Evrenin Denklemlerini "Görebilmek": Fizikteki Meşhur Denklemler Neyi Anlatıyor, Gündelik Hayatta Ne Anlama Geliyor?
Denklemler, Sadece Sembollerden İbaret Değildir! Gündelik Örneklerden, Fizikteki Soyut Konulara Kadar Denklemler, Bize Ne Gösteriyor?

Bu Makalede Neler Öğreneceksiniz?
- Explain the purpose of physics as describing physical phenomena through mathematical laws and equations derived from observations and experiments.
- Highlight the article's goal to help readers visually understand physics equations using everyday examples without requiring prior knowledge of the mathematical content.
- Illustrate the practical application of physics equations through a kinematics problem involving a motorcyclist, traffic police, and acceleration.
Evrende görüp görebildiğimiz veya direkt gözlemleyemesek bile çeşitli teknik araçlarla bunu mümkün kıldığımız tüm fiziksel olguları açıklama çabası, fizik bilimi ve diğer formel bilim dallarıyla mümkündür. Bu yazıda biz işin fizik kısmına odaklanalım ve bunlar üzerine biraz düşünelim.
Doğadaki tüm "fenomenler" (yani "olgular") hakkında yapılan gözlemler ve deneyler sonucu, onların uymakta oldukları bir takım kurallar olduğunu bilmekteyiz. Aslında bu kurallar dediğimiz ifadeler, bizim en genel anlamda bildiğimiz doğa yasalarıdır. Bu yasaların dili de matematiktir. Semboller kullanarak doğadaki bu yasaları keşfedebilme, aynı zamanda bunları geleceğe yönelik yeni keşiflerde kullanabilme çabası, aslında tüm fiziğin amacının çok kısa bir özetidir.
İşte bu yazımızın tam da konusu, bu denklemlerdir. Çoğu okuyucumuzun (bir zamanlar bizlerin de) bu denklemleri gördüğündeki ilk tepkisi, bilinmezliğin ve karmaşıklığın verdiği korku olacaktır. Şöyle bir açıklama getirmekte fayda var: Yazımızda bu tür bir korkuya veya denklemlerin içeriğini bilmenize gerek olmayacak. Her gruptan okuyucu için hazırlanan bu yazıda, aslında o çok korkulan sembolleri içeren denklemleri “görmeyi” (evet görebilmeyi) hedefledik. Bunu da günlük hayattaki örneklerin olduğu bir takım fizikteki problemler üzerinden yapmayı hedefledik.
Peki neden? Çünkü, fiziğin ve formel olan diğer bütün bilim dallarının ortak dili matematiktir. İşin ilgilileri arasında iletişimi ve evrenselliği, denklemlerin matematik içermesine borçluyuz. Eğer bu dili biliyorsak, işler daha da kolaylaşır ve esas yapmamız gereken iş olan evreni anlama çabasına rahatlıkla yönelebiliriz.
Doğayı ve evreni anlama çabası sayesinde günümüz teknolojisine ve Güneş Sistemi’mizin ötesine ulaşabildik! Bundan yüzyıllar, bin yıllar sonra ötesini hayal edebilmek bile mümkün değil; fakat şundan kesinlikle eminiz ki, bu yenilikler ve ilerlemeler de denklemler ve matematiksel araçlarla mümkün olacak! İşte bundan dolayı günlük hayatımızın içerisinde yer alan denklemlerin aslında bize ne “gösterdiğini” ve ne ifade ettiğini ilk örneğimizle başlayarak inceleyelim.
Denklemleri Görebilmek...
1) Motorcu ve Trafik Polisi - Kinematik
Sorumuz şöyle olsun: Hız sınırının 60 km/saat olduğu bir yolda bir motorcu, 72 km/saat sabit hızla hareket etsin. Yol kenarında da duran bir trafik polisi olsun. Polis hız sınırını aşıldığını "Doppler Etkisi" denen bir olaydan faydalanarak tespit etsin ve motorcunun peşine düşsün. Polis aracının ivmesi de (birim zamandaki hız değişimi) a=4m/saniye2a = 4 m/saniye^2 olsun. O halde polis motorcuya kaç metre ve kaç saniye sonra yetişir?
Sorunun içeriği fizikteki kinematik yani Newton Hareket Yasaları’nı içeren denklemler ile ilgili. Dolayısıyla aşağıdaki denklemler ile analitik olarak çözüme ulaşılır. Polis motorcuya 200 metre ve 10 saniye sonra yetişir. Denklemlerin matematiksel ifadesi şu şekildedir:
x=x0+V0t+12at2x = x_0 + V_0 t + \dfrac{1}{2} a t^2 (Denklem 1)
V2=V02+2a(x−x0)V^2 = {V_0}^2 + 2 a (x - x_0) (Denklem 2)
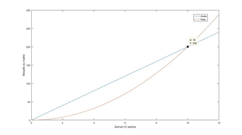
Peki aslında bu denklemleri görebilsek, neye benzerlerdi? Geometrik olarak nasıl bir anlam taşırlardı? Cevabı için yukarıdaki denklemleri herhangi bir paket program / dil ile işlerseniz, çıktıları şöyle olacaktır:

Kırmızı çizgiyle ifade edilen polis arabası, mavi ise motorcuya (veya otomobile) ait çizgilerdir. Grafikten de görüleceği üzere polis, 10 saniye ve 200 metre sonra motorcuya yetişebilecektir.
Evrim Ağacı'nın çalışmalarına Kreosus, Patreon veya YouTube üzerinden maddi destekte bulunarak hem Türkiye'de bilim anlatıcılığının gelişmesine katkı sağlayabilirsiniz, hem de site ve uygulamamızı reklamsız olarak deneyimleyebilirsiniz. Reklamsız deneyim, sitemizin/uygulamamızın çeşitli kısımlarda gösterilen Google reklamlarını ve destek çağrılarını görmediğiniz, %100 reklamsız ve çok daha temiz bir site deneyimi sunmaktadır.
KreosusKreosus'ta her 50₺'lik destek, 1 aylık reklamsız deneyime karşılık geliyor. Bu sayede, tek seferlik destekçilerimiz de, aylık destekçilerimiz de toplam destekleriyle doğru orantılı bir süre boyunca reklamsız deneyim elde edebiliyorlar.
Kreosus destekçilerimizin reklamsız deneyimi, destek olmaya başladıkları anda devreye girmektedir ve ek bir işleme gerek yoktur.
PatreonPatreon destekçilerimiz, destek miktarından bağımsız olarak, Evrim Ağacı'na destek oldukları süre boyunca reklamsız deneyime erişmeyi sürdürebiliyorlar.
Patreon destekçilerimizin Patreon ile ilişkili e-posta hesapları, Evrim Ağacı'ndaki üyelik e-postaları ile birebir aynı olmalıdır. Patreon destekçilerimizin reklamsız deneyiminin devreye girmesi 24 saat alabilmektedir.
YouTubeYouTube destekçilerimizin hepsi otomatik olarak reklamsız deneyime şimdilik erişemiyorlar ve şu anda, YouTube üzerinden her destek seviyesine reklamsız deneyim ayrıcalığını sunamamaktayız. YouTube Destek Sistemi üzerinde sunulan farklı seviyelerin açıklamalarını okuyarak, hangi ayrıcalıklara erişebileceğinizi öğrenebilirsiniz.
Eğer seçtiğiniz seviye reklamsız deneyim ayrıcalığı sunuyorsa, destek olduktan sonra YouTube tarafından gösterilecek olan bağlantıdaki formu doldurarak reklamsız deneyime erişebilirsiniz. YouTube destekçilerimizin reklamsız deneyiminin devreye girmesi, formu doldurduktan sonra 24-72 saat alabilmektedir.
Diğer PlatformlarBu 3 platform haricinde destek olan destekçilerimize ne yazık ki reklamsız deneyim ayrıcalığını sunamamaktayız. Destekleriniz sayesinde sistemlerimizi geliştirmeyi sürdürüyoruz ve umuyoruz bu ayrıcalıkları zamanla genişletebileceğiz.
Giriş yapmayı unutmayın!Reklamsız deneyim için, maddi desteğiniz ile ilişkilendirilmiş olan Evrim Ağacı hesabınıza üye girişi yapmanız gerekmektedir. Giriş yapmadığınız takdirde reklamları görmeye devam edeceksinizdir.
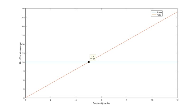
Peki ikisine ait hız denklemlerinin geometrik açıdan anlamı nedir? O halde bakalım:

Mavi çizginin zamana göre sabit kaldığını (motorcunun hızı sabit ve 72 km/saat = 20 m/saniye), kırmızı çizginin “düzgün olarak arttığını” (polis arabasının hızının eşit zaman aralıklarında eşit miktarda arttığını) görüyoruz.
Olayı şöyle fiziğe bağlayalım: Motorcunun uyduğu denklemler “sabit hızlı denklemler” ile ifade edilirken, polis arabasının uyduğu denklemler “sabit ivmeli / düzgün değişen doğrusal hareket” denklemleri ile anılır. İşte fizikteki bu tanımların esas kökeni, denklemlerin geometrik anlamında saklıdır. Bu ilişkiyi farketmek oldukça heyecan verici!
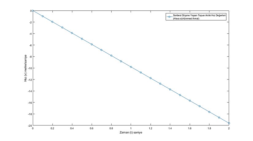
2) Serbest Düşen Topun Hareketi - Kinematik
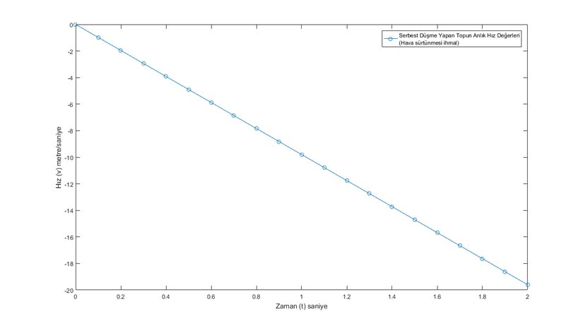
Herhangi bir yükseklikten serbest bırakılan (yani ilk hızı olmayan, fırlatılmayan) cisimlerin yerçekimi kuvveti etkisi altında yaptığı hareket türüne fizikte “serbest düşme” denilmektedir. Bu tanımdan sonra örneğimizi verelim: 40 metre yükseklikten serbest bırakılan bir top yere kaç saniyede ulaşır ve yere çarptığı andaki son hızı kaç m/saniye’dir?
Bu sorunun çözümü aşağıdaki atış denklemleriyle analitik olarak süre (t=2.0203t = 2.0203 saniye) ve hız (V=−19.7990V = - 19.7990 m/saniye) bulunur. Hızdaki “-” ifade yön ile ilgili olup, bizim için şu aşamada önemsizdir.
V=0−gtV = 0 - gt (Denklem 3)
hmax=V0y22gh_{max} = \dfrac{V_{0y}^2}{2 g} (Denklem 4)
Peki bu denklemlerin geometrik anlamı nedir?

Bu grafik bize topun hızının hava sürtünmesinin olmadığı ortamda düzgün bir şekilde (yerçekimi ivmesi g=9.81m/saniye2g=9.81 m/saniye^2) arttığını ve 1.dereceden bir denklem olduğunu göstermektedir. Yani bir çizgi! Hız denkleminin içeriğine bakarsak da bunu doğrulamış oluruz çünkü ifadede herhangi bir terimin kuvveti (t2,tn,n=2,3,...t^2, t^n, n=2,3,... ) yok.
3) Eğik Atış Yapan Bir Top - Kinematik
Her iki eksende (x ve y ekseni olmak üzere yatay ve düşey doğrultuda) bir ilk hızla atılan cismin hareketi “eğik atış” olarak tanımlanır. Hava sürtünmesinin ihmal edildiği bir ortamda yatayla yaptığı açı (θ=57°\theta = 57 \degree ) ve ilk hızı (V0=27m/saniyeV_0 = 27 m/saniye ) olan bir top maksimum yüksekliğe kaç saniyede çıkar ve bu yükseklik kaç metredir?
Sorunun analitik çözümü için kullanacağımız denklemler yukarıdaki denklemlerdir ve top t=2.345t = 2.345 saniye sonra maksimum yükseklik olan hmax=26.16h_{max} = 26.16 metreye çıkacaktır.
Geometrik olarak incelediğimizde ise şu grafikle karşılaşırız:

Grafikten de görüleceği üzere topun hareketini tanımlayan denklemler ve yörünge paraboliktir. Yani içerisinde herhangi bir değişkenin 2. kuvvetini (V02V_0^2 ) içermektedir.
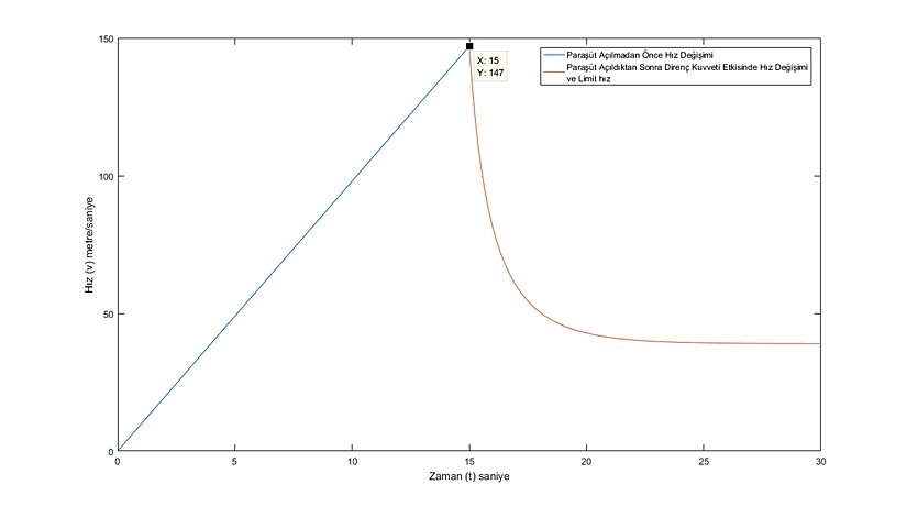
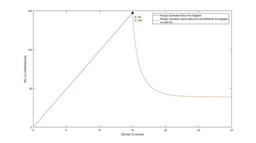
Peki işin içine topun hareketine karşı bir direnç oluşturan hava direnci dahil olursa ne olur? Hava direnci aşağıdaki denklemle ifade edilir şu grafiklerle karşılaşırız:
F⃗=−cV2V⃗∣V⃗∣\vec{F} = -cV^2 \dfrac{\vec{V}}{|\vec{V}|} (Denklem 5)

Hava direncinin etkisi ilk grafikte azmış gibi görünse de ikinci grafiğimiz olan aşağıdaki grafik etkiyi daha net görmemize imkan sağlayacaktır:

Fark edileceği üzere t=15t=15. saniyeden sonra topun hızı üstel şekilde azalmakta ve bir süre sonra da sabit değere ulaşıp, hareketine öyle devam etmektedir. Biz bu olaya fizikte “limit hız” diyoruz. Herhangi bir akışkan içinde hareket eden cisimler, akışkan ortamın direnci (burada hava direnci) nedeniyle üzerlerine etki eden net kuvvet 0 olduğunda Newton’un Eylemsizlik Yasası gereği sabit hızlı hareket yaparlar.
4) Gezegenin Güneş Etrafındaki Yörüngesi - Astronomi
Güneş etrafındaki yörüngede dolanan herhangi bir gezegen düşünelim. Gezegenin yörüngesini Newton Hareket Yasaları ve Kepler Yasaları ile eliptik formda bulabilmek mümkün. Bu denklemler şöyle yazılabilir:
F=GMmr2F = G \dfrac{M m}{r^2} (Denklem 6)
Fx=md2xdt2F_x = m \dfrac{d^2 x}{{dt^2}} (Denklem 7)
Fy=md2ydt2F_y = m \dfrac{d^2 y}{{dt^2}} (Denklem 8)
Bu denklemleri geometrik olarak incelersek de şu grafiği elde ederiz:

Denklemlere de baktığımızda eliptik formda olduğunu görebilmek mümkün fakat bunu en net görsel olarak yukarıdaki grafikte görebilmekteyiz. Yaptığımız tek şey gezegenin hareket denklemlerini başlangıç koşullarıyla birlikte bir paket programda çizdirmek.
5) Merkür’ün Güneş Etrafındaki Yörüngesi ve Dünya’daki Bir Gözlemcinin Gördüğü - Astronomi
Güneş Sistemi’mizdeki en garip yörüngeye sahip olan Merkür’ün hareket denklemleri şu şekilde tanımlanmaktadır:
x(t)=93cost+36cos4.15tx(t) = 93 \cos t + 36 \cos 4.15 t (Denklem 9)
y(t)=93sint+36sin4.15ty(t) = 93 \sin t + 36 \sin 4.15 t (Denklem 10)
İşin içerisindeki “cos” ve “sin” terimleri göze oldukça korkunç ve bir o kadar da karmaşık geliyor. Ama bu denklemleri görselliğe dökersek aslında herşey daha da sadeleşip anlam kazanacaktır. Hatta "cosinüs" ve "sinüs" fonksiyonları da!

İşte Merkür’ün yörüngesinin neden garip olarak adlandırıldığı ortada. Dünya’daki bir gözlemci için tam olarak görülen yörünge bu.
Yukarıdaki örnekler kısmen de olsa gündelik hayatımızda deneyimleyebildiğimiz / görebildiğimiz fiziksel olgulara dairdi. Şimdi ise işi bir tık daha soyutlaştırıp fizikte önemli kavramlardan olan “elektrik alan” ve “manyetik alan” kavramlarına bakacağız.
6) Noktasal Yük ve Elektrik Alan / Elektromanyetizma
Elektrik alan uzaydaki herhangi bir “kaynak yük”ünün etkisiyle ortaya çıkan “Coulomb Kuvveti” nedeniyle, bu kuvvetin yayılabildiği bir kuvvet alanı olarak tanımlanabilir. Oluşan bu alandan dolayı “alan çizgileri” de mevcuttur. Bu elektrik alan çizgileri (detayına fiziksel nedenlerden dolayı girmeyeğimiz nedenlerden dolayı) yoğunluk ve şiddet bakımından ıraksar yani uzaklaşırlar.

Bu ıraklaşma ise matematiksel olarak “diverjans” kavramı ile tanımlanır. Maxwell Denklemleri’nden biri olan Elektrik Alan ifadesi şu şekildedir:
∮E⋅da=∫(∇⋅E)dτ\oint E \cdot da = \int (\nabla \cdot E) d\tau (Denklem 11)
O halde elektrik alanı ve bu ıraklaşmayı görsel olarak görmek istersek şu grafiği elde ederiz:

Elektrik alan çizgileri merkezdeki O yükünden giderek şiddet bakımından azalarak uzaklaşmaktadır. Tüm o göze karmaşık gelen denklemin anlatmak istediği zarif ve sade hikaye budur aslında.
7) Manyetik Alan Çizgileri - Elektromanyetizma
Elektrik alan ile manyetik alan aslında bir bütünün iki parçasıdır. En basitinden akım taşıyan bir telin çevresinde oluşan manyetik alanı pusuladaki sapma ile gözlemlemek mümkündür. Dolayısıyla elektriksel yükler etkisi ile manyetik alan oluşmaktadır. Fizikte "Biot-Savart Yasası" ve "Amper Yasası" manyetizmayı açıklayan en genel yasalardır. Aşağıdaki gibi ifade edilirler.
B(r)=μ04π∫I⃗xı⃗ı2dlB(r) = \dfrac{\mu_0}{4 \pi} \int \dfrac{\vec{I} x \vec{\imath}}{\imath^2} dl (Denklem 12)
∇⃗xB⃗=μ0J\vec{\nabla} x \vec{B} = \mu_0 J

İlk şekle bakıldığında akım taşıyan telin etrafında kapalı bir manyetik alan oluştuğunu ve sağdaki şekille de yönünün vektörel olarak (Bkz: Sağ El Kuralı, Manyetizma) nasıl bulunduğu açıklanmıştır.
Değinmemiz gereken konu ise oluşan manyetik alanın sanki “dönüyormuş” gibi olduğudur. Aslında öyledir ve bunu denklemden de görüleceği üzere matematiksel olarak “rotasyonel” operatörü olarak ifade ediyoruz.
O halde her zamanki gibi bu denklemin de geometrik anlamına bakalım:

Grafik bize oluşan manyetik alanın “döndüğünü” ve merkezden uzaklaştıkça şiddetinin azaldığını göstermektedir.
Sonuç
Sonuç olarak toparlarsak, aslında fizikte kullanılan denklemler doğanın birer resmidir, tabii doğru gözle bakabilmeyi başarabilirsek... Bu oldukça önemli bir şey çünkü yaşadığımız evrenin dili matematiktir, bu dilden korkmayıp yeterince iyi öğrenebilirsek (öğrenmenin asla bir sınırı yok ama), gözümüzü korkutan bu olgulardan keyif alabilmek mümkün hale gelecektir.
Matematik esas olarak sabır olayıdır. Belleyerek değil keşfederek anlamak gerekir. - Cahit Arf
Evrim Ağacı'nda tek bir hedefimiz var: Bilimsel gerçekleri en doğru, tarafsız ve kolay anlaşılır şekilde Türkiye'ye ulaştırmak. Ancak tahmin edebileceğiniz gibi Türkiye'de bilim anlatmak hiç kolay bir iş değil; hele ki bir yandan ekonomik bir hayatta kalma mücadelesi verirken...
O nedenle sizin desteklerinize ihtiyacımız var. Eğer yazılarımızı okuyanların %1'i bize bütçesinin elverdiği kadar destek olmayı seçseydi, bir daha tek bir reklam göstermeden Evrim Ağacı'nın bütün bilim iletişimi faaliyetlerini sürdürebilirdik. Bir düşünün: sadece %1'i...
O %1'i inşa etmemize yardım eder misiniz? Evrim Ağacı Premium üyesi olarak, ekibimizin size ve Türkiye'ye bilimi daha etkili ve profesyonel bir şekilde ulaştırmamızı mümkün kılmış olacaksınız. Ayrıca size olan minnetimizin bir ifadesi olarak, çok sayıda ayrıcalığa erişim sağlayacaksınız.
Makalelerimizin bilimsel gerçekleri doğru bir şekilde yansıtması için en üst düzey çabayı gösteriyoruz. Gözünüze doğru gelmeyen bir şey varsa, mümkünse güvenilir kaynaklarınızla birlikte bize ulaşın!
Bu makalemizle ilgili merak ettiğin bir şey mi var? Buraya tıklayarak sorabilirsin.
Soru & Cevap Platformuna Git- 16
- 8
- 6
- 3
- 2
- 1
- 1
- 1
- 0
- 0
- 0
- 0
- D. B. Lopez. (2009). Matlab With Applications To Engineering, Physics And Finance. ISBN: 978-1-4398-0699-9. Yayınevi: CRC Press.
- D.J. Griffiths. (1999). Introduction To Electrodynamics. ISBN: 9780138053260. Yayınevi: Prentice Hall.
Evrim Ağacı'na her ay sadece 1 kahve ısmarlayarak destek olmak ister misiniz?
Şu iki siteden birini kullanarak şimdi destek olabilirsiniz:
kreosus.com/evrimagaci | patreon.com/evrimagaci
Çıktı Bilgisi: Bu sayfa, Evrim Ağacı yazdırma aracı kullanılarak 09/10/2025 15:34:55 tarihinde oluşturulmuştur. Evrim Ağacı'ndaki içeriklerin tamamı, birden fazla editör tarafından, durmaksızın elden geçirilmekte, güncellenmekte ve geliştirilmektedir. Dolayısıyla bu çıktının alındığı tarihten sonra yapılan güncellemeleri görmek ve bu içeriğin en güncel halini okumak için lütfen şu adrese gidiniz: https://evrimagaci.org/s/9031
İçerik Kullanım İzinleri: Evrim Ağacı'ndaki yazılı içerikler orijinallerine hiçbir şekilde dokunulmadığı müddetçe izin alınmaksızın paylaşılabilir, kopyalanabilir, yapıştırılabilir, çoğaltılabilir, basılabilir, dağıtılabilir, yayılabilir, alıntılanabilir. Ancak bu içeriklerin hiçbiri izin alınmaksızın değiştirilemez ve değiştirilmiş halleri Evrim Ağacı'na aitmiş gibi sunulamaz. Benzer şekilde, içeriklerin hiçbiri, söz konusu içeriğin açıkça belirtilmiş yazarlarından ve Evrim Ağacı'ndan başkasına aitmiş gibi sunulamaz. Bu sayfa izin alınmaksızın düzenlenemez, Evrim Ağacı logosu, yazar/editör bilgileri ve içeriğin diğer kısımları izin alınmaksızın değiştirilemez veya kaldırılamaz.