Mühendislikte yaygın olarak kullanılan Sonlu Farklar Yöntemi ve Sonlu Elemanlar Yöntemi, fizik kanunlarını matematiksel denklemlerle çözmek için bize yardımcı olur. Bu yöntemler, çalışma ortamını ve malzemeleri teorik olarak sonsuz bölünebilir bir yapı olarak kabul eder. Bu yaklaşım çoğu durumda başarılı sonuçlar verir, ancak her zaman işe yaramaz. Nitekim, gerçek dünyada hiçbir malzeme sonsuza kadar küçük parçalara bölünemez.
Örnek vermek gerekirse, diyelim ki 8 metreküp hacminde bir odadaki hava akışını ve ısının nasıl dağıldığını anlamamız gerekiyor. Bu hesaplama için havayı teorik olarak ikiye bölebilir, sonra tekrar ikiye bölebiliriz ve bu süreci devam ettirebiliriz. Fakat gerçekte, hava moleküllerden oluştuğu için, bir noktada, bölünme işlemi sonlandığında sadece birkaç molekül kalır. Mesela, iki molekül kaldığını düşünelim ve bunu ikiye bölmeye çalıştığımızda, bir noktada daha fazla bölemeyeceğimizi görürüz. Yani, çok az sayıda molekül içeren bir hacimde, sonsuz bölünebilirlik varsayımı geçerli olmaz.
İşte burada devreye moleküller giriyor. Moleküller, belirli bir konumda, belirli bir hızda ve belirli bir kütleye sahiptirler. Eğer bir odadaki hava sıcaklığını ve basıncını doğru bir şekilde hesaplamak istiyorsak, moleküllerin bu özelliklerini dikkate almalıyız. Ancak burada bir soru ortaya çıkıyor: Konum, hız ve kütle gibi değerler, nasıl sıcaklıkla ilişkilidir? Genellikle sıcaklığı bir termometre ile ölçeriz, ama bu değerlerin arasındaki ilişkiyi anlamak için, öncelikle sıcaklık ve basıncın temelinde ne yattığını kavramamız gerekir.
Sıcaklığın gerçek yüzü
Çoğumuz sıcaklığı bir termometre yardımıyla ölçülen basit bir sayı olarak tanırız. Ancak gerçekte, sıcaklık günlük yaşamda hissettiğimizden çok daha karmaşık ve ilginç bir kavramdır. Sıcaklık, aslında moleküllerin hızıyla doğrudan ilişkilidir. Moleküllerin hızı arttıkça, sıcaklık da o oranda yükselir.
Molekülleri küçük bilardo topları olarak düşünün. Her birinin bir kütlesi ve hızı vardır. Bir molekül ne kadar hızlı hareket ediyorsa, kinetik enerjisi de o kadar yüksek olur. Bu enerji, 1/2mv21/2mv^2 formülüyle hesaplanır, burada mm molekülün kütlesini, vv ise hızını temsil eder. Bir odadaki havanın sıcaklığını ölçmek istediğimizde, aslında oradaki moleküllerin ortalama kinetik enerjisini hesaplıyoruz demektir.
Haydi, günlük bir örnekle bu konsepti somutlaştıralım: Ocakta bir tencerede su kaynattığınızı düşünün. Tencere neden ısınır? Çünkü altındaki ateşin molekülleri çok hızlı hareket eder ve ayrıca radyasyon saçar. Bu hızlı moleküller ve radyasyon tencerenin dış yüzeyine çarptığında, tencerenin kendi moleküllerini de harekete geçirir, böylece onları da hızlandırır. Bu hareket zinciri tüm tencereye yayılır ve sonunda içindeki suya ulaşır.
İşte bu süreçte moleküller arasındaki çarpışmalar, birbirlerine enerjilerini aktarır ve bu enerji aktarımı ısı transferi olarak adlandırılır. Basitçe söylemek gerekirse, ısı, bir nesnenin moleküllerinin toplam kinetik enerjisidir. Sıcaklığı bir termometreyle ölçtüğümüzde, aslında o ortamdaki moleküllerin hızlarının ortalamasını, yani ortalama kinetik enerjisini ölçmüş oluyoruz. Bu yüzden sıcak bir yaz günü, dışarı çıkıp güneşin altında durduğumuzda cildimizde hissettiğimiz o yakıcı his, aslında güneşten gelen enerjinin moleküler düzeyde cildimize çarpması ve moleküllerimizi hızlandırmasıdır. İşte sıcaklık ve ısı, moleküllerin bu gizemli dansından başka bir şey değildir.
