Elektrik Alanı Nedir?

- Özgün
- Elektromanyetizma
Bu Makalede Neler Öğreneceksiniz?
- Explain three key properties of electric charges: two types (+ and -), quantization of charge values, and conservation of total electric charge.
- Describe how electric charges create electric fields around objects and influence electrostatic forces, fundamental to many phenomena.
- Apply the superposition principle to calculate net electrostatic forces on charges by vectorially adding forces from multiple charges.
Elektrik alanların oluşumu elektrik yüklerine dayanır. Herhangi bir elektrik yüküne sahip nesne - bir atom altı parçacık veya büyük bir obje - etrafındaki uzayda elektrik alanı oluşturur. Elektrik alan, elektrostatik kuvvetin en temel ögelerinden biri olup evrende meydana gelen sayısız olayda çok büyük bir rol oynamaktadır. Elektrik alanın ne olduğunu kavrayabilmek için elektrik yüklerini daha iyi anlamamız gerekmektedir. Elektrik yükleriyle ilgili üç önemli özellik vardır:
- Elektrik yüklerinin iki türü vardır: Bu iki yükün etkisi birbirini sıfırladığı için bunlara + (artı) ve - (eksi) adı verilmiştir.
- Elektrik yükleri kuantizedir: Bir elektrik yükünün değerine e dersek, bir parçacık veya objenin alabileceği elektrik yük değeri "a×ea\times{e} " olur. "a" burada bir tam sayıdır. Bir parçacığın yükü 3e ya da -12e olabilir ama 3.534e ya da 1/3e olamaz.
- Tıpkı enerji, kütle ve momentumun korunması gibi, elektrik yükleri de korunumludur. Bu cümleden kastımız şudur: Her an için evrendeki elektrik yük sayısı sabittir. Bu yasa sistemler için de doğrudur.
Şimdi elektrik yükleri hakkında biraz bilgi verdiğimize göre, yüklerin elektrik alanlar ile olan bağlantısına geçebiliriz.

Bu sisteme bir göz atalım. Sistemdeki tüm parçacıklar aynı işaretli yüke sahip. Burada, çocukluğumuzdan beri bildiğimiz klasik cümle, yani "aynı yükler birbirini iter, zıt yükler birbirini çeker" cümlesi karşımıza çıkmaktadır. Eğer sadece iki parçacık varsa işimiz basittir, yüklere göre ya itme kuvveti ya da çekme kuvveti uygulanacaktır. Peki birden fazla parçacık varsa bunu nasıl belirleyebiliriz?
Bu durumda devreye Süperpozisyon ilkesi girer. Lineer sistemlerde iki veya daha fazla etkiyi toplayarak net etkiyi bulabiliriz. Bu tanımı örnek verdiğimiz sisteme uygularsak elektrostatik kuvvetleri toplamamız sonucu mavi küreye etki eden net kuvveti buluruz. Kuvvet vektörel bir büyüklük olduğu için toplamımız vektörel bir toplama olacaktır, yani toplama işleminden sonra net kuvveti bulduğumuzda elimizde hem bir büyüklük hem de bir yön olacaktır.

Coulomb yasası bize iki yüklü parçacık arasındaki kuvveti verir. Bu formülü inceleyerek elektrik yükler hakkında biraz fikir sahibi olabiliriz. K sabit bir sayı, q1 ve q2 parçacıklarımızın yükleri ve d de bu iki parçacık arasındaki mesafedir. q1 ve q2 çarpımının büyük olması demek kuvvetin artması demektir. Buradan kuvvetin yüklerin büyüklüğü ile doğru orantılı olduğunu anlıyoruz. Kesrimizin paydasında ise d2 ifadesi var. Yüklerin arasındaki mesafe 3 katına çıkarsa kuvvet 9 kat, 5 katına çıkarsa kuvvet 25 kat azalacaktır. Bunu kelimelerle ifade etmek istersek "kuvvet" uzaklığın karesi ile ters orantılıdır deriz.
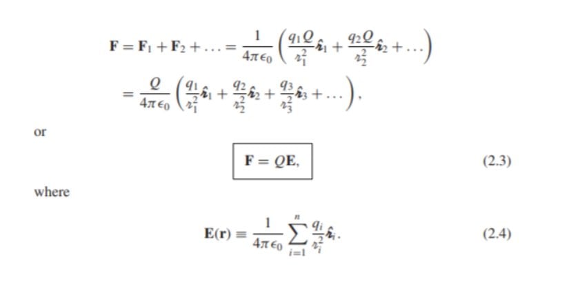
Bu gördüğümüz formül iki parçacık içindi. Bu formülü çok parçacıklı sistemlere uyacak şekilde genelleştirebiliriz. Yukarıdaki mavi ve sarı kürelerin olduğu sisteme geri dönelim. Süperpozisyon ilkesine uyacak şekilde genelleştirme işlemimize başlayalım. Q - q1 ve Q - q2 sistemi için Coulomb yasasını ayrı ayrı yazıp kuvvetleri toplamalıyız:

Gördüğümüz gibi parantezin içerisindeki tüm işlemlerde Q yükü ortak elemandır. Q'yu parantezden dışarı çıkartabiliriz. Q elemanını parantezden çıkardıktan sonra elimizde kalan ifade görseldeki 2.4 denklemidir ve bu denklem bize elektrik alanın matematiksel formülünü vermektedir. Denklemdeki "Σ" işaretinin ne anlama geldiğini açıklayalım. Bu işaret, yani "sigma" sembolü bize toplama yapmamız gerektiğini gösterir. 1'den n'ye kadar olan ifadelerin toplanması demektir. Bizim mavi ve sarı kürelerin olduğu sistemden örnek vermemiz gerekirse, n burada 2 olur çünkü 2 tane küremiz vardır. Peki tek bir yükün yaydığı elektrik alanı nasıl bulabiliriz? Tek yapmamız gereken n yerine 1 koymaktır, böylelikle yukarıdaki görselde 2.4 denklemindeki ifade aşağıdaki ifadeye dönüşür:

Elektrik alanın matematiksel formülünü ve elektrostatik kuvvet ile olan ilişkisini görmüş olduk. Elektrik alanları görsel olarak temsil etmek için iki yolumuz vardır. İki yöntem de aynı şeyi farklı yolla anlatır ve kendilerine göre avantajları vardır.
- Vektör alanları olarak:
- Alan çizgileri olarak:

Evrim Ağacı'nda tek bir hedefimiz var: Bilimsel gerçekleri en doğru, tarafsız ve kolay anlaşılır şekilde Türkiye'ye ulaştırmak. Ancak tahmin edebileceğiniz gibi Türkiye'de bilim anlatmak hiç kolay bir iş değil; hele ki bir yandan ekonomik bir hayatta kalma mücadelesi verirken...
O nedenle sizin desteklerinize ihtiyacımız var. Eğer yazılarımızı okuyanların %1'i bize bütçesinin elverdiği kadar destek olmayı seçseydi, bir daha tek bir reklam göstermeden Evrim Ağacı'nın bütün bilim iletişimi faaliyetlerini sürdürebilirdik. Bir düşünün: sadece %1'i...
O %1'i inşa etmemize yardım eder misiniz? Evrim Ağacı Premium üyesi olarak, ekibimizin size ve Türkiye'ye bilimi daha etkili ve profesyonel bir şekilde ulaştırmamızı mümkün kılmış olacaksınız. Ayrıca size olan minnetimizin bir ifadesi olarak, çok sayıda ayrıcalığa erişim sağlayacaksınız.
Makalelerimizin bilimsel gerçekleri doğru bir şekilde yansıtması için en üst düzey çabayı gösteriyoruz. Gözünüze doğru gelmeyen bir şey varsa, mümkünse güvenilir kaynaklarınızla birlikte bize ulaşın!
Bu makalemizle ilgili merak ettiğin bir şey mi var? Buraya tıklayarak sorabilirsin.
Soru & Cevap Platformuna Git- 20
- 11
- 10
- 5
- 5
- 4
- 3
- 1
- 0
- 0
- 0
- 0
- HyperPhysics. Electricity And Magnetism. (18 Temmuz 2019). Alındığı Tarih: 18 Temmuz 2019. Alındığı Yer: HyperPhysics | Arşiv Bağlantısı
- D. J. Griffiths. (2017). Introduction To Electrodynamics. ISBN: 978-1108420419. Yayınevi: Cambridge University Press.
Evrim Ağacı'na her ay sadece 1 kahve ısmarlayarak destek olmak ister misiniz?
Şu iki siteden birini kullanarak şimdi destek olabilirsiniz:
kreosus.com/evrimagaci | patreon.com/evrimagaci
Çıktı Bilgisi: Bu sayfa, Evrim Ağacı yazdırma aracı kullanılarak 20/10/2025 11:55:06 tarihinde oluşturulmuştur. Evrim Ağacı'ndaki içeriklerin tamamı, birden fazla editör tarafından, durmaksızın elden geçirilmekte, güncellenmekte ve geliştirilmektedir. Dolayısıyla bu çıktının alındığı tarihten sonra yapılan güncellemeleri görmek ve bu içeriğin en güncel halini okumak için lütfen şu adrese gidiniz: https://evrimagaci.org/s/7867
İçerik Kullanım İzinleri: Evrim Ağacı'ndaki yazılı içerikler orijinallerine hiçbir şekilde dokunulmadığı müddetçe izin alınmaksızın paylaşılabilir, kopyalanabilir, yapıştırılabilir, çoğaltılabilir, basılabilir, dağıtılabilir, yayılabilir, alıntılanabilir. Ancak bu içeriklerin hiçbiri izin alınmaksızın değiştirilemez ve değiştirilmiş halleri Evrim Ağacı'na aitmiş gibi sunulamaz. Benzer şekilde, içeriklerin hiçbiri, söz konusu içeriğin açıkça belirtilmiş yazarlarından ve Evrim Ağacı'ndan başkasına aitmiş gibi sunulamaz. Bu sayfa izin alınmaksızın düzenlenemez, Evrim Ağacı logosu, yazar/editör bilgileri ve içeriğin diğer kısımları izin alınmaksızın değiştirilemez veya kaldırılamaz.