Poincare'dir. Daha önceki bir yazımızda da anlattığımız gibi Poincare; Güneş Sistemi'nin kararlı olup olamayacağını analitik olarak çözmenin mümkün olamayacağını, bu nedenle de analitik çözümlerin yerine geometrik çözümlerin kullanılabileceğini söylemiştir. Nonlineer dinamik sistemlerde geometrikleştirmenin yani durum uzayının önemini göstermiştir.
Şimdi, asıl konumuza geri dönelim: Atmosferik konveksiyon olaylarının anlaşılmasında Lorenz Modeli oldukça büyük bir öneme sahiptir. Bu model 1963 yılında Massachusetts Teknoloji Enstitüsü’nde meteoroloji uzmanı olarak çalışan Edward Lorenz tarafından oluşturulmuştur. Atmosferdeki konveksiyonu (taşınmayı) birtakım denklemlerle ifade ederek, atmosfer olaylarının tamamıyla tahmin edilemeyecek davranışlar sergilediğini göstermiştir. David Ruelle, Rastlantı ve Kaos kitabının 60. sayfasında şöyle anlatıyor:
Aslında maddi destek istememizin nedeni çok basit: Çünkü Evrim Ağacı, bizim tek mesleğimiz, tek gelir kaynağımız. Birçoklarının aksine bizler, sosyal medyada gördüğünüz makale ve videolarımızı hobi olarak, mesleğimizden arta kalan zamanlarda yapmıyoruz. Dolayısıyla bu işi sürdürebilmek için gelir elde etmemiz gerekiyor.
Bunda elbette ki hiçbir sakınca yok; kimin, ne şartlar altında yayın yapmayı seçtiği büyük oranda bir tercih meselesi. Ne var ki biz, eğer ana mesleklerimizi icra edecek olursak (yani kendi mesleğimiz doğrultusunda bir iş sahibi olursak) Evrim Ağacı'na zaman ayıramayacağımızı, ayakta tutamayacağımızı biliyoruz. Çünkü az sonra detaylarını vereceğimiz üzere, Evrim Ağacı sosyal medyada denk geldiğiniz makale ve videolardan çok daha büyük, kapsamlı ve aşırı zaman alan bir bilim platformu projesi. Bu nedenle bizler, meslek olarak Evrim Ağacı'nı seçtik.
Eğer hem Evrim Ağacı'ndan hayatımızı idame ettirecek, mesleklerimizi bırakmayı en azından kısmen meşrulaştıracak ve mantıklı kılacak kadar bir gelir kaynağı elde edemezsek, mecburen Evrim Ağacı'nı bırakıp, kendi mesleklerimize döneceğiz. Ama bunu istemiyoruz ve bu nedenle didiniyoruz.
Bu olguyu kısaca şöyle tanımlayabiliriz: Güneş ışınlarının yeryüzünü ısıtması ve bu ısının havaya yansıması nedeniyle atmosferin alt katmanlarındaki hava üst katmanlardakinden daha sıcak ve hafif duruma gelir. Isınan ve hafifleyen hava yukarı doğru yükselirken daha soğuk ve yoğun olan üst katmanlardaki hava aşağı doğru hareket eder.
Lorenz’in modeli, Kaos Teorisi’nin gelişmesi açısından oldukça önemlidir. Çünkü bulduğu denklemler sadece atmosfer olaylarındaki kaotik davranışı açıklamakta değil, aynı zamanda diğer akışkanların da davranışını açıklamakta kullanılmaktadır. 1970’li yıllardan itibaren diğer akışkanlarda da bu denklemlerin kullanılmaya başlanmasından bunu anlayabilmekteyiz.
Lorenz Denklemleri
Lorenz’in modeli aslında temel Navier-Stokes denklemlerinin basitleştirilmiş formuna dayanmaktadır. Bu denklemler, sıcaklık değişiminden kaynaklanan akışkanın hareketini üç temel değişkenle açıklayabilmektedir. Biz bu değişkenlere X(t), Y(t), Z(t) değişkenleri diyeceğiz. Görüldüğü üzere parantez içindeki t harfi bize, zamana bağlılığı göstermektedir. Yani bu denklemler zamana göre değişebilen, sistemin “zaman evrim denklemleri” dir. X değişkeni akışkanın zamana göre yayılım fonksiyonudur (İng: "fluid stream function"). Y değişkeni verilen herhangi bir yükseklikteki yükselen ve alçalan akışkanın sıcaklık farkını veren bir oransal değişkendir. Z değişkeni ise kabaca dikey konumdaki akışkana ait sıcaklıkla meydana gelen yer değiştirmeyi ifade eden bir oransal değişkendir.
İşte bu üç değişkeni Lorenz Modeli’nin denklemleri olarak diferansiyel (zamana bağlı) olarak ifade edersek;
dXdt=p(Y−X)\LARGE{\frac{dX}{dt} = p(Y-X)}
dYdt=−XZ+rX−Y\LARGE{\frac{dY}{dt}=-XZ+rX-Y}
dZdt=XY−bZ\LARGE{\frac{dZ}{dt}=XY-bZ}
şeklinde yazılabilir.
Denklemlerdeki pp, rr, bb parametreleri ise sırasıyla şu şekilde açıklanabilir: pp, Prandtl Sayısı olarak bilinir ve kinetik vizkozitenin oranıdır. Termal enerji kaybı olarak da bilinir. İkinci değişken olan rr ise Rayleigh Sayısı’dır ve üst ve alt katmandaki akışkan yüzeyleri arasındaki sıcaklık farkını veren boyutsuz bir parametredir. Son değişken de bb değişkeni olup, dikey yükseklik ile yatay olarak ilerleyen akışkan arasındaki oranı temsil eder.
Lorenz Modeli ve Sabit Noktalar
Modelimizi başlatmadan önce sabit nokta (İng: "fixed point") kavramını hatırlamakta fayda var. Bu nokta/noktalar, sistemin zaman içindeki evriminde eninde sonunda çöktüğü ya da vardığı noktalardı. Ya da bazen itici sabit nokta da (İng: "repelling fixed point") olabiliyorlardı. Sistem hakkında geometrik olarak yorum yapmamızı kolaylaştırıyorlardı.
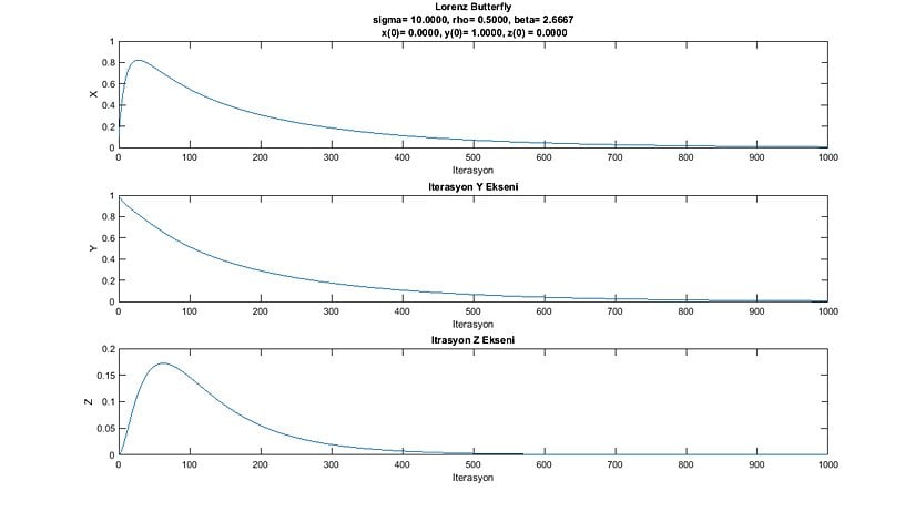
Şimdi Lorenz Modeli’ni X=0, Y=1, Z=0 başlangıç noktalarında ve r=0.5, p=10, b=8/3 olacak şekilde başlatalım ve zaman içindeki evrimine bakalım:

Bu model 3 boyutlu (X,Y, Z) bir model ve bu eksenlerin zamana göre aldığı değerler yukarıdaki gibidir. Her 3 grafik de bize sistemin r=0.5 parametresinde 0’a çöktüğünü gösteriyor. Yani 0 değeri sabit noktadır.
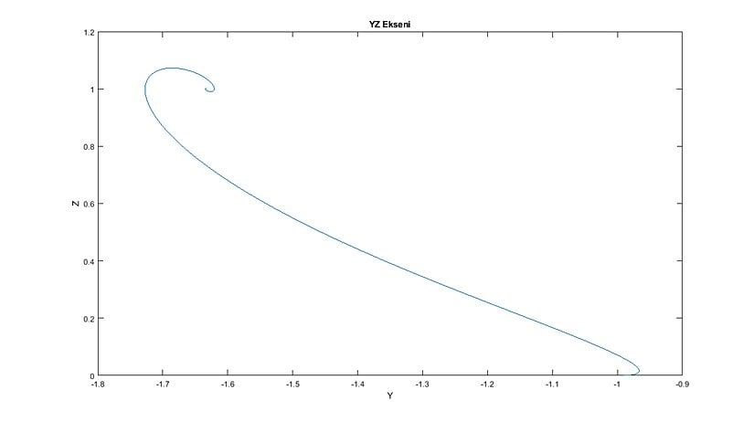
Bunu sistemin durum uzayına bakarak da görebiliriz. Durum uzayı bize sistemin zamana göre konumunu veren bir grafik olarak düşünülebilir.

Sistemin XZ grafiği bize Y değişkeninin nasıl değiştiğini gösterir. Dolayısıyla grafik 2, Y=1.0 başlangıç değerinde başlayan sistemin Y=0’da sonlandığını göstermektedir. Eğer sistemin 3 boyutlu durum uzayına bakarsak şunu görürüz:


Bu durumda 0 sabit noktasının aynı zamanda birer denge noktası (ing: equilibrium point )olduğu da söylenebilir. Yani zaman ilerlese dahi sistem 0 noktasında dengede kalacaktır. O halde r<1 için XYZ uzayındaki başlangıç noktası olan 0 noktası,sistem için çekim havzasıdır (ing: Basin of attraction)
Peki rr parametresini biraz da arttırıp r>1 yaparsak ne olur? Bu durumda 2 tane daha sabit nokta elde ederiz. İlki 0 olan sabit nokta bu sefer itici sabit olup, diğer yeni 2 nokta çekici sabit nokta (ing: “attracting fixed point”) olur. Bunu X=0, Y=1, Z=0 ve r=2.0 başlangıç koşullarıyla görebiliriz:

Şimdi sadece Y değişkenini değiştirip simetrisini alalım, yani Y=-1 olsun ve yeni grafiğmize bakalım:

Sonuç olarak r=1 değeri bizim için Lorenz Modeli’nde çatallanma noktasıdır (İng: “bifurcation point”). Yani durum uzayında ilk sabit noktamızın yanına 2 yeni sabit nokta eklenmiştir. Bunu sadece başlangıç koşullarımızdan biri olan YY parametresinde ve rr paratmetresinde çok çok küçük bir değişiklik yaparak elde ettik. Sistem bu çok küçük değişimlere ise büyük tepkiler vermiş oldu. Buradan şunu anlayabiliriz o halde, başlangıç koşullarına hassas bağlılık. Sistemdeki başlangıç koşullarındaki ufacık bir değişim, zaman içinde sistemin davranışını ani ve dramatik büyüklükte olarak değiştirmektedir. Ki bu etkiye “Kelebek Etkisi” deriz.
Yukarıdaki iki grafiği fiziksel olarak yorumlarsak da, r parametresini 1 değerinden biraz büyük bir değer olarak aldığımızda, atmosferdeki üst katman ile alt katmanda bulunan akışkanın (hava moleküllerinin) arasındaki sıcaklık farkını arttırmış oluruz. Dolayısıyla akışkan artık 0 noktasındaki gibi dengede olmaktan çıkar ve 2 çekici nokta arasında salınım yapmaya başlar.
Peki bu 2 çekici sabit nokta arasında sistemin hareketinin yörüngesi (ing: “trajectory”) nasıl olur? Yani sistemin davranışını betimleyen parametreler de değiştiğinde, çekici sabit noktalar etrafındaki çekim bölgelerinin değişimi nasıl olur?
Bunu deneyebilmek için r parametresini arttıracağız, r=13.98 değerine gelene kadar sistemde dikkate değer dramatik bir değişim olmamaktadır. Ama r=13.98 ve daha büyük değerlerde sistem bu iki çekici sabit nokta etrafında bir sarmal yapmaya başlar ve bir ağ gibi iç içe girmeye başlar.
r=25 ve X=0, Y=-5, Z=15 başlangıç değerleri için şu grafikler elde edilir:



İşte bu üç grafik de “Lorenz Çekicisi” olarak bilinir. Bu grafik kelebeğin kanatlarını andırdığı için başlangıç şartlarına hassas bağlılık olan “kelebek etkisi” terimi de buradan gelmektedir. Peki bu durumu fiziksel olarak yorumlarsak, artık sisteme haricen etki eden bir kuvvetten söz etmeye başlarız.Sisteme etki eden bu kuvvetin sebebi, sıcaklıktaki küçük farklılıkların uzun zaman diliminde büyük etkiler yaratmasıdır.

Sistemin X, Y ve Z parametrelerinin zamana göre değişim grafikleri de yukarıdaki gibi olup sistem zamana göre olan simetrisini artık bozmuştur (İng: “time translation symmetry).
Modeli incelemeye devam edelim ve r=150 değerinde ve yakınlarında işlerin biraz karmaşıklaştığını göreceğiz.

Bu grafikteki en alttaki Z parametrisinin zamana göre değişimini veren kısma bakarasak eğer sistemin periyodik olduğunu ve periyot katlama çatallanmasının (ing: “period-doubling bifurcation) meydana geldiğini görürüz. Bu olaya “periyot-2 davranışı” diyoruz.
Peki rr değerini birazcık azaltalım ve r=146 olsun. Yine yukarıdaki gibi periyodik bir grafik elde ederiz ve periyot-4 davranışı meydana gelir. Unutmayın sistemde hala kaotiklik yok çünkü periyodik!
Eğer r değerini 144’ün biraz altına indirirsek ne olur? İşte herşey burada başlar ve sistemin periyodik olan X, Y, Z eksenlerinin değişimi artık tamamen aperiyodik olur ve kaos başlar! Aynı zamanda önemli olan nokta şu ki bu değerde başka bir periyot katlama görmeyiz. Yani sistem başka bir bölgeye ayrılmadan, aynı bölge içersinde hem periyodik hem de aperiyodik, yani kaotik olabilir ve davranışı iyice karmaşıklaşır. Bu söylediklerimizi aşağıdaki grafiklerden de görebiliriz:
Başlangıç değerleri r=143 ve X=20, Y=0, Z=163 olan ilk sistem için grafikler:



Şimdi ilk sistemdeki parametrelerden biri olan sadece Z parametresini çok küçük bir miktar arttırıp Z=166 yapıp, sistemdeki uzun zaman dilimlerindeki davranışın dramatik olarak nasıl farklılaştığını görelim:


Sonuç olarak nonlineer sistemin davranışının periyodik iken aperiyodik olmasının nasıl mümkün olduğunu, ayrıca periyot katlama davranışlarının sistemi kaosa götürdüğünü atmosferdeki hava olaylarından görmüş olduk. Buradaki etmenlerden en önemlisinin de başlangıç koşullarına hassas bağlılık yani kelebek etkisi olduğunu kanıtladık.
Sonuç
Sonuç olarak kelebek etkisi fikri tüm insanlığı etkisi altına alan bir kavram olmuştur. İnsanlar kelebek etkisi analojisini sadece hava durumu gibi bilimsel olaylarda değil, aynı zamanda ekonomi, psikoloji, felsefe ve politika gibi başka alanlarda da kullanmaya başlamıştır. En çok kullanılan ve bilimsel olmayan örneklerden biri de şudur:
1905'te Viyana'daki Güzel Sanatlar Akademisi'ne genç bir adam başvurur ve ne yazık ki reddedilir. Bu adam Adolf Hitler'dir ve hayallerini gerçekleştiremeyince Alman ordusuna katılır. Ve sonrasını biliyorsunuz...
Tabii bilimsel olarak da pek çok örnek verilebilir. Örneğin atmosferdeki karbondioksit (CO2) miktarının çok az miktarda artması bile büyük etkiler yaratacaktır çünkü karbondioksit gazı bir sera gazı olduğu için Dünya’nın ortalama yüzey sıcaklığının artmasına yani küresel ısınmaya sebep olmaktadır.
Kelebek etkisi ve kaos teorisi doğayı, dünyayı ve evreni anlamamıza yardım etmektedir. Aslında doğanın ve evrenin düzensizliğinden doğan düzeni anlamamıza yardım etmektedir.
Tüm bunlardan ötürü, "Amazonlardaki bir kelebeğin kanat çırpışı, ABD’de bir fırtına kopmasına neden olabilir" deyip, hava durumunun tutmaması konusunda meteorologlara fazla kızmamanızı öneririz. Çünkü atmosfer olaylarında da kaotiklik olduğunu ve küçücük bir parametrenin tam hesaplanamaması yüzünden büyük sonuçların doğacağını artık biliyorsunuz.
Evrim Ağacı'nda tek bir hedefimiz var: Bilimsel gerçekleri en doğru, tarafsız ve kolay anlaşılır şekilde Türkiye'ye ulaştırmak. Ancak tahmin edebileceğiniz gibi Türkiye'de bilim anlatmak hiç kolay bir iş değil; hele ki bir yandan ekonomik bir hayatta kalma mücadelesi verirken...
O nedenle sizin desteklerinize ihtiyacımız var. Eğer yazılarımızı okuyanların %1'i bize bütçesinin elverdiği kadar destek olmayı seçseydi, bir daha tek bir reklam göstermeden Evrim Ağacı'nın bütün bilim iletişimi faaliyetlerini sürdürebilirdik. Bir düşünün: sadece %1'i...
O %1'i inşa etmemize yardım eder misiniz? Evrim Ağacı Premium üyesi olarak, ekibimizin size ve Türkiye'ye bilimi daha etkili ve profesyonel bir şekilde ulaştırmamızı mümkün kılmış olacaksınız. Ayrıca size olan minnetimizin bir ifadesi olarak, çok sayıda ayrıcalığa erişim sağlayacaksınız.
Makalelerimizin bilimsel gerçekleri doğru bir şekilde yansıtması için en üst düzey çabayı gösteriyoruz. Gözünüze doğru gelmeyen bir şey varsa, mümkünse güvenilir kaynaklarınızla birlikte bize ulaşın!
Bu makalemizle ilgili merak ettiğin bir şey mi var? Buraya tıklayarak sorabilirsin.
İlgili Sorular
Soru & Cevap Platformuna Git- 19
- 7
- 7
- 7
- 3
- 2
- 2
- 0
- 0
- 0
- 0
- 0
- R. C. Hilborn. (2001). Chaos And Nonlinear Dynamics: An Introduction For Scientists And Engineers. ISBN: 978-0198507239. Yayınevi: Oxford University Press.
- D. Ruelle. (1998). Raslantı Ve Kaos. ISBN: 9754030111. Yayınevi: TÜBİTAK Yayınları.
Evrim Ağacı'na her ay sadece 1 kahve ısmarlayarak destek olmak ister misiniz?
Şu iki siteden birini kullanarak şimdi destek olabilirsiniz:
kreosus.com/evrimagaci | patreon.com/evrimagaci
Çıktı Bilgisi: Bu sayfa, Evrim Ağacı yazdırma aracı kullanılarak 09/10/2025 23:33:17 tarihinde oluşturulmuştur. Evrim Ağacı'ndaki içeriklerin tamamı, birden fazla editör tarafından, durmaksızın elden geçirilmekte, güncellenmekte ve geliştirilmektedir. Dolayısıyla bu çıktının alındığı tarihten sonra yapılan güncellemeleri görmek ve bu içeriğin en güncel halini okumak için lütfen şu adrese gidiniz: https://evrimagaci.org/s/8315
İçerik Kullanım İzinleri: Evrim Ağacı'ndaki yazılı içerikler orijinallerine hiçbir şekilde dokunulmadığı müddetçe izin alınmaksızın paylaşılabilir, kopyalanabilir, yapıştırılabilir, çoğaltılabilir, basılabilir, dağıtılabilir, yayılabilir, alıntılanabilir. Ancak bu içeriklerin hiçbiri izin alınmaksızın değiştirilemez ve değiştirilmiş halleri Evrim Ağacı'na aitmiş gibi sunulamaz. Benzer şekilde, içeriklerin hiçbiri, söz konusu içeriğin açıkça belirtilmiş yazarlarından ve Evrim Ağacı'ndan başkasına aitmiş gibi sunulamaz. Bu sayfa izin alınmaksızın düzenlenemez, Evrim Ağacı logosu, yazar/editör bilgileri ve içeriğin diğer kısımları izin alınmaksızın değiştirilemez veya kaldırılamaz.