Basıncın doğası
Basınç, çevremizdeki dünyanın en temel kavramlarından biridir ve günlük yaşamımızda sıkça karşılaştığımız bir etkileşimdir. Basıncı anlamak için, odanızdaki hava moleküllerini düşünün. Bu moleküller, gözle görülemeyecek kadar küçük olmalarına rağmen, etraflarında sürekli hareket halindeler ve bu hareket esnasında duvarlara, tavana, hatta size bile çarparlar.
Her bir molekül, bir kütleye ve bir hıza sahiptir. Bu moleküller bir yüzeye çarptıklarında, küçük bir itme kuvveti uygularlar. Bu kuvvet, fizikte momentum olarak bilinir ve "Kütle x Hız" formülüyle hesaplanır. Odayı dolduran sayısız hava molekülünün her bir çarpışması, birleşik bir kuvvet yaratır ve bu kuvvet duvarlara uygulanan toplam basıncı oluşturur.
Denizi düşünün; su altına daldığınızda kulaklarınızda artan bir baskı hissedersiniz. Bu, su moleküllerinin kulaklarınıza uyguladığı basınçtır. Yüzeye çıktığınızda bu baskı azalır çünkü suyun uyguladığı basınç azalır.
Atmosfer basıncı ise, yeryüzünün üzerindeki hava kütlesinden kaynaklanır. Düşünün ki, yüzlerce kilometre yükseklikteki hava, altındaki havaya sürekli bir baskı uygular. Her katman, altındaki katmana kendi ağırlığını ekler. Bu durum, en üstten başlayıp yere kadar devam eder. İşte bu yüzden, yüksek dağlara çıktığınızda hava "seyrekleşir" ve nefes almak zorlaşır çünkü orada havanın basıncı daha düşüktür.
Evrim Ağacı'nın çalışmalarına Kreosus, Patreon veya YouTube üzerinden maddi destekte bulunarak hem Türkiye'de bilim anlatıcılığının gelişmesine katkı sağlayabilirsiniz, hem de site ve uygulamamızı reklamsız olarak deneyimleyebilirsiniz. Reklamsız deneyim, sitemizin/uygulamamızın çeşitli kısımlarda gösterilen Google reklamlarını ve destek çağrılarını görmediğiniz, %100 reklamsız ve çok daha temiz bir site deneyimi sunmaktadır.
KreosusKreosus'ta her 50₺'lik destek, 1 aylık reklamsız deneyime karşılık geliyor. Bu sayede, tek seferlik destekçilerimiz de, aylık destekçilerimiz de toplam destekleriyle doğru orantılı bir süre boyunca reklamsız deneyim elde edebiliyorlar.
Kreosus destekçilerimizin reklamsız deneyimi, destek olmaya başladıkları anda devreye girmektedir ve ek bir işleme gerek yoktur.
PatreonPatreon destekçilerimiz, destek miktarından bağımsız olarak, Evrim Ağacı'na destek oldukları süre boyunca reklamsız deneyime erişmeyi sürdürebiliyorlar.
Patreon destekçilerimizin Patreon ile ilişkili e-posta hesapları, Evrim Ağacı'ndaki üyelik e-postaları ile birebir aynı olmalıdır. Patreon destekçilerimizin reklamsız deneyiminin devreye girmesi 24 saat alabilmektedir.
YouTubeYouTube destekçilerimizin hepsi otomatik olarak reklamsız deneyime şimdilik erişemiyorlar ve şu anda, YouTube üzerinden her destek seviyesine reklamsız deneyim ayrıcalığını sunamamaktayız. YouTube Destek Sistemi üzerinde sunulan farklı seviyelerin açıklamalarını okuyarak, hangi ayrıcalıklara erişebileceğinizi öğrenebilirsiniz.
Eğer seçtiğiniz seviye reklamsız deneyim ayrıcalığı sunuyorsa, destek olduktan sonra YouTube tarafından gösterilecek olan bağlantıdaki formu doldurarak reklamsız deneyime erişebilirsiniz. YouTube destekçilerimizin reklamsız deneyiminin devreye girmesi, formu doldurduktan sonra 24-72 saat alabilmektedir.
Diğer PlatformlarBu 3 platform haricinde destek olan destekçilerimize ne yazık ki reklamsız deneyim ayrıcalığını sunamamaktayız. Destekleriniz sayesinde sistemlerimizi geliştirmeyi sürdürüyoruz ve umuyoruz bu ayrıcalıkları zamanla genişletebileceğiz.
Giriş yapmayı unutmayın!Reklamsız deneyim için, maddi desteğiniz ile ilişkilendirilmiş olan Evrim Ağacı hesabınıza üye girişi yapmanız gerekmektedir. Giriş yapmadığınız takdirde reklamları görmeye devam edeceksinizdir.
Günlük bir örnek vermek gerekirse, bir futbol topunu düşünün. Topu şişirdiğinizde içine hava basarsınız. Topun iç yüzeyine çarpan hava molekülleri, topun formunu koruması için gerekli basıncı sağlar. Eğer topun içindeki hava azalırsa, top sönük bir hale gelir ve yeterince sıçramaz. İşte bu, basıncın günlük hayatta nasıl bir etki yarattığının basit bir örneğidir. Moleküller ve onların hareketi, çoğu zaman göz ardı ettiğimiz ancak hayatımızı şekillendiren inanılmaz güçlere sahiptir.
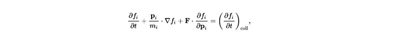
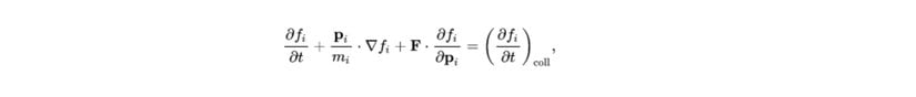
Boltzmann Denklemi
Boltzmann Denklemi, akışkanlar gibi hava ve suyun moleküler yapısını anlamamızı sağlayan büyüleyici bir matematiksel formüldür. Bu denklem, akışkanların aslında sayısız küçük parçacıkların, yani moleküllerin toplamından oluştuğunu ve bu moleküllerin sürekli olarak hareket halinde olduğunu kabul eder. Bu moleküller sürekli hareket halindedir ve hızları çok geniş bir yelpazede değişebilir—bazen neredeyse durur gibi yavaşlarken, bazen de inanılmaz hızlara ulaşabilirler. Bu hareketli dünya içinde moleküller birbirleriyle ve çevrelerindeki diğer maddelerle sürekli olarak çarpışır. Her çarpışma, moleküllerin hızını değiştirir, bu da sıcaklık ve basıncın nasıl oluştuğunu anlamamıza yardımcı olur.
Akışkanların bu dinamik dünyasını modellemek için moleküllerin hızlarının nasıl dağıldığını (yayıldığını) açıklayan bir grafiğe Maxwell-Boltzmann dağılımı denir. Bu grafikte yatay eksen moleküllerin hızlarını, dikey eksen ise bu hızlarda bulunma olasılıklarını gösterir. Grafik, genellikle çan şeklinde bir eğri oluşturur. Eğrinin en yüksek noktası, moleküllerin en olası hızını gösterir. Ancak bu, tüm moleküllerin aynı hızda olduğu anlamına gelmez. Aslında, moleküller çok çeşitli hızlarda hareket edebilir ve bu dağılım belirli bir sıcaklıkta sabit kalır.
:sharpen(0.5,0.5,true)/content%2F4a456e44-5cb5-483d-8a44-c2b950f18650.png)
Örneğin, oda sıcaklığında bir odada hava molekülleri, her yöne ve farklı hızlarda hareket eder. Bir balona üflediğinizde, ağzınızdan çıkan hava molekülleri balonun içine girer ve orada hızla hareket ederek balonun şişmesine neden olur. İşte bu moleküler hareket, balonun içinde bir basınç oluşturur ve balonu genişletir. Bu basit örnek, moleküllerin hızının ve çarpışmalarının, günlük hayatta nasıl fiziksel sonuçlara yol açtığını gösterir.
:sharpen(0.5,0.5,true)/content%2F3d2ee600-8cfa-45c6-aa6a-24717c79f56e.png)
Boltzmann Denklemi, bu moleküler çarpışmaların zaman içindeki değişimini, uzaydaki dağılımını ve üzerlerindeki kuvvetlerin etkilerini hesaplar. Eğer eşitlik sağ taraftan sıfır olursa, bu moleküler dağılımın zaman içinde sabit kaldığı anlamına gelir, ki bu çok nadirdir. Gerçekte, moleküller sürekli çarpıştığı için, bu dağılım sürekli değişir. Bu sürekli değişim, akışkanların sıcaklığını, basıncını ve diğer fiziksel özelliklerini anlamamızı sağlar. Boltzmann Denklemi'nin güzelliği, bu karmaşık moleküler etkileşimleri matematiksel bir modelle açıklayabilmesindedir, bu da mühendislerin ve bilim insanlarının daha iyi teknolojiler ve çözümler geliştirmelerine yardımcı olur.
Lattice Boltzmann Yöntemi, Boltzmann Denklemi ve kinetik teorinin anlattığı bu moleküler dünya, günlük hayatta karşılaştığımız olayların ardındaki bilimsel gerçekleri ortaya koyuyor. Bu teoriler sayesinde, gözle görülemeyen moleküllerin nasıl devasa sonuçlar doğurabildiğini anlamamız mümkün oluyor. Sıcak bir yaz günündeki serinleyici rüzgarın esintisi, bir balonun nasıl şiştiği veya bir dağın zirvesindeki hava basıncının neden daha düşük olduğu gibi olaylar, aslında moleküler düzeydeki dansın sonuçlarıdır.
Bu moleküler etkileşimler, sadece doğal olayları değil, aynı zamanda mühendislik, tıp, meteoroloji ve hatta uzay bilimleri gibi birçok disiplini de derinden etkiler. Moleküler düzeydeki bu dinamiklerin anlaşılması, daha verimli motorlar, daha dayanıklı malzemeler ve daha doğru hava tahmin modelleri geliştirmemize olanak tanır. Daha da ötesi, bu bilgiler sayesinde, dünya dışı atmosferlerin incelenmesi ve uzaydaki yaşamın olasılıkları üzerine çalışmalar yapılabilir.
Bu küçük parçacıkların büyük etkileri, bilim ve mühendislikte devrim yaratma potansiyeline sahiptir. Bilimin bu gizli dünyasını keşfettikçe, evrenin nasıl işlediğine dair anlayışımız genişler ve bu da bize, daha önce hayal bile edemediğimiz teknolojik ve bilimsel başarılar için yeni kapılar açar. Gerçekten de, moleküllerin gizemli dansı, evrenin dilini anlamamızı sağlayan şifrelerle doludur.
- 0
- 0
- 0
- 0
- 0
- 0
- 0
- 0
- 0
- 0
- 0
- 0
Evrim Ağacı'na her ay sadece 1 kahve ısmarlayarak destek olmak ister misiniz?
Şu iki siteden birini kullanarak şimdi destek olabilirsiniz:
kreosus.com/evrimagaci | patreon.com/evrimagaci
Çıktı Bilgisi: Bu sayfa, Evrim Ağacı yazdırma aracı kullanılarak 08/02/2026 09:58:56 tarihinde oluşturulmuştur. Evrim Ağacı'ndaki içeriklerin tamamı, birden fazla editör tarafından, durmaksızın elden geçirilmekte, güncellenmekte ve geliştirilmektedir. Dolayısıyla bu çıktının alındığı tarihten sonra yapılan güncellemeleri görmek ve bu içeriğin en güncel halini okumak için lütfen şu adrese gidiniz: https://evrimagaci.org/s/17572
İçerik Kullanım İzinleri: Evrim Ağacı'ndaki yazılı içerikler orijinallerine hiçbir şekilde dokunulmadığı müddetçe izin alınmaksızın paylaşılabilir, kopyalanabilir, yapıştırılabilir, çoğaltılabilir, basılabilir, dağıtılabilir, yayılabilir, alıntılanabilir. Ancak bu içeriklerin hiçbiri izin alınmaksızın değiştirilemez ve değiştirilmiş halleri Evrim Ağacı'na aitmiş gibi sunulamaz. Benzer şekilde, içeriklerin hiçbiri, söz konusu içeriğin açıkça belirtilmiş yazarlarından ve Evrim Ağacı'ndan başkasına aitmiş gibi sunulamaz. Bu sayfa izin alınmaksızın düzenlenemez, Evrim Ağacı logosu, yazar/editör bilgileri ve içeriğin diğer kısımları izin alınmaksızın değiştirilemez veya kaldırılamaz.