Einstein Alan Denklemleri Nedir? Tensörler ve Uzay-Zaman Geometrisi Nasıl Tanımlanır?
- Özgün
- Fizik
Bu Makalede Neler Öğreneceksiniz?
- Einstein Alan Denklemleri, madde ile uzay-zaman eğriliği arasındaki ilişkiyi tanımlayan ve uzay-zamanın geometrisini enerji-momentum ile bağlayan diferansiyel denklem setidir.
- Denklemlerde Ricci eğrilik tensörü, metrik tensör ve kozmolojik sabit gibi matematiksel yapılar uzay-zamanın eğriliğini ve geometrisini fiziksel olarak ifade eder.
- Einstein Alan Denklemleri çözüldüğünde, örneğin Schwarzschild çözümü gibi, belirli geometrilerde maddenin hareketi ve uzay-zamanın madde üzerindeki etkisi anlaşılır.
Einstein 1915 yılında yılında yaptığı yayınla, enerji-momentum ile uzay-zaman eğriliği arasında bir ilişki olduğunu ortaya koydu. Yani daha basit bir ifadeyle, madde ile geometri arasında sıkı bir ilişki bulunur. Madde, uzay-zamanı büker; bükülmüş uzay-zaman da maddeye jeodezikler boyunca hareket etmesi gerektiğini söyler. Bugün bunu ifade eden denklem setine, Einstein Alan Denklemleri denilmektedir.
Einstein Alan Denklemleri
Gik=8πG/c4TikG_{ik}=8\pi G/c^4T_{ik}
Denklemin sol tarafında yer alan GikG_{ik} ifadesi, Einstein tensörünü ifade ederken sağ tarafta yer alan TikT_{ik} ifadesi stres-enerji (enerji-momentum) tensörünü ifade eder. Yani denklemin sol tarafı geometriyi, sağ tarafı ise maddeyi ifade etmektedir. Denklem sıklıkla aşağıdaki gibi yazılır:
Rik−1/2gikR+gik∧=8\piG/c4TikR_{ik}-1/2g_{ik}R+g_{ik}\land=8\piG/c^4T_{ik}
/old/content_media/726a50774955c4f52b0e508fb13e6460.png)
Burada sol taraf GikG_{ik}'nin açık halini ifade eder. RikR_{ik} terimi Ricci eğrilik tensörü, gikg_{ik} metrik tensör, RR eğrilik skaleri, ΛΛ ise kozmolojik sabittir. Bazen Einstein alan denklemlerinin kozmolojik sabitsiz halini de görebilirsiniz.
Burada ii ve kk alt indisleri, kaç boyutlu uzayda-zamanda çözüm yaptığınıza göre değerler alır (bazen νν ve μμ ile de gösterilir). Sıklıkla çözümler dört boyutlu uzayda-zamanda ele alınır ve bunlardan biri zaman, diğer üçü ise uzay bileşenidir. Örneğin kartezyen koordinatlarda (t,x,y,z) koordinatları kullanılır. Bu da ii ve kk'nin (0,1,2,3) değerlerini alacağını gösterir.
Bazı kitaplarda notasyon farklı olsa da sıklıkla 0 koordinatı tt'ye karşılık gelir, biz de öyle alacağız. Burada bir diğer dikkat edilmesi gereken nokta, zaman bileşeninin işaretinin uzaya göre zıt işaret aldığıdır. Yani eğer (0,1,2,3) notasyonunu kullanıyorsak işaret (-,+,+,+) ya da (+,-,-,-) olarak alınır.
Tek bir denklem gibi görünen bu denkleme neden Einstein alan denklemleri dendiğini indislerden anlayabilirsiniz. ii ve kk için dörder tane seçenek olduğundan 4x4=164x4=16 farklı denklem olduğu ortaya çıkar.
- Dünya Dışı Akıllı Yaşam Formlarının, Dünya'yı ve Üzerindeki Yaşamı Doğrudan Görebileceği Yaklaşık 1000 Yıldız Sistemi Bulunuyor!
- Evrenin Genişlemesi ve Balon Analojisi: Evren Neyin İçine Genişliyor? Evreni Şişen Bir Balon Olarak Hayal Edebilir miyiz?
- Mikro Karadelik Nedir? Mikro Karadelikler Mümkün mü?
Fakat bunlardan altısı birbirinin aynıdır. Yani toplamda 16 denklem olması gerekirken simetriden ötürü (matriste üst üçgenseli düşünün), Einstein alan denklemlerinde yalnızca 10 tane farklı bileşeni bulunur. Seçtiğinizi metriğe göre ise elde ettiğiniz denklem sayısı azalır. Örneğin Schwarzschild çözümünde yalnızca 4 tane denklem ortaya çıkar. Bazen ii ve kk alt indisleri sayılar yerine, koordinatları ifade eden terimlerle de kullanılabilir. Örneğin R00R_{00} yazmak yerine, RttR_{tt} tercih edilebilir.
Einstein Alan Denklemlerinin Çözümü
Aslında Einstein alan denklemleri, bize bir diferansiyel denklem seti verir. Mesele bu diferansiyel denklem setini çözerek tıpkı Newton'ın F=maF=ma'sında olduğu gibi bir hareket denklemi elde edebiliriz. Yani Einstein alan denklemlerinin çözümünden, çözümü yapılan geometride maddenin davranışının ne olması gerektiği bulunur. Örneğin boş bir uzayda; dönmeyen, küresel simetrik, yüksüz bir karadelik için Schwarzschild çözümünü elde ederiz. Bu da böyle bir karadeliğin etrafındaki uzay-zamanı nasıl etkilediğini bulmamızı sağlar.
Elde edilen çözüm, koordinat tercihinizden bağımsızdır. Yani kartezyen koordinatları kullanarak yaptığınızda elde ettiğiniz çözüm ile küresel koordinatları kullanarak yaptığınızda elde ettiğiniz çözüm aynıdır. Dilerseniz başlangıçta koordinat dönüşümü yaparsınız, dilerseniz sonuçta dönüşüm yaparsınız. Aynı sonucu verecektir. Yalnızca burada seçtiğiniz metriğin matrisinin daima tersinin bulunuyor olması gerekir.
Evrim Ağacı'nın çalışmalarına Kreosus, Patreon veya YouTube üzerinden maddi destekte bulunarak hem Türkiye'de bilim anlatıcılığının gelişmesine katkı sağlayabilirsiniz, hem de site ve uygulamamızı reklamsız olarak deneyimleyebilirsiniz. Reklamsız deneyim, sitemizin/uygulamamızın çeşitli kısımlarda gösterilen Google reklamlarını ve destek çağrılarını görmediğiniz, %100 reklamsız ve çok daha temiz bir site deneyimi sunmaktadır.
KreosusKreosus'ta her 50₺'lik destek, 1 aylık reklamsız deneyime karşılık geliyor. Bu sayede, tek seferlik destekçilerimiz de, aylık destekçilerimiz de toplam destekleriyle doğru orantılı bir süre boyunca reklamsız deneyim elde edebiliyorlar.
Kreosus destekçilerimizin reklamsız deneyimi, destek olmaya başladıkları anda devreye girmektedir ve ek bir işleme gerek yoktur.
PatreonPatreon destekçilerimiz, destek miktarından bağımsız olarak, Evrim Ağacı'na destek oldukları süre boyunca reklamsız deneyime erişmeyi sürdürebiliyorlar.
Patreon destekçilerimizin Patreon ile ilişkili e-posta hesapları, Evrim Ağacı'ndaki üyelik e-postaları ile birebir aynı olmalıdır. Patreon destekçilerimizin reklamsız deneyiminin devreye girmesi 24 saat alabilmektedir.
YouTubeYouTube destekçilerimizin hepsi otomatik olarak reklamsız deneyime şimdilik erişemiyorlar ve şu anda, YouTube üzerinden her destek seviyesine reklamsız deneyim ayrıcalığını sunamamaktayız. YouTube Destek Sistemi üzerinde sunulan farklı seviyelerin açıklamalarını okuyarak, hangi ayrıcalıklara erişebileceğinizi öğrenebilirsiniz.
Eğer seçtiğiniz seviye reklamsız deneyim ayrıcalığı sunuyorsa, destek olduktan sonra YouTube tarafından gösterilecek olan bağlantıdaki formu doldurarak reklamsız deneyime erişebilirsiniz. YouTube destekçilerimizin reklamsız deneyiminin devreye girmesi, formu doldurduktan sonra 24-72 saat alabilmektedir.
Diğer PlatformlarBu 3 platform haricinde destek olan destekçilerimize ne yazık ki reklamsız deneyim ayrıcalığını sunamamaktayız. Destekleriniz sayesinde sistemlerimizi geliştirmeyi sürdürüyoruz ve umuyoruz bu ayrıcalıkları zamanla genişletebileceğiz.
Giriş yapmayı unutmayın!Reklamsız deneyim için, maddi desteğiniz ile ilişkilendirilmiş olan Evrim Ağacı hesabınıza üye girişi yapmanız gerekmektedir. Giriş yapmadığınız takdirde reklamları görmeye devam edeceksinizdir.
Einstein Alan Denklemlerinin Elementleri
Einstein alan denklemlerinde yer alan bu matematiksel yapılar, yalnızca soyut tensör ifadeleri değil; uzay-zamanın fiziksel doğasını doğrudan tanımlayan geometrik araçlardır. Özellikle Ricci tensörü ve eğrilik skaleri, uzay-zamanın yerel olarak nasıl büküldüğünü ifade ederken, metrik tensör bu geometrinin temelini oluşturur ve tüm fiziksel mesafe ile zaman ölçümlerini belirler. Christoffel sembolleri ise bu geometrinin içinde parçacıkların nasıl hareket edeceğini, yani jeodezikleri belirleyen bağlantı terimleridir. Bu yapıların tamamı birlikte ele alındığında, Einstein alan denklemleri aslında Riemann geometrisi üzerine kurulmuş diferansiyel bir geometri problemine dönüşür.
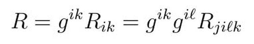
Ricci Eğrilik Tensörü
Einstein alan denklemlerinde yer alan RikR_{ik}, Ricci eğrilik tensörü, aşağıdaki şekilde ifade edilir:
Rik=RijkjR_{ik}=R^j_{ijk}
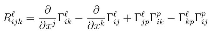
Burada RijkjR^j_{ijk}Riemann tensörüdür ve RikR_{ik}'nin hesaplanabilmesi için RijkjR^j_{ijk}'nin hesaplanması gerekir. Burada i ve k değerleri bizim seçimimiz iken jj ve pp değeri seçimimizde yoktur. Bunun hesaplanabilmesi için j değerlerinin tümü için toplam alınır.
/old/content_media/013eefbe488bde5e8777e7e0128bb455.png)
Bu hesaplandığında seçilen ii ve kk'lar için RikR_{ik} hesaplanmış olur. Burada oldukça fazla parametre bulunması sebebiyle fazla miktarda sonuç olduğu görülür. ii, jj ve kk değeri için dörder değerden toplamda 64 ifade gelir. Ayrıca her birinin içerisinde dört değer daha alan p değeri üzerinden toplam alınmalıdır, bu da 256 değer yapar. Fakat bunların çoğu sıfırdır. Özellikle Schwarzschild ve Friedmann çözümlerinde hatta çoğunda 10 bileşenin tamamı bulunmaz. Genellikle RttR_{tt}, RrrR_{rr}, RθθR_{θθ}, RΦΦR_{ΦΦ} bileşenleri sıfırdan farklıdır. Böyle bir durumda i=ki=k olduğu görülür, bu da hesabı tekrar 64 parametreye düşürür. Fakat, dönen bir karadelik için tanımlı metrik olan Kerr metriğinde, dönmenin sebep olduğu açılar da devreye girerek bu sayıyı artırır. Bu yüzden metriğin davranışını anlamak, hesabı anlamak adına önemlidir.
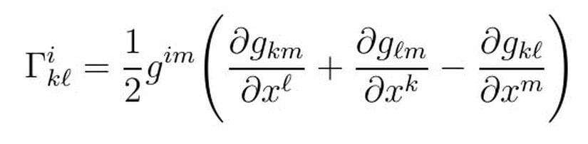
Christoffel Sembolü
Yukarıda Riemann tensöründe yer alan ifade olan Gamma ikl ise Christoffel sembolüdür ve kabaca metrik bağlantıyı inceler. Bağıntısı aşağıdaki gibi verilir:
/old/content_media/83f8140c267c8462879f8d1f6dc6f66c.png)
Burada mm değeri üzerinden toplam alınır. Her bir parametre eğer tek tek denenirse; ii, kk, ll ve mm değerlerinin her biri için 4 değer bulunduğundan toplamda 4x4x4x4=2564x4x4x4=256 tane Christoffel sembolünün hesaplanması gerektiği görülür. Fakat bunların da bazıları simetriktir ve aynı değeri verir (örneğin kk ve ll'nin yerini değiştirirseniz ifade değişmez). Ayrıca seçilen metriğe göre, çoğunun değeri sıfır çıkacaktır. Örneğin metriğiniz sadece RttR_{tt}, RrrR_{rr}, RθθR_{θθ}, RΦΦR_{ΦΦ} değerlerini barındırıyorsa, gimg^{im} değerinde i=mi=m olmalıdır. Bu da Christoffel sembölünde i=mi=m için çözüm yapmanızın yeterli olduğunu, gerisinin zaten sıfır çıkacağını gösterir. Bu gibi çıkarımlarla yapılan hesap sayısı oldukça aşağıya çekilebilir.
Özetle göz korkutuyor gibi görünse de çoğu değer bu şekilde sıfır çıkmaktadır. Basit yaklaşımlarla ve dikkatli bir hesaplamayla diferansiyel denklem setine ulaşılabilir. Mesele diferansiyel denklemleri çözebilmektir ya da seçtiğiniz metriğin zorluğuna göre bunu düzenleyebilmektir. Elbette günümüzde bunları elle tek tek çözmek yerine, Mathematica gibi programlama dilleriyle kolaylıkla gerekli denklemlere ulaşabiliyoruz. Fakat bunlar işin sadece hamallık kısmını ortadan kaldırıyor.
Ricci Eğrilik Skaleri
Eğrilik skaleri ise adından anlaşılacağı üzere herhangi bir vektörel bileşene sahip değildir, yani sıfırıncı mertebeden bir tensördür. Birinci mertebeden bir tensörün ise bir vektör olduğunu hatırlayın. Eğrilik skaleri aşağıdaki gibi ifade edilir.
/old/content_media/a01b792bd2d61c124d1993c7ca56bb39.png)
Metrik Tensör
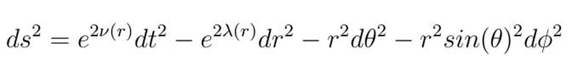
Metrik tensör (ya da basitçe metrik), seçtiğiniz uzay-zaman koordinatlarının geometrik yapısını ifade eder. Daha basit bir deyişle, tanımladığınız uzay-zamanda iki nokta arasındaki geometrinin nasıl olduğunu anlatır. Örneğin Schwarzschild metriği aşağıdaki gibi tanımlıdır:
/old/content_media/6a6c092c82546c38104692f3673462ef.png)
Bu metrikte verilen uzay-zamanda iki nokta arasındaki ayrılığın (ds); