Kesirli Türev Nedir?

Bu Makalede Neler Öğreneceksiniz?
- Explain how fractional calculus generalizes the concepts of derivative and integral to non-integer orders, forming the field of fractional analysis.
- Describe the Riemann-Liouville fractional derivative as one of the most well-known definitions within fractional calculus, involving integrals with fractional order α between 0 and 1.
- Highlight the existence of multiple definitions for fractional derivatives and integrals, such as Riemann-Liouville and Caputo, each with distinct properties and challenges.
Analiz alanının doğduğu 17. yüzyıldan itibaren fizik ve matematik adeta çağ atlamıştır. Kuşkusuz ki analizin en önemli kavramları limit, türev ve integraldir. Dolayısıyla, günümüze kadar pek çok matematikçi, bu kavramlara alternatif tanımlar getirmek için çaba sarf etmiştir.
Matematikte her kavramın başına geldiği gibi, bu kavramlar da bazı genelleştirmelere uğramıştır. Bu yazımızda türev kavramının kesirli mertebelere nasıl genelleştirildiğini anlatacağız ve bu genelleştirmelerin bazı sorunlara sahip olduğundan bahsedeceğiz.
Türev ve integral kavramlarının kesirli sayılara genelleştirilmesiyle ortaya çıkan dala kesirli analiz ismi verilir. Bildiğimiz analizin aksine, kesirli analizde tek bir kesirli türev ve kesirli integral tanımı yoktur. Bu yazımızda en bilinen Riemann Liouville ve Caputo kesirli türevlerinden bahsedeceğiz.
Riemann-Liouville Kesirli Türevi
Tanım: Riemann-Liouville Kesirli İntegrali
Pozitif gerçek sayılar kümesi üzerinde tanımlı integrallenebilir ff fonksiyonu ve α∈(0,1]\alpha\in\left(0,1\right] sabiti verilmiş olsun.[1] ff fonksiyonunun bir (0,t)\left(0,t\right) aralığındaki Riemann-Liouville kesirli integrali (kesirli yerine α−\alpha-integrali de denir) şöyle tanımlanır:
I0+αf=1Γ(α)∫0tf(τ)(t−τ)1−αdτ\displaystyle I_{0+}^{\alpha}f=\frac{1}{\Gamma(\alpha)}\int_0^t \frac{f(\tau)}{(t-\tau)^{1-\alpha}}d \tau
Burada Γ(α)=∫0∞xα−1e−xdx\Gamma(\alpha)=\int_0^{\infty}x^{\alpha-1}e^{-x}dx olarak tanımlanan Gamma fonksiyonudur.[2]
Tanım: Riemann-Liouville Kesirli Türevi
Pozitif gerçek sayılar kümesi üzerinde tanımlı sürekli ff fonksiyonu ve α∈(0,1]\alpha\in\left(0,1\right] sabiti verilmiş olsun. ff fonksiyonunun Riemann-Liouville kesirli türevi (kesirli yerine α−\alpha-türevi de denir) şöyle tanımlanır:[2]
D0+αf=ddtI0+1−αfD_{0+}^{\alpha}f=\frac{d}{dt}I_{0+}^{1-\alpha}f
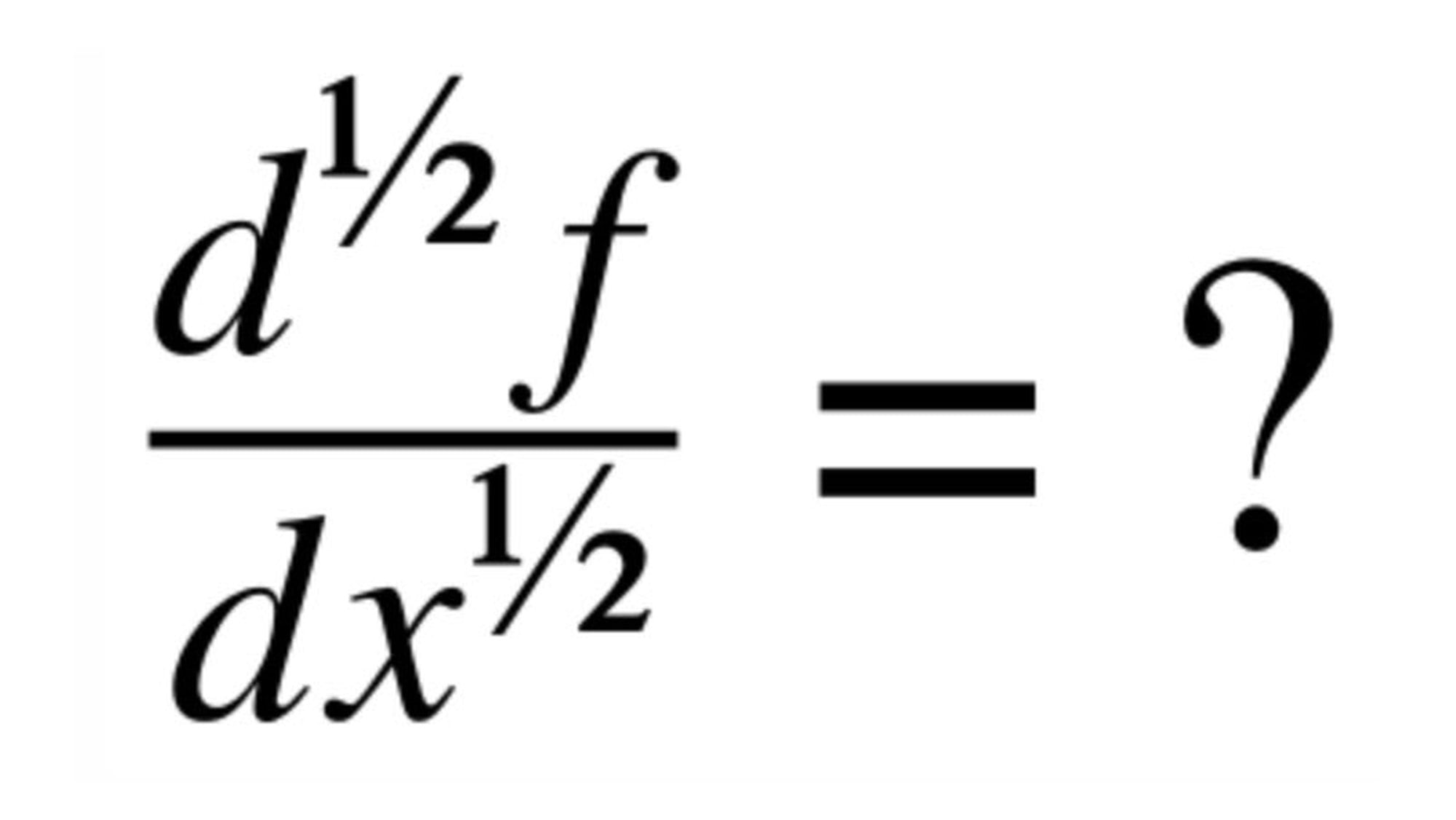
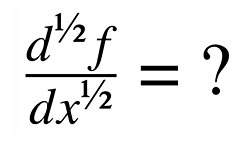
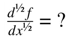
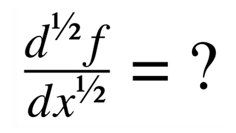
Bu tanımların esas amacı, "türev" kavramını kesirli mertebelere genelleştirmektir. Örneğin bu yöntemler sayesinde, bir fonksiyonun 3. mertebeden değil de 12.\frac{1}{2}. mertebeden türevini hesaplamanız mümkün olmaktadır.
Riemann-Liouville türevi, bildiğimiz türevin pek çok özelliğini sağlar. Örneğin ff ve gg fonksiyonlarının Riemann-Liouville türevinin ("R-L türevi" diye kısaltılabilir) tanımlı olduğunu varsayalım. O halde bu iki fonksiyonun çarpımı fgfg fonksiyonunun da R-L türevi tanımlıdır ve bu türev, D0+α(fg)=fD0+αg+gD0+αfD_{0+}^{\alpha}(fg)=fD_{0+}^{\alpha}g+gD_{0+}^{\alpha}f olarak hesaplanır.[3] Bu, tıpkı iki fonksiyonun çarpımının türevi gibidir. Hatta R-L türevi için bir zincir kuralı dahi mevcuttur. Buna bakalım:
Tanım: R-L Türevi İçin Zincir Kuralı
Uygun aralıkta R-L türevi tanımlı ff ve gg fonksiyonlarının bileşkesi olan f∘gf\circ g fonksiyonunun da R-L türevi tanımlıdır.[4] Bu türev, şöyle tanımlanır:[5]
Aslında maddi destek istememizin nedeni çok basit: Çünkü Evrim Ağacı, bizim tek mesleğimiz, tek gelir kaynağımız. Birçoklarının aksine bizler, sosyal medyada gördüğünüz makale ve videolarımızı hobi olarak, mesleğimizden arta kalan zamanlarda yapmıyoruz. Dolayısıyla bu işi sürdürebilmek için gelir elde etmemiz gerekiyor.
Bunda elbette ki hiçbir sakınca yok; kimin, ne şartlar altında yayın yapmayı seçtiği büyük oranda bir tercih meselesi. Ne var ki biz, eğer ana mesleklerimizi icra edecek olursak (yani kendi mesleğimiz doğrultusunda bir iş sahibi olursak) Evrim Ağacı'na zaman ayıramayacağımızı, ayakta tutamayacağımızı biliyoruz. Çünkü az sonra detaylarını vereceğimiz üzere, Evrim Ağacı sosyal medyada denk geldiğiniz makale ve videolardan çok daha büyük, kapsamlı ve aşırı zaman alan bir bilim platformu projesi. Bu nedenle bizler, meslek olarak Evrim Ağacı'nı seçtik.
Eğer hem Evrim Ağacı'ndan hayatımızı idame ettirecek, mesleklerimizi bırakmayı en azından kısmen meşrulaştıracak ve mantıklı kılacak kadar bir gelir kaynağı elde edemezsek, mecburen Evrim Ağacı'nı bırakıp, kendi mesleklerimize döneceğiz. Ama bunu istemiyoruz ve bu nedenle didiniyoruz.
D0+α(f∘g)=D0+1(f(g))D0+αgD_{0+}^{\alpha}(f\circ g)=D_{0+}^1(f(g))D_{0+}^{\alpha}g
Bildiğimiz türev kavramı ile tıpa tıp aynı özelliklere sahip olan R-L türevi, ne yazık ki bir noktada normal türevden ayrılır. Bu ayrım, göz ardı edilemeyecek kadar büyük fakat böylesi güçlü özellikleri sağlayıp da bu özelliği sağlamadığından dolayı aynı zamanda "gülünç" bir ayrımdır: Normalde f(x)=cf(x)=c sabit fonksiyonunun herhangi bir mertebeden türevinin 00 olduğunu biliyoruz ancak R-L türevinde iş biraz değişmektedir. Örneğin α=12\alpha=\frac{1}{2} alırsak, sabit fonksiyonumuzun R-L türevi şöyle hesaplanır:
D0+12c=1Γ(12)ddt∫0tc(t−τ)dτ\displaystyle D_{0+}^{\frac{1}{2}}c=\frac{1}{\Gamma(\frac{1}{2})}\frac{d}{dt}\int_0^t \frac{c}{\sqrt{(t-\tau)}}d \tau
Burada Γ(12)=π\Gamma(\frac{1}{2})=\sqrt{\pi} olduğunu biliyoruz. Dolayısıyla bu işlemin sonucu
D0+12c=1πddt(2ct)=cπt\displaystyle D_{0+}^{\frac{1}{2}}c=\frac{1}{\sqrt{\pi}}\frac{d}{dt}(2c\sqrt{t})=\frac{c}{\sqrt{\pi t}} olarak hesaplanır. Açıkça görülür ki bu sonuç, sıfıra eşit değildir. Fakat bizim bildiğimiz normal türevde sabitin türevinin sıfır olduğunu biliyoruz. Fakat R-L türevinde sıfır olmak zorunda değildir, hatta α≠1\alpha\neq 1 olduğu sürece hiçbir zaman sıfır değildir.
Bu sebeple, R-L türevi ile bildiğimiz türev birbirinden ayrılır dolayısıyla R-L türevine "türevin genelleştirmesi" sıfatını uyduramayız, bu büyük bir hata olur.
Caputo Kesirli Türevi
R-L türevindeki bazı aksaklıklara istinaden Michele Caputo isimli bir jeofizikçi, 1967 yılında yayınladığı bir makalesinde kendi soy ismini koyduğu Caputo kesirli türevini tanımlamıştır. Caputo türevi için de normal türevin genelleştirmesi diyemesek de R-L türevindeki büyük bir sorun olan sabitin türevinin sıfır olmaması sorununu gidermiştir. Bundan dolayı Caputo türevi son zamanlarda özellikle diferansiyel geometride Frenet çatısını genelleştirmede kullanıldığından epey popülerleşmiştir.
Tanım: Caputo Kesirli Türevi
Pozitif gerçek sayılar kümesi üzerinde tanımlı sürekli ff fonksiyonu ve α∈(0,1]\alpha\in\left(0,1\right] sabiti verilmiş olsun. ff fonksiyonunun Caputo kesirli türevi (kesirli yerine α−\alpha- türevi de denir) şöyle tanımlanır:[2]
CD0+αf=1Γ(1−α)∫0tf′(τ)(t−τ)αdτ\displaystyle ^CD_{0+}^{\alpha}f=\frac{1}{\Gamma(1-\alpha)}\int_0^t\frac{f'(\tau)}{(t-\tau)^{\alpha}}d\tau
Caputo türevinde bahsettiğimiz gibi sabitin Caputo türevi sıfırdır ve bunun nedeni açıktır: f(t)=cf(t)=c sabit fonksiyonunun türevini aldığımızda f′(t)=0f'(t)=0 olacaktır. Bunu Caputo türevinde yerine koyduğumuzda, integralin sonucu da 00 geleceğinden, Caputo türevinin değeri 00 olacaktır. Fakat Caputo türevinin de dezavantajı, bir zincir kuralının tanımlı olmamasıdır.
Evrim Ağacı'nda tek bir hedefimiz var: Bilimsel gerçekleri en doğru, tarafsız ve kolay anlaşılır şekilde Türkiye'ye ulaştırmak. Ancak tahmin edebileceğiniz gibi Türkiye'de bilim anlatmak hiç kolay bir iş değil; hele ki bir yandan ekonomik bir hayatta kalma mücadelesi verirken...
O nedenle sizin desteklerinize ihtiyacımız var. Eğer yazılarımızı okuyanların %1'i bize bütçesinin elverdiği kadar destek olmayı seçseydi, bir daha tek bir reklam göstermeden Evrim Ağacı'nın bütün bilim iletişimi faaliyetlerini sürdürebilirdik. Bir düşünün: sadece %1'i...
O %1'i inşa etmemize yardım eder misiniz? Evrim Ağacı Premium üyesi olarak, ekibimizin size ve Türkiye'ye bilimi daha etkili ve profesyonel bir şekilde ulaştırmamızı mümkün kılmış olacaksınız. Ayrıca size olan minnetimizin bir ifadesi olarak, çok sayıda ayrıcalığa erişim sağlayacaksınız.
Makalelerimizin bilimsel gerçekleri doğru bir şekilde yansıtması için en üst düzey çabayı gösteriyoruz. Gözünüze doğru gelmeyen bir şey varsa, mümkünse güvenilir kaynaklarınızla birlikte bize ulaşın!
Bu makalemizle ilgili merak ettiğin bir şey mi var? Buraya tıklayarak sorabilirsin.
Soru & Cevap Platformuna Git- 2
- 1
- 1
- 1
- 1
- 0
- 0
- 0
- 0
- 0
- 0
- 0
- ^ Chinese University of Hong Kong. Riemann Integration. Alındığı Tarih: 16 Temmuz 2021. Alındığı Yer: Chinese University of Hong Kong | Arşiv Bağlantısı
- ^ a b c T. Yajima, et al. (2018). Geometry Of Curves With Fractional-Order Tangent Vector And Frenet-Serret Formulas. Fractional Calculus and Applied Analysis, sf: 1493-1505. doi: 10.1515/fca-2018-0078. | Arşiv Bağlantısı
- ^ D. Bolster, et al. (2012). Product Rule For Vector Fractional Derivatives. Fractional Calculus & Applied Analysis, sf: 466. | Arşiv Bağlantısı
- ^ T. J. Osler. (2012). The Fractional Derivative Of A Composite Function. SIAM Journal on Mathematical Analysis, sf: 288-293. doi: 10.1137/0501026. | Arşiv Bağlantısı
- ^ V. E. Tarasov. (2016). On Chain Rule For Fractional Derivatives. Communications in Nonlinear Science and Numerical Simulation, sf: 1-4. doi: 10.1016/j.cnsns.2015.06.007. | Arşiv Bağlantısı
Evrim Ağacı'na her ay sadece 1 kahve ısmarlayarak destek olmak ister misiniz?
Şu iki siteden birini kullanarak şimdi destek olabilirsiniz:
kreosus.com/evrimagaci | patreon.com/evrimagaci
Çıktı Bilgisi: Bu sayfa, Evrim Ağacı yazdırma aracı kullanılarak 06/10/2025 21:35:42 tarihinde oluşturulmuştur. Evrim Ağacı'ndaki içeriklerin tamamı, birden fazla editör tarafından, durmaksızın elden geçirilmekte, güncellenmekte ve geliştirilmektedir. Dolayısıyla bu çıktının alındığı tarihten sonra yapılan güncellemeleri görmek ve bu içeriğin en güncel halini okumak için lütfen şu adrese gidiniz: https://evrimagaci.org/s/10739
İçerik Kullanım İzinleri: Evrim Ağacı'ndaki yazılı içerikler orijinallerine hiçbir şekilde dokunulmadığı müddetçe izin alınmaksızın paylaşılabilir, kopyalanabilir, yapıştırılabilir, çoğaltılabilir, basılabilir, dağıtılabilir, yayılabilir, alıntılanabilir. Ancak bu içeriklerin hiçbiri izin alınmaksızın değiştirilemez ve değiştirilmiş halleri Evrim Ağacı'na aitmiş gibi sunulamaz. Benzer şekilde, içeriklerin hiçbiri, söz konusu içeriğin açıkça belirtilmiş yazarlarından ve Evrim Ağacı'ndan başkasına aitmiş gibi sunulamaz. Bu sayfa izin alınmaksızın düzenlenemez, Evrim Ağacı logosu, yazar/editör bilgileri ve içeriğin diğer kısımları izin alınmaksızın değiştirilemez veya kaldırılamaz.