Matematik ve Denklemler Ne İşe Yarar? Dünya'yı Değiştiren 21 Matematiksel Denklem...

- Türev
- Matematik
2012 senesinin başlarında, matematikçi Ian Stewart "Bilinmeyenin İzinde: Dünya'yı Değiştiren 17 Denklem" başlıklı kitabını yayımladı ve insanlığın tarihinde keşfedilen 17 matematiksel denklemi, bilimsel yoğunluğundan kurtararak, herkes tarafından anlaşılabilir bir hale soktu. Prof. Dr. Ian Stewart'a bu kitabını neden yazmaya karar verdiği sorulduğunda şöyle yanıt veriyor:
Denklemler kesinlikle sıkıcı olabilir ve çok karmaşık görünebilirler. Ancak bunun sebebi genellikle sıkıcı ve karmaşık bir şekilde sunulmalarındandır. Benim okullarımızdaki matematik öğretmenlerine göre bir avantajım var: Size toplamayı kendi başınıza nasıl yapacağınızı göstermeye çalışmıyorum. Denklemlerin nasıl çözüleceğini bilmeden de onların güzelliğini ve önemini takdir edebilirsiniz. Benim niyetim onları kültürel ve insani bir hale sokmak ve onları tarihimizdeki maskelerinden arındırmaktır. Denklemler, kültürümüzün önemli bir parçasıdır. Bu denklemlerin arkasındaki hikayeler, onları keşfedenler, onların yaşadıkları dönemler ve benzerleri oldukça etkileyicidir.

Bu yazımızda sizlere bu denklemlerle ilgili kısaca bilgileri vereceğimiz bir özet sunacağız. Böylece Prof. Stewart'ın kitabında yapmaya çalıştığının kısa bir örneğini göstermeye çalışacağız. Ayrıca modern kullanımlarına birer ikişer örnek vererek ne gibi alanlarda kullanıldığını anlatmayı hedefleyeceğiz. Bu denklemlerin tek kullanım alanlarının bu örnekler olmadığının altını çizmek isteriz.
Bizim başlığımız neden kitabınkinden farklı? Çünkü Prof. Stewart'ın dahil etmediği bazı denklemleri dahil ettik. Zaman içerisinde başka büyük denklemlerle karşılaşacak olursak, onları da yazıya dahil edeceğiz.
1) Pisagor Teoremi
Ne Anlama Geliyor?
Bir dik üçgende, en uzun kenarın (hipotenüsün) karesi, her zaman kısa kenarların karesinin toplamına eşittir. Bu denklemde "a" ve "b" harfleri dik üçgenin kısa kenarlarını, "c" ise hipotenüsü temsil eder.
Tarihi Nedir?
Her ne kadar her zaman Pisagor ile ilişkilendirilse de, bu denklemi ispatlayan ilk kişinin kim olduğu halen kesin olarak bilinmemektedir. İlk net ispat Euclid tarafından yapılmıştır ve muhtemelen bu konsept Pisagor'dan 1000 yıl kadar önce Babilliler tarafından bilinmekteydi.
Önemi Nedir?
Bu denklem, geometrinin temelinde bulunan denklemdir, cebir ile bağlantısını kurar ve trigonometrinin temelini oluşturur. Bu denklem olmaksızın isabetli bir şekilde haritacılık ve navigasyon yapılamazdı.
Modern Kullanımı Nedir?
Üçgenleme (triangülasyon) yöntemi sayesinde GPS ile yapılan navigasyonda noktalamalar ve kesin yer tayinleri yapılabilmektedir. Bunun haricinde mimaride, inşaat mühendisliğinde, adli bilimlerde merminin yolunun belirlenmesinde, depremlerin merkezinin tespitinde kullanılmaktadır.
2) Logaritma ve Özellikleri
Ne Anlama Geliyor?
Özellikle çok büyük sayılarla yapılacak çarpma işlemlerinin, belirli bir tabana göre logaritmik olarak yapıldığında, toplama biçiminde ifade edilebileceğini gösterir. Logaritmalar, "log" sembolüyle ifade edilirler ve genelde bu şekilde yazıldıklarında 10'luk tabandaki logaritma anlamına gelirler. Bu durumda, log(103) sayısı, 3 sayısına, yani 10'un üssü şeklinde ifade edilen sayının üssüne eşit olmaktadır. Bu sayede 1000 sayısı, 3 olarak ifade edilerek daha kolay biçimde işlem yapılabilir. Ancak logaritmaları farklı tabanlarla da kullanmak mümkündür. Örneğin log2(28) sayısı, 8'e eşittir. Böylece 256 sayısı 2'lik logaritma tabanında 8 olarak ifade edilebilir. Yukarıdaki denklem, bu şekilde büyük sayıların birbiriyle çarpımında, logaritmanın kullanılarak çarpma gibi devasa sonuçlar verebilen bir işlemi toplama gibi daha ufak sonuçlar verebilen ve daha hızlı yapılabilen bir hale dönüştürebileceğimizi gösteriyor. Burada "x" ve "y" harfleri herhangi iki sayıyı ifade ediyor.
Tarihi Nedir?
Konsept ilk olarak Merchiston'dan bir İskoç bilim insanı John Napier tarafından keşfedildi. Napier, büyük sayıların çarpımının çok zor ve uğraştırıcı olduğunu fark etti ve bunları kolay ve hızlı bir şekilde yapabilmeyi hedefledi. Geliştirdiği sistem sonradan Henry Briggs tarafından tablolaştırıldı ve çok daha güçlü bir araç haline geldi.
Önemi Nedir?
Logaritmanın keşfi tek kelimeyle devrimdi. Bu sayede mühendisler ve astronomlar hesaplamaları çok daha hızlı yapabilmeye başladılar. Günümüzde bilgisayarların keşfiyle bu devrim önemsiz kalmıştır; ancak yine de bugünlere gelebilmemiz için bilim insanları açısından önemlidir.
Modern Kullanımı Nedir?
Logaritmalar halen radyoaktif bozunum gibi çok önemli konularda kullanılmaktadır. Aslında logaritmalar, zamana bağlı değişimlerin (azalma veya artma) olduğu hemen her alanda karşımıza çıkarlar. Örneğin banka kredilerinin üzerine eklenecek faizlerin hesabında logaritma fonksiyonları kullanılabilmektedir. Bunun haricinde biyologlar popülasyonlar üzerinde çalışırken, fizikçiler nükleer tepkimeler üzerinde çalışırken, kimyagerler zincir tepkimeleri üzerinde çalışırken, bankacılar yatırımları üzerinde çalışırken logaritmaları kullanmaktadır. Ayrıca fizyologlar tarafından gözün ışığa verdiği tepkiyi ölçmekte kullanılır. Son olarak, özellikle makina ve elektrik mühendisleri tarafından sinyallerin ve titreşimlerin zaman içerisinde sönümlenmesinin hesabında kullanılmaktadır. Bilgisayar mühendisleri de bir yazılımın ne kadar hızlı çalışacağını hesaplamak için logaritmalara başvururlar.
Aslında maddi destek istememizin nedeni çok basit: Çünkü Evrim Ağacı, bizim tek mesleğimiz, tek gelir kaynağımız. Birçoklarının aksine bizler, sosyal medyada gördüğünüz makale ve videolarımızı hobi olarak, mesleğimizden arta kalan zamanlarda yapmıyoruz. Dolayısıyla bu işi sürdürebilmek için gelir elde etmemiz gerekiyor.
Bunda elbette ki hiçbir sakınca yok; kimin, ne şartlar altında yayın yapmayı seçtiği büyük oranda bir tercih meselesi. Ne var ki biz, eğer ana mesleklerimizi icra edecek olursak (yani kendi mesleğimiz doğrultusunda bir iş sahibi olursak) Evrim Ağacı'na zaman ayıramayacağımızı, ayakta tutamayacağımızı biliyoruz. Çünkü az sonra detaylarını vereceğimiz üzere, Evrim Ağacı sosyal medyada denk geldiğiniz makale ve videolardan çok daha büyük, kapsamlı ve aşırı zaman alan bir bilim platformu projesi. Bu nedenle bizler, meslek olarak Evrim Ağacı'nı seçtik.
Eğer hem Evrim Ağacı'ndan hayatımızı idame ettirecek, mesleklerimizi bırakmayı en azından kısmen meşrulaştıracak ve mantıklı kılacak kadar bir gelir kaynağı elde edemezsek, mecburen Evrim Ağacı'nı bırakıp, kendi mesleklerimize döneceğiz. Ama bunu istemiyoruz ve bu nedenle didiniyoruz.
3) Kalkülüs'ün Temel Teoremi
Ne Anlama Geliyor?
Bir değerin zaman içerisindeki sonsuz küçüklükteki değişimlerinin birikerek, o değerin belli bir zamandaki toplam değişimine eşit olacağını gösterir. Bir diğer deyişle, değişim içerisindeki bir fonksiyonu, çok çok küçük zaman aralıklarında değerlendirecek ve bu değişimleri toplayacak olursak, bu değişimlerin toplamının, genel değişim toplamına eşit olacağını gösteren denklemdir. Burada "f" harfi değişimini incelediğimiz fonksiyonu, "t" harfi ise hangi değişkene göre değişimin izlendiğini göstermektedir. "t", genellikle zamanı ifade eder, dolayısıyla "f" fonksiyonunun zamana göre değişimi incelenir. Bunu ifade eden denklemin sol tarafı, fonksiyonun zamana göre türevinin alındığını gösterir. Denklemin sağ tarafındaki "t" yine zamanı, "f(t)f(t)" yine zamana bağlı olan herhangi bir fonksiyonu ifade eder. "h" ise küçük bir değişimi temsil etmektedir, dolayısıyla "f(t+h)f(t+h)", elimizdeki fonksiyonun "t" anından çok az bir zaman sonraki halini ifade etmek için kullanılır. Bu "çok az bir zaman farkını" anlatmak için ve fonksiyonun o ufak değişimini ifade etmek için matematiksel limit kullanılır ve "lim" ile gösterilen budur.
Tarihi Nedir?
Günümüzde bildiğimiz Kalkülüs 17. yüzyılda Isaac Newton ve Gottfried Leibniz tarafından geliştirilmiştir ve günümüzde Dünya'nın her yerinde aynı şekilde ifade edilir. Bu denklemin keşfiyle ilgili uzun yıllar bilgi hırsızlığı (intihal) iddialarında bulunulmuştur. Ne yazık ki halen bu denklemin gerçek sahibine karar verilememiştir. Bu sebeple bu iki bilim insanının da bakış açılarını ve dehalarını bu denklemi anmak için kullanıyoruz.
Önemi Nedir?
Stewart'a göre bu denklemin önemi şöyledir: "Diğer bütün matematiksel tekniklerden öte, bu denklem modern dünyayı yaratmıştır." Kalkülüs, katıları, eğrileri ve alanları ölçmekte ve anlamakta kullandığımız temel araçtır. Birçok doğa kanununun temelinde yer alır ve diferansiyel denklemlerin kaynağıdır.
Modern Kullanımı Nedir?
En uygun çözümün gerektiği her türlü problemde kullanılır. Tıp, ekonomi ve bilgisayar bilimleri için temeldir. Mühendisler tarafından GPS sistemlerinin geliştirilmesinde, gökdelenlerin ve köprülerin inşasında, robotların parçalarının belirli emirlere nasıl tepki vereceğinin analizinde, sistem tasarımında, araçların güvenliğinin geliştirilmesinde kullanılmaktadır. Biyologlar tarafından ekosistem içerisindeki türlerin değişiminde, ilaçların vücut içerisindeki derişiminin hesaplanmasında, anatomik ve fiziksel özelliklerin (kemik uzunluğu gibi) belirlenmesinde, bakteri gibi türlerin çoğalma hızlarının tespitinde kullanılır. Ekonomide pazar tahminlerinde, gelir düzeylerinin belirlenmesinde, problemlerin en uygun çözümlerinin geliştirilmesinde, aylık ödeme miktarlarının belirlenmesinde kullanılır. Bunlar haricinde anket sonuçlarının değerlendirilmesinde, hastalıkların ilerleme hızının tespitinde, küresel haritalandırma yöntemlerinin geliştirilmesinde, paradoksal sorunların çözülmesinde yer alır.
4) Newton'un Evrensel Çekim Yasası
Ne Anlama Geliyor?
Evrendeki her bir cismin, her bir diğer cismi kütlesiyle doğru, aralarındaki uzaklığın karesiyle ters orantılı olarak kendine doğru çektiğini gösteren denklemdir. Kısaca, evrendeki cisimler arasındaki çekim kuvvetini hesaplamak için kullanılır. Sol taraftaki "F", cisimlerin her birine etkiyen kuvveti gösterir. "G", evrensel kütleçekim sabitidir ve yaklaşık olarak 6.67 x 10-11 N(m/kg)2 değerine sahiptir. "m1" ve "m2", incelenen iki cismin kütlelerini ifade eder. "d" ise, iki cisim arasındaki dik uzaklıktır.
Tarihi Nedir?
Isaac Newton bu çalışmasını kendisinden önce Johannes Kepler'in yaptığı çalışmalar üzerine kurmuştur. Bir ihtimal, Robert Hooke'un çalışmalarından faydalanmış ve bir miktar intihal yapmış olabilir.
Önemi Nedir?
Dünya'nın nasıl çalıştığını anlamamızı sağlar ve kalkülüsü kullanır. Her ne kadar sonradan Einstein'ın görecelik teorisi tarafından gölgede bırakıldıysa da, halen cisimlerin birbirleriyle nasıl etkileştiği konusunda bilgi edinmemizi sağlar. Günümüzde uyduların ve sondaların yörüngelerini tasarlamak için kullanılmaktadır.
Modern Kullanımı Nedir?
Yeni uzay görevleri başlatıldığında, en uygun kütleçekimsel tüplerin (veya yolakların) bulunmasını sağlar ve bunların enerji bakımından en verimli olmasını hedefler. Ayrıca uydu kanallarının televizyonlarımızda görünebilmesini sağlar. Bunun haricinde gezegenlerin hareketlerinin tahmininde kullanılır ve bu yöntemle yapılan Neptün'ün keşfi Nobel Ödülü getirmiştir. Ayrıca bu yasa kullanılarak gelgitler ve miktarları belirlenir. Son olarak, birçok füze ve uydu sistemlerinin analizi bu denklem ile yapılır.
5) Kompleks Sayıların Kökeni
Ne Anlama Geliyor?
Hayali (kompleks, karmaşık) bir sayının karesinin negatif olacağını gösterir. Buradaki "i" bir sayıdır ve her zaman "-1" sayısının kareköküne eşittir. Normalde, lise sıralarında negatif sayıların karekökü olmaz." diye öğretilse de, bu doğru değildir. Negatif sayıların karekökü, karmaşık sayılar verir.
Tarihi Nedir?
Hayali sayılar aslında ilk olarak kumarbaz matematikçi Girolamo Cardano tarafından ileri sürülmüştür. Daha sonradan Rafael Bombelli ve John Wallis tarafından geliştirilmiştir. William Hamilton tarafından kesin tanımları yapılana kadar garip bir sorun olarak matematikte kalmışlardır.
Önemi Nedir?
Stewart'a göre: "Elektrik ışıklandırmalarından dijital kameralara kadar birçok modern teknoloji bu sayılar olmadan icat edilemezdi." Hayali sayılar, karmaşık analizlerde kullanılır ve bunlar da, mühendislerin çalışma alanındaki pratik sorunların çözülmesinde kullanılır.
Modern Kullanımı Nedir?
Elektrik mühendisliğinde ve karmaşık matematik teorisinde yoğun olarak kullanılır. Elektrik mühendisliği dahilinde bir devre elemanının verilen bir zamandaki durumunu belirlemek amacıyla kullanılabilir. Bunun haricinde elektromanyetik kuram dahilinde, elektrik alan kuvveti ile manyetik alan kuvvetini ifade etmekte kullanılır. Ayrıca akışkanların bir cisim etrafındaki hareketini tanımlarken karmaşık analizler gerekir ve burada bu sayılar devreye girer. Benzer şekilde, ekonomik sistemlerin davranışlarının analizinde bu sayıların kullanılması gerekir.
6) Euler'in Çokyüzlü Formülü
Ne Anlama Geliyor?
Bir uzayın, yöneliminden bağımsız olarak şeklinin ve yapısının tanımlanmasını sağlar. Yukarıdaki denklemde "F", bir çok yüzlü geometrik şeklin "yüz" sayısını, "E" aynı şeklin "kenar" sayısını, "V" ise aynı şeklin "köşe" sayısını ifade eder. Denkleme göre, yüz sayısı ile köşe sayısının toplamından kenar sayısını çıkarırsanız, hangi şekli inceliyor olursanız olun 2 sayısını elde edersiniz. Bir kübü düşünelim: 6 yüzü, 8 köşesi ve 12 kenarı vardır. Yukarıdaki denkleme koyacak olursanız, 6-12+8 işleminin sonucu 2'dir ve denklem sağlanır. Bunu her geometrik şekil ile deneyebilirsiniz.
Tarihi Nedir?
İlk olarak Descartes tarafından tanımlanan bu ilişki, sonradan Leonhard Euler tarafından 1750 yılında gözden geçirilmiş, ispatlanmış ve yayımlanmıştır.
Önemi Nedir?
Topografi (yüzey bilimi) açısından temel öneme sahiptir. Bu bilim dahilinde herhangi bir geometri sürekli yüzey olarak ifade edilir. Aynı zamanda mühendisler ve biyologlar için önemlidir.
Modern Kullanımı Nedir?
Topoloji, DNA'nın davranışını ve fonksiyonlarını anlamakta kullanılmaktadır. Bunun haricinde, topoloji sayesinde robotik alanında kullanılan sensörlerin isabetliliği arttırılmıştır.
7) Normal Dağılım
Ne Anlama Geliyor?
Standart normal dağılımı tanımlar. Bu dağılım, bir çan eğrisi şeklinde gözükür ve bir gözlem olasılığının en muhtemel olarak ortalama civarında olduğunu ifade eder. Ortalama değerden uzaklaştıkça o olayın görülme olasılığı azalır. Denklemde sol taraf, dağılım fonksiyonunu göstermektedir. Buradaki "1 bölü karekök içerisinde 2 çarpı pi'nin" varlığı, sol taraftaki fonksiyonun altında kalan alanın 1'e eşit olmasını sağlar. Karekök içerisindeki diğer harf olan "sigma", "standart sapma" ifadesidir. Sonrasında bu ifade, eksponansiyel ("e" üzeri olarak gösterilir) bir sayı ile çarpılmaktadır. Bu sayı içerisindeki "x" fonksiyonumuzun değişkenini, parantez içerisinde "x"ten çıkarılan "mü" sayısı ise "ortalama" değeri ifade eder. Geri kalanı, izah edilen değişkenlerle aynıdır.
Tarihi Nedir?
İlk olarak Blaise Pascal tarafından geliştirilen sistem sonradan Bernouilli tarafından son hali verilmiştir. Bugünkü çan eğrisi ise Belçikalı matematikçi Adolphe Quetelet tarafından tanımlanmıştır.
Önemi Nedir?
Modern istatistiğin temelindeki denklemdir. Bilim ve özellikle sosyal bilimler, bu denklem olmadan bugünkü halini alamazdı.
Modern Kullanımı Nedir?
İlaçların, klinik deneylerde, negatif etkilerine karşılık yeterince etkili olup olmadıklarını anlamak için kullanılır. Bunun haricinde özellikle üniversite öğrencilerinin sürekli olarak yarışmaları gereken bir dağılım eğrisi çıkarılmasını sağlar. Genel olarak, dağılımların olduğu her yerde çan eğrileri kullanılabilir. Evrimsel biyoloji dahilinde, popülasyonları modellemek ve evrimsel değişim yönlerini analiz etmek amacıyla çan eğrilerine başvurulur.
8) Dalga Denklemi
Ne Anlama Geliyor?
Dalgaların davranışlarını tanımlayan diferansiyel denklemdir. Esasında bir keman telinin titreşimini tanımlamak için geliştirilmiştir. Burada, sol taraftaki "u", genelde zamana ve konuma bağlı olan bir fonksiyonu ifade eder. "t", zamanı gösterir. Soldaki ifadenin tamamı ise, "u" fonksiyonunun zamana bağlı olarak ikinci türevidir. Sağ tarafta yer alan "c", denklemin başlangıç koşulları tarafından belirlenen, herhangi bir sabittir. Sonraki ifade ise, aynı "u" fonksiyonunun bu defa zamana göre değil, "konuma" göre, yani "x" harfine göre ikinci türevidir. Kimi zaman bunun yerine Laplasyen formda da yazılabilir. O zaman, Laplace operatörü olan ters üçgen işareti koyulur.
Tarihi Nedir?
Matematikçi Danielle Bernouilli ve Jean D'Alambert tarafından 18. yüzyılda keşfedilmiştir. İkili, aynı denklemi birbirlerinden biraz farklı olarak tanımlamışlardır.
Önemi Nedir?
Dalgaların davranışı, seslerin nasıl çalıştığına, depremlerin nasıl oluştuğuna ve okyanusların davranışlarına genellenebilmektedir.
Modern Kullanımı Nedir?
Petrol firmaları patlattıkları patlayıcılardan yayılan ses dalgalarını ölçerek jeolojik oluşumları tespit etmektedirler. Bunun haricinde müzik aletlerinin ve televizyonların yapılabilmesini ve geliştirilmesini sağlamaktadır. Evlerimizde kullandığımız mikrodalga fırınları mümkün kılmıştır. Günümüzde birçok tür elektromanyetik dalgaları kullanarak yönlerini, avlarını ve avcılarını tespit eder. Ayrıca sonarlar gibi engel ve yüzey tespit aletlerinin üretilebilmesini mümkün kılmıştır. Kısaca dalgaların olduğu her alanda geniş ufuklar açmıştır.
9) Fourier Dönüşümü

Ne Anlama Geliyor?
Zamana bağlı fonksiyonları, frekansa bağlı olarak tanımlamaya yarar. Burada, sol taraf dönüşümün sonucunu gösteren fonksiyondur (ancak burada fonksiyonun tersi olarak yazılır) ve "xi" harfi, frekansı ifade eder. Sağ tarafta, eksi sonsuzdan artı sonsuza kadar integral alınmaktadır. İntegrali alınan fonksiyon, genellikle zamana bağlı olarak ifade edilen ve frekansa bağlı ifadesini aradığımız fonksiyondur ve "f(x)" olarak gösterilir. Yani bu durumda, "x" genellikle zamanı belirtir. Geri kalan ifadeler ise, bildiğimiz "pi" sayısı, "i" karmaşık sayısı, "x" değişkeni ve "xi" frekansıdır. "dx" ise integralin değişkenini belirtmektedir.
Tarihi Nedir?
Joseph Fourier bu denklemi meşhur ısı denkleminden genişleterek çıkarmıştır. Bu denklemi daha önceden dalga denklemi olarak anılmaktaydı.
Önemi Nedir?
Bu denklem sayesinde karmaşık şablonlar basitleştirilebilir, temizlenebilir ve analiz edilebilir. Birçok sinyal analizi alanında önem taşımaktadır.
Modern Kullanımı Nedir?
Bilginin JPEG formatında saklanabilmesini ve moleküllerin yapısının keşfedilebilmesini sağlamaktadır. Optik görüntülerin, müzikal enstrümanların, kuantum mekanik sistemlerin anlaşılabilmesinde ve analizinde kullanılır. Ayrıca sinyal analizinde, ışık deneylerinde ve yüzey akımlarının radyasyonunun tespitinde geniş olarak kullanılır.
10) Navier-Stokes Denklemi
Ne Anlama Geliyor?
Denklemin sol tarafı küçük miktarda bir akışkanın ivmesidir, sağ tarafı da üzerine etki eden kuvvetleri belirler. Dolayısıyla bu denklem, Newton'un İkinci Yasası'nın akışkanlara genişletilmiş bir versiyonudur. Bu denklemde sol taraftaki ilk harf olan "ro", akışkan yoğunluğunu gösterir. Parantez içerisindeki "del v bölü del t" olarak okunan ifade, akışın hızının zamana göre değişimi, yani akışın ivmesidir. Parantez içerisindeki ikinci terim, akışın hızı ile akışın gradyanını (değişim vektörünü) birbiriyle çarpan ifadedir. Denklemin sağ tarafındaki ters üçgen, del operatörüdür. İlk terimde akışın basıncının del operatörü ile çarpımı alınır. Sonrasında ise aynı işlem, toplam stres tensörü ile yapılır ve sonunda bu iki terimin toplamına "f" ile ifade edilen vücut kuvvetleri eklenir.
Tarihi Nedir?
Leonhard Euler bir akışkan hareketini tanımlamaya çalışan ilk kişi oldu, ancak denkleme son halini Fransız mühendis Claude-Louis Navier ve İrlandalı matematikçi George Stokes vermiştir.
Önemi Nedir?
Bilgisayarlar bu denklemi çözebilecek kadar güçlü hale geldiğinde, fizik alanında karmaşık ve çok faydalı alanların açılmasını sağlamıştır. Özellikle araçların daha aerodinamik olarak üretilebilmesini mümkün kılmıştır.
Modern Kullanımı Nedir?
Birçok diğer teknoloji ile birlikte, modern yolcu jetlerinin yapılabilmesini sağlamıştır. Bunun haricinde akışkanların düzgün ve türbülanslı bir biçimde hareketinin analizinde kullanılır. Bu sayede, içerisinde akışkanların hareketini barındıran her türlü teknolojinin geliştirilebilmesini mümkün kılmıştır.
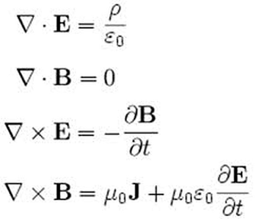
11) Maxwell Denklemleri

Ne Anlama Geliyor?
Elektrik ve manyetik alanlar arasındaki ilişkiyi gösterir. Bu denklemlerde "E" elektrik alanını, "H" (veya kimi kaynakta "B") manyetik alanı ifade eder. Yine "del" operatörü kullanılarak nokta (dot) ve çarpı (cross) çarpımları yapılmaktadır (bunlar vektörlerin birbiriyle çarpım biçimleridir). Denkleme göre del operatörü ile yapılan nokta çarpımı elektrik alanı için "ro" ile gösterilen elektrik yükü yoğunluğunun "epsilon sıfır" ile gösterilen dielektrik sabitine bölümüdür. Buna Gauss Yasası da denir. Aynı işlem manyetik alan için yapılacak olursa, sıfır elde edilir. Buna Gauss'un Manyetik Yasası da denir. Çarpı çarpımının sonucu ise görselin sağ tarafında gösterilen denklemleri verir ve elektrik alanı ile yapılan çarpım manyetik alanın zamana göre değişimini verir. Buna Faraday'ın Endüksiyon Yasası veya Maxwell-Faraday Denklemi de denir. Manyetik alana göre yapılan çarpım ise daha karmaşık bir denklem olan Amper'in Devre Yasasının Maxwell Doğrulaması olarak bilinen denklemi doğurur. Burada denklemin sağ tarafında "mü sıfır" olarak gösterilen boş uzayın geçirgenliği, "J" olarak gösterilen akım yoğunluğu, diğerleri ise daha önce bahsedilen özelliklerdir.
Tarihi Nedir?
Elektrik ve manyetik alanları birleştirmeye çalışan ilk kişi Michael Faraday'dır ve bu çabası ilk olarak James Clerk Maxwell tarafından denkleme dönüştürülmüştür. Bu keşif, fiziği temelden değiştirmiştir.
Önemi Nedir?
Elektromanyetik dalgaların tahmin edilmesini ve daha iyi anlaşılmasını sağlamıştır. Bu sayede, günümüzde kullandığımız birçok teknoloji mümkün olmuştur.
Modern Kullanımı Nedir?
Radar, televizyon ve modern iletişim bu denklem sayesinde mümkün olmuştur.
12) Termodinamik'in İkinci Yasası
Ne Anlama Geliyor?
İzole bir sistemin entropisinin (düzensizliğinin) asla azalamayacağını ve düzensizliğin sisteme enerji akışı olmadığı sürece daima artmak zorunda olduğunu gösteren denklemdir. Tüm sistemlerin termodinamik denge hali olan maksimum düzensizlik haline evrimleşmek zorunda olduğunu gösterir. Denklemdeki "dS" ifadesi, entropinin zamana bağlı değişimini ifade eder ve bu değişim her zaman pozitif olmak zorundadır. Yani karmaşıklık (düzensizlik) daima artar.
Tarihi Nedir?
Sadi Carnot, doğada geri döndürülebilir bir sürecin olmadığını keşfeden ilk kişidir. Matematikçi Ludwig Boltzmann bu yasayı geliştirmiştir ve William Thomson resmi olarak ilan etmiştir.
Önemi Nedir?
Enerjiyi ve evreni entropi (kaos, düzensizlik) çerçevesinde anlamamızı sağlayan denklemdir. Isıdan elde edebileceğimiz iş miktarını anlamamızı sağlamış, daha iyi buharlı makineler üretebilmemizi sağlamıştır.
Modern Kullanımı Nedir?
Maddenin atomlardan oluştuğunu ispatlamamızı sağlamıştır. Bu bile yeterli bir kullanım alanıdır; ancak bunun haricinde, otomobil motorlarının, buzdolaplarının geliştirilmesini sağlamıştır. Üstelik canlı-cansız sistemlerinin doğal davranışlarını anlamamızı ve canlılığın öncelikle cansızlıktan nasıl evrimleştiğini ve bunu nasıl sürdürdüğünü, sonrasında ise canlılığın açık sistemlerde kendi içerisinde nasıl evrimleşebileceğini anlamamızı sağlamıştır. Bu sayede evrene ve doğaya bakış açımızı değiştirmiştir. Bunun haricinde birçok kimyasal tepkimenin hangi ortam koşullarında, nasıl ve ne biçimde gerçekleştiğini anlayabilmemizi sağlamıştır. Isı ve enerji akışının olduğu her sistemin analizini mümkün kılmıştır.
13) Einstein'ın Görecelik Teorisi
Ne Anlama Geliyor?
Enerjinin, kütle ile ışık hızının karesinin çarpımına eşit olduğunu gösterir. Denklemin sol tarafındaki "E", enerjiyi ifade eder. Sağ tarafındaki "m" cismin kütlesini, "c" ise ışık hızını gösterir.
Tarihi Nedir?
Fiziğin içinden olmayan insanlar için daha az bilinen bir hikaye, Einstein'ın meşhur denkleminin Albert Michenson ve Edward Morley tarafından yapılan bir deneye dayanmasıdır. Bu deneyde ışığın referans düzlemleri açısından Newton fiziği ile açıklanamayan bir şekilde hareket ettiği gösterilmiştir. Einstein bu keşfin üzerinden giderek 1905 yılında özel görecelik, 1915 yılında genel görecelik kuramlarını ileri sürmüştür.
Önemi Nedir?
Muhtemelen insanlık tarihinin en meşhur denklemidir. Madde ve gerçeklik ile ilgili tüm görüşlerimizin değişmesini sağlamıştır.
Modern Kullanımı Nedir?
Nükleer silahlarda, GPS cihazlarında kullanılmaktadır. Günlük yaşamda teknolojik açıdan doğrudan çok fazla çıkarımı olmasa da, evrene bakışımızı değiştirmesi açısından büyük öneme sahiptir. Zaman ve uzayla ilgili algımızı yeniden yaratmış, zamanın bile farklı referans noktaları için farklı değerlere sahip olabileceğini, hiçbir şeyin mutlak olarak ölçülemeyeceğini ispatlamıştır.
14) Schrödinger Denklemi

Ne Anlama Geliyor?
Maddeyi bir parçacık yerine dalga olarak modellemeye yaramaktadır. Denklemin sl tarafındaki ifadede "i" karmaşık sayıyı, "çizgili h" indirgenmiş Planck sabiti olan 1.054x10-34 J.s değerini, "t" zamanı gösterir. Bu ifadeden çıkarılan "psi" harfi ise dalga fonksiyonunu ifade eder. Denklemin sağ tarafındaki "şapkalı H" ise Hamiltonyen operatördür ve bu durumda, dalga fonksiyonunun toplam enerjisini ifade eder ve duruma göre farklı sonuçlar verebilir.
Tarihi Nedir?
Louis-Victor de Broglie maddenin ikili yapısını 1924 yılında göstermiştir. Bu denklem ise Erwin Schrödinger tarafından 1927 yılında geliştirilmiştir ve Werner Heisenberg gibi fizikçilerin bulguları üzerine kuruludur.
Önemi Nedir?
Küçük boyutlardaki fizik algımızda devrim yaratmıştır. Parçacıkların belirli olasılık düzeylerinde bulunduğunu keşfetmemiz, fiziğe tamamen yeni bir yön vermiştir.
Modern Kullanımı Nedir?
Yarıiletkenler ve transistörlerde kullanılır. Bu sebeple modern bilgisayar teknolojilerinin temelinde yer alır. Ayrıca maddenin atomik yapısının net olarak anlaşılabilmesine imkan sağlamıştır. Dalga mekaniğinin en güçlü araçlarından biri bu denklemdir.
15) Shannon'un Bilgi Teorisi
Ne Anlama Geliyor?
Bir kodun bileşen sembollerinin olasılıklarından yola çıkarak o kod içerisindeki veri miktarını tahmin etmeye yarayan denklemdir. Denklemde sol tarafta yer alan ve "H" harfi gibi gözüken ama Yunan harflerinden biri olan "eta", entropiyi (düzensizliği) simgeler. Denklemin sağ tarafındaki büyük E gibi gözüken ifade, seri toplama ifadesidir. p(x) incelemekte olan fonksiyonu gösterir ve bu fonksiyon, seri toplama ifadesi altında aynı fonksiyonun logaritmasıyla çarpılmaktadır.
Tarihi Nedir?
Bell Laboratuvarları mühendislerinden Claude Shannon tarafından 2. Dünya Savaşı sırasında geliştirilmiştir.
Önemi Nedir?
Stewart'a göre: "Bilgi çağını başlatan denklem bu olmuştur." Mühendislerin çok verimli kodlar aramasına engel olarak, CD'lerden tutun da dijital iletişime kadar birçok teknolojiyi mümkün kılmıştır.
Modern Kullanımı Nedir?
Kodlar içerisinde hataların bulunabileceği hemen her yerde kullanılmaktadır.
16) Popülasyon Büyümesinin Lojistik Modeli
Ne Anlama Geliyor?
Bir türe ait popülasyonun nesiller içerisinde, kısıtlı kaynaklar dahilinde nasıl değişeceğini tahmin etmemizi sağlar. Denklemin sol tarafı verilen bir popülasyon büyüklüğünün belli bir zaman sonraki değerini ifade eder. Denklemin sağ tarafındaki "k" harfi popülasyonun büyüme oranını, "xt" ise birim zamanda popülasyonun büyümesinin, popülasyonun taşıma kapasitesine bölümünden elde edilen sonuçtur.
Tarihi Nedir?
Popülasyon büyümesinin kaosa neden olabileceğini ileri süren ilk kişi 1975 yılında Robert May olmuştur. Vladimir Arnold ve Stephen Smale gibi matematikçilerin çalışmaları sayesinde bu kaosun diferansiyel denklemlerle ifade edilebileceği anlaşıldı.
Önemi Nedir?
Kaos teorisinin geliştirilebilmesini sağlamıştır. Bu da, doğal sistemlerin nasıl işlediğine dair anlayışımızı tamamen değiştirmiştir.
Modern Kullanımı Nedir?
Depremlerin modellenmesinde ve hava durumunun tahmin edilmesinde kullanılmaktadır.
17) Black-Scholes Modeli
Ne Anlama Geliyor?
En risksiz biçimde fiyatın belirlenmesini ve bu belirlenen fiyatın ara kazanç fırsatı olmadan doğru fiyat olmasını sağlayan denklemdir. Denklemdeki "sigma" bir malın fiyatlarındaki dalgalanmayı, "S" malın fiyatını, "V" zamana ve mal fiyatına bağlı bir fonksiyonu, "r" yıllık risksiz faiz miktarını belirtir. Denklemde karmaşık bir türev hesabı yapılarak fiyatlar belirlenmeye çalışılmaktadır.
Tarihi Nedir?
İlk olarak Fischer Black ve Myron Scholes tarafından geliştirilmiştir ve sonrasında Robert Merton tarafından genişletilmiştir. Bu ikili, keşifleri sayesinde 1977 yılında Nobel Ekonomi Ödülü'nü almışlardır.
Önemi Nedir?
Günümüzde trilyon dolarlarla ifade edilebilen pazarların kurulmasını mümkün kılmıştır. Bu denklemlerin ve türevlerinin kötüye kullanımının ekonomik krize neden olduğu iddia edilmiştir. Bu denklemlerin, gerçek piyasada geçerli olmayan varsayımlarda bulunduğu bilinmektedir.
Modern Kullanımı Nedir?
Bu denklem ve türevleri halen ürünlerin fiyatlandırılmasında kullanılır.
18) Newton'un İkinci Yasası
Ne Anlama Geliyor?
Bir cisim üzerindeki net kuvvetlerin toplamının, o cismin kütlesi ile hızının değişiminin (ivmesinin) çarpımı olduğunu gösterir. Esasında Newton tarafından doğrusal momentumun değişiminin net kuvvete eşit olduğu şeklinde ifade edilmiştir. Ancak günümüzde o denklemden çıkarılan yukarıdaki denklem daha meşhur olarak bilinmektedir. Denklemde "F" net kuvveti, "m" cismin kütlesini, "a" ise ivmeyi gösterir.
Tarihi Nedir?
Dünya üzerinde insan tarafından yaratılan neredeyse istisnasız olarak tüm sistemlerin arkasında yer alan bu denklemin, ilk olarak Sir Isaac Newton tarafından keşfedilmediği düşünülmektedir. Hatta Newton, bu durumu "Bu kadar uzağı görebilmemin tek nedeni, benden önce gelen devlerin omuzlarında yükselmemdir." olarak izah etmektedir. Ancak bu denklemi meşhur eden, şüphesiz Newton'dur. Üstelik 1750 yılında bu denklem Leonhard Euler tarafından genelleştirilmiş ve kapsamı genişletilmiştir.
Önemi Nedir?
Daha önce de bahsettiğimiz gibi, günümüzde var olan neredeyse tüm mühendislik ürünlerinin arkasında bu formül veya bu formülden çıkarılan diğer denklemler yer almaktadır. Akışkanlardan tutun da robotiğe kadar, hareket halinde bulunan her cismin analizinde bu denkleme başvurulmaktadır. Eğer cisimlerin hareketleriyle o cisimler üzerine etki eden kuvvetler arasında bir bağ bulamasaydık, muhtemelen günümüz teknolojisi asla var olmayacaktı.
Modern Kullanımı Nedir?
Hareket halindeki tüm sistemlerin temel analizinde kullanılır. Bunun haricinde bu denklemin genişletilmiş versiyonu, uzaya çıkmak için kullandığımız roketlerin fırlatma analizlerinde, araçların dinamik yapılarının analizinde, kısaca içerisinde bir kuvvet ve bir hareket bulunduran tüm kütlelerin analizinde kullanılmaktadır.
19) Özel Görelilik Teorisi
Ne Anlama Geliyor?
Uzay ve zamanın birbirine nasıl bağlı olduğunu ortaya koyan teoridir. 2 temel ilkeye dayanır: ilki, tüm fizik yasalarının ivmesi olmayan her referans düzleminde aynı olduğudur. İkincisi ise vakum içerisinde ışığın hızının, ışık kaynağının hızından bağımsız olarak, tüm gözlemciler için eşit olduğudur. Buna bağlı olarak, zamanın tüm gözlemciler için aynı hızda akmadığı gerçeği ortaya çıkarılmıştır. Cisimlerin hızı arttıkça enerjileri de arttığı için, uzay-zaman üzerindeki etkilerinin değiştiğini ve bu sebeple 4. bir boyut olarak düşünülebilecek olan zamanın da bu bükülmeden etkilendiğini göstermektedir. Yalın haldeki bu denklemde "v", bir cismin hızını, "c" ışık hızı sabitini, "t" referans düzlemindeki zamana, t' ise gözlemci tarafından deneyimlenen zamanı gösterir. Gözlemcinin hızı ışık hızına yaklaştıkça, zaman onun için yavaşlar ve ışık hızına ulaşıldığında tamamen durur.
Tarihi Nedir?
Newton mekaniğinin çıkarımlarının Maxwell tarafından geliştirilen elektromanyetizma denklemleri ile uyumlu olmadığının görülmesi, uzay-zaman algımızın hatalı olduğuna dair ilk soru işaretlerini doğurmuştu. Einstein, bu konu üzerine uzun yıllar kafa yorarak, sonunda 1905 yılında yazdığı "Hareket Eden Kütlelerin Elektrodinamikleri Üzerine" başlıklı makalesinde Özel Görelilik Teorisi'ni ortaya koydu. Bu teori sayesinde, Newton'un Kütleçekim Teorisi'nin çok sınırlı olduğu, Evren'in sandığımızdan çok daha farklı bir yapıda olduğu anlaşıldı. "Özel" denmesinin nedeni, görelilik prensibinin özel bir vakaya, "ivmeye sahip referans düzlemleri"ne uyarlanmış olmasıdır. Yoksa cisimlerin birbirlerine göre gözledikleri hızların farklı olduğu Gelileo'dan beri zaten biliniyordu; ancak bunun tüm fiziğin temellerini etkileyebileceği fark edilmemişti.
Önemi Nedir?
Tıpkı az sonra göreceğimiz gibi, Genel Görelilik Teorisi ile birlikte modern fiziğin temellerini atan teoridir. Newton Mekaniği'nin yeterince isabetli ve geçerli olmadığını göstermiştir. Bu teori sayesinde, Newton mekaniğini ve teorisinin, çok düşük hızlarda (genelde günlük yaşantıda gördüğümüz cisimlerin ve deneyimlediğimiz olayların hızında) geçerli bir yakınsama olduğu gösterildi. Işık büzülmesinden zamanın yavaşlamasına kadar, kütle ve enerjinin eş olduğu gerçeğinden evrensel bir hız limiti olduğunun (ışık hızı) keşfine sayısız kavramın keşfedilmesinin önünü açmıştır. Özel Görelilik Teorisi, diğer fizik kuralları ile birleştirildiğinde daha önce işlediğimiz meşhur "E=mc2" denklemini doğurmaktadır.
Modern Kullanımı Nedir?
GPS gibi teknolojiler, Özel Görelilik Teorisi sayesinde mümkün olmuştur. Aynı zamanda birçok hava tahmini aracı ve uydusu, bu teoriden faydalanarak geliştirilmektedir. Dahası, Hubble tarafından yapılan evrenin sürekli genişleyeceğinin keşfi (halen tartışmalar olsa da), evrenin yaşının hassas biçimde hesaplanabilmesi, zaman yolculuğuna dair ilk sağlam temelli teorik fikirlerin geliştirilebilmesi, karadeliklerin davranışlarının çok daha net şekilde anlaşılabilmesi, Büyük Patlama'dan hemen sonra oluştuğu düşünülen kütleçekim dalgalarının doğasına yönelik hesaplamalar, bazı uzay teleskoplarının hassas kütleçekim lensi ayarları, atomdan enerji üretebileceğimiz gerçeği ve dolayısıyla tüm nükleer santraller (ve atom bombaları) ve en önemlisi, Kuantum Mekaniği'ne yönelik ilk temeller bu teori sayesinde mümkün olmuştur.
20) Genel Görelilik Teorisi ve Einstein'ın Alan Denklemleri

Ne Anlama Geliyor?
Toplamda 10 denklemden oluşan Einstein'ın Alan Denklemleri, uzay-zamanın madde ve enerji dolayısıyla bükülebileceğini öngören ve kütleçekiminin temel etkileşimlerini formülize eden bir denklemdir. Her ne kadar oldukça sade gözükse de, aslında son derece karmaşıktır. Denklemde "Rμν" Ricci eğim tensörü denen ve uzay-zaman geometrisini tanımlamak için kullanılan bir faktörü, "R" uzay-zamanın skalar eğimini, "gμν" metrik bir tensörü, "Λ" kozmolojik sabiti, "G" Newton'un kütleçekim sabitini, "c" ışık hızını, "Tμν" ise stres-enerji tensörünü göstermektedir. Tensörler, yönü ve şiddeti bilinen vektörler ile, sadece şiddeti bilinen skalarlar ve kendileri gibi diğer tensörler arasındaki doğrusal (lineer) ilişkileri tanımlayan geometrik objelerdir. Basitçe, bir fiziksel olgunun birbiriyle ilişkili özelliklerini birbirine bağlayan matematiksel ifadeler olarak düşünülebilir. Denklem, evrenimizin uzay-zaman dokusunun içerdiği enerji ile bu dokunun geometrik yapısı arasındaki ilişkiyi gösterir.
Tarihi Nedir?
Albert Einstein tarafından 1916 senesinde yayınlanan Genel Görelilik Teorisi, kütleçekimin geometrik bir teorisi olarak düşünülebilir. Modern fizikte halen geçerli kabul edilen kütleçekim kuramıdır. Einstein, 1905 yılında Özel Görelilik Teorisi'ni geliştirdikten sonra, kütleçekimini de her şeyin göreli olduğu düşüncesine dahil etmeye çalıştı. 1907 senesinde basit bir düşünce deneyiyle yola çıkan Einstein, 8 yıl boyunca Genel Görelilik Teorisi üzerine çalıştı ve sonunda başarıya ulaştı. Uzay Teleskobu Bilim Enstitüsü'nden astrofizikçi Mario Livio, "Tek bir matematiksel denklemin bütün uzay ve zamanı açıklayabilmesi beni halen şaşırtır. Einstein'ın bütün dehası, bu denklemde gizlidir." demektedir.
Önemi Nedir?
Bu denklem, Newton Fiziği'ni genelleştirmesi ve Newton'un öngörülerinin gerçekleri tam olarak yansıtmadığını göstermesi bakımından çok büyük öneme sahiptir. Einstein'ın Görelilik Teorisi'ni geliştirmesine kadar, Newton'un yaptığı açıklamalar ve geliştirdiği fiziğin, evrenin dinamiklerini anlamak konusunda nihai ve değişmez, hiçbir hatası olmayan açıklamalar ve hesaplamalar olduğu sanılıyordu. Ancak bu teori, bilim insanlarının Newton'un büyük resmin sadece ufacık bir noktasını gördüğünü anlamasını sağladı. Bu, bilimin gidişatını kökünden değiştiren büyük bir keşifti. O güne kadar "Newton Kanunu" olarak bilinen kütleçekimine yönelik açıklamalar, o tarihten sonra "Newton'un Kütleçekimi Teorisi" olarak anılmaya başlanmıştır. Çünkü bilimsel açıklamaların doruk noktasının kanunlar değil, teoriler olduğu netleşmiş, eskiden kanun olarak gördüğümüz her şeyin değişebileceği anlaşılmış, teorilerin kanunları kapsayan, açıklayıcı gücü kanunlardan kat kat fazla olan bilimsel bilgi bütünleri olduğuna kanaat getirilmiştir. Bu denklem, ışık hızından çok düşük hızlar için hesaplandığında, Newton'un geliştirdiği kütleçekim denklemine indirgenebilmektedir. Dolayısıyla Einstein'ın bu denklemi, tartışmaya yer bırakmaksızın Newton'un denkleminden daha kapsamlı ve güçlüdür.
Modern Kullanımı Nedir?
Günümüzdeki astronomik gözlemlerin ve ölçümlerin neredeyse tamamı Einstein'ın Genel Görelilik Kuramı'na dayanmaktadır. Örneğin uzay-zamanın büyük kütleli veya enerjili cisimler tarafından bükülebileceği fikri sayesinde, uzak yıldızlardan gelen ışıkların bükülmüş bir uzay-zamandan geçerek, orijinalinden sapmış bir şekilde bize ulaştığını keşfettik. Benzer şekilde, Dünya'nın ve diğer gezegenlerin Güneş etrafında nasıl döndüğünü de bu teori sayesinde isabetli olarak izah edebildik. Newton'un düşündüğünün aksine çekim kuvvetinden ötürü değil, uzay-zamanın büyük kütleli cisimler tarafından bükülmesi sonucu yörüngelerin oluştuğunu anladık. Ayrıca Evren'imizin doğal başlangıcını açıklayan Büyük Patlama Kuramı'nın büyük bir kısmı da Einstein'ın Genel Görelilik Teorisi üzerine kuruludur. Örneğin Einstein, Büyük Patlama'dan hemen sonra, uzay-zaman dokusundaki "buruşmalar" olarak basitleştirilebilecek kütleçekim dalgalarını öngörmüştür ve bu öngörüsü 2014 yılındaki bulgularla büyük oranda doğrulanmıştır. Ayrıca gök cisimlerinin hareketleri ve birbirleriyle ilişkisi konusunda yüzlerce yeni keşfin kapısını bu teori aralamıştır. Karadeliklerin dinamikleriyle ilgili sayısız keşfe imza atmamızı sağlamıştır. Dahası, kozmolojik modellerin güncellenmesini ve yepyeni kozmos modelleri geliştirilmesini sağlamıştır. Evren'in başlangıcından beri nasıl evrimleştiğini izah edebilmemizi sağlamıştır. Astrofiziği ve kozmolojiyi kökünden değiştirmiştir. Dahası, teorinin "tarihsel ve felsefi" bir önemi de, bilim terminolojisine etki ederek "teori-kanun" ayrımını netleştirmesi olmuştur.
21) Standart Model
Ne Anlama Geliyor?
Denklemin daha uzun ve açık bir versiyonuna buraya tıklayarak ulaşılabilir. Kuantum Mekaniği'nin en önemli ve geçerli modellerinden biri olan Standart Model, kuarklar gibi Evren'imizi oluşturan temel parçacıkların varlığını, birbirleriyle etkileşimini ve dinamiklerini izah etmektedir. Yani "Evren'in denklemi" olarak düşünülebilir. Ancak henüz tamamlanmamıştır. Denklemdeki tüm terimleri izah etmeyeceğiz; ancak eşitliğin sağ tarafındaki ilk terim topluluğu ölçüm bozonlarının kendi içlerindeki etkileşimlerini ve kinetik enerjilerini göstermektedir. İkinci terim topluluğu fermiyonlar arasındaki elektro-zayıf etkileşimleri ve kinetik enerjileri göstermektedir. Üçüncü terim grubu çeşitli bozonların (W, Z ve Higgs gibi) kütlesini ve birbirleriyle olan ilişkilerini modellemektedir. Dördüncü terim grubu kuarklar ve gluonlar arasındaki etkileşimleri göstermektedir. Son terim grubu ise fermiyon kütlelerini ve bunların Higgs ile bağlantısını göstermektedir.
Tarihi Nedir?
Standart modele ilk adım Sheldon Glashow'un 1961 yılında elektromanyetizma ile zayıf çekirdek kuvvetini birleştirebileceğini keşfetmesiyle atıldı. 1967 yılında Steven Weinberg ve Abdus Salam, Higgs mekanizmasını Glashow'un elektro-zayıf teorisine dahil etmeyi başardı. Böylece model, modern halini aldı. Higgs mekanizmasının cisimlerin nasıl kütle kazandığını açıkladığı düşünülmektedir. Kütleli bu parçacıklar arasında W ve Z bozonları ve fermiyonlar (kuarklar ve leptonlar) bulunmaktadır. CERN'de 1973 senesinde Z bozonları tarafından nötral zayıf akıntıların oluşturulduğu keşfedildikten sonra elektro-zayıf teorinin kaşifleri Glashow, Salam ve Weinberg'e 1979 yılında Nobel Fizik Ödülü verildi. W ve Z bozonlarının varlığı 1981 yılında deneysel olarak ispatlandı ve kütlelerinin tam da Standart Model ile tahmin edildiği gibi olduğu doğrulandı. 1973-74 yıllarında güçlü çekirdek kuvveti de, hadronların kesirli yüklere sahip parçacıklar olduğunun deneysel olarak doğrulanması sonrasında denkleme dahil edilebildi. Şu anda tek sorun, kütleçekimini, yani Einstein'ın Görelilik Teorisi'ni bu denkleme dahil etmektedir. Bu konuda araştırmalar halen devam ediyor.
Önemi Nedir?
Kaliforniya'da bulunan SLAC Ulusal Hızlandırıcı Laboratuvarı'nda çalışmakta olan fizikçi Lance Dixon'a göre denklem, laboratuvarda (ve günlük yaşantılarımızda) bugüne kadar gözlenmiş bütün parçacıkların ve kuvvetlerin (kütleçekimi hariç) tanımını yapabilmektedir. Bu, denklemin gücünü göstermektedir. Denklem, Higgs bozonunu da barındırmaktadır ve denklem içerisinde "Φ" ile gösterilen budur. Denklem, kuantum mekaniği ve özel görelilik teorisi ile tamamen uyumludur ve onları içerisinde barındırmaktadır.
Modern Kullanımı Nedir?
Bütün modern kozmolojik araştırmaların kalbinde Standart Model yatmaktadır. Atom altı parçacıkların boyutundan başlayarak, tüm evrenin nasıl doğal süreçlerle oluşabildiğini açıklayabilmemizin temel kaynağı bu modeldir. Bu sayede, atom altı parçacıkların davranışlarını ve özelliklerini keşfedebilmeyi başardık. Dahası, henüz deneysel olarak doğrulayamadığımız; ancak olması gerektiği bu denklem sayesinde gösterilen birçok parçacığı keşfetmemizi sağlamıştır. Örneğin bu denklem üzerinde yapılan çalışmalar sayesinde belli bir parçacığın belli bir enerji düzeyinde görülmesi gerektiği anlaşılabilir. Sonradan, hızlandırıcı ve çarpıştırıcılarda yapılan deneylerle, bu denklemin öngörüleri doğrulanabilir. Böylece yepyeni parçacıklar keşfetmemiz ve var olan parçacıkların davranışlarını açıklayabilmemiz mümkün olmuştur. Evren'in yapıtaşlarını oluşturan parçacıkları ne kadar iyi tanırsak, nereden geldiğimizi ve nasıl var olduğumuzu o kadar net bir şekilde açıklayabiliriz. Standart Model, "Evren nasıl var oldu?" sorusunun nihai bilimsel cevabını verebilmeye en güçlü adaydır.


Evrim Ağacı'nda tek bir hedefimiz var: Bilimsel gerçekleri en doğru, tarafsız ve kolay anlaşılır şekilde Türkiye'ye ulaştırmak. Ancak tahmin edebileceğiniz gibi Türkiye'de bilim anlatmak hiç kolay bir iş değil; hele ki bir yandan ekonomik bir hayatta kalma mücadelesi verirken...
O nedenle sizin desteklerinize ihtiyacımız var. Eğer yazılarımızı okuyanların %1'i bize bütçesinin elverdiği kadar destek olmayı seçseydi, bir daha tek bir reklam göstermeden Evrim Ağacı'nın bütün bilim iletişimi faaliyetlerini sürdürebilirdik. Bir düşünün: sadece %1'i...
O %1'i inşa etmemize yardım eder misiniz? Evrim Ağacı Premium üyesi olarak, ekibimizin size ve Türkiye'ye bilimi daha etkili ve profesyonel bir şekilde ulaştırmamızı mümkün kılmış olacaksınız. Ayrıca size olan minnetimizin bir ifadesi olarak, çok sayıda ayrıcalığa erişim sağlayacaksınız.
Makalelerimizin bilimsel gerçekleri doğru bir şekilde yansıtması için en üst düzey çabayı gösteriyoruz. Gözünüze doğru gelmeyen bir şey varsa, mümkünse güvenilir kaynaklarınızla birlikte bize ulaşın!
Bu makalemizle ilgili merak ettiğin bir şey mi var? Buraya tıklayarak sorabilirsin.
Soru & Cevap Platformuna Git- 34
- 21
- 19
- 17
- 11
- 10
- 9
- 2
- 1
- 1
- 1
- 1
- Türev İçerik Kaynağı: Business Insider | Arşiv Bağlantısı
- Curiosity. Discoveries The Theory Of Relativity Made Possible. (25 Eylül 2014). Alındığı Tarih: 11 Mayıs 2019. Alındığı Yer: Curiosity | Arşiv Bağlantısı
- C. Moskowitz. The World's Most Beautiful Equations. (29 Ocak 2013). Alındığı Tarih: 11 Mayıs 2019. Alındığı Yer: Live Science | Arşiv Bağlantısı
Evrim Ağacı'na her ay sadece 1 kahve ısmarlayarak destek olmak ister misiniz?
Şu iki siteden birini kullanarak şimdi destek olabilirsiniz:
kreosus.com/evrimagaci | patreon.com/evrimagaci
Çıktı Bilgisi: Bu sayfa, Evrim Ağacı yazdırma aracı kullanılarak 21/10/2025 21:52:02 tarihinde oluşturulmuştur. Evrim Ağacı'ndaki içeriklerin tamamı, birden fazla editör tarafından, durmaksızın elden geçirilmekte, güncellenmekte ve geliştirilmektedir. Dolayısıyla bu çıktının alındığı tarihten sonra yapılan güncellemeleri görmek ve bu içeriğin en güncel halini okumak için lütfen şu adrese gidiniz: https://evrimagaci.org/s/17
İçerik Kullanım İzinleri: Evrim Ağacı'ndaki yazılı içerikler orijinallerine hiçbir şekilde dokunulmadığı müddetçe izin alınmaksızın paylaşılabilir, kopyalanabilir, yapıştırılabilir, çoğaltılabilir, basılabilir, dağıtılabilir, yayılabilir, alıntılanabilir. Ancak bu içeriklerin hiçbiri izin alınmaksızın değiştirilemez ve değiştirilmiş halleri Evrim Ağacı'na aitmiş gibi sunulamaz. Benzer şekilde, içeriklerin hiçbiri, söz konusu içeriğin açıkça belirtilmiş yazarlarından ve Evrim Ağacı'ndan başkasına aitmiş gibi sunulamaz. Bu sayfa izin alınmaksızın düzenlenemez, Evrim Ağacı logosu, yazar/editör bilgileri ve içeriğin diğer kısımları izin alınmaksızın değiştirilemez veya kaldırılamaz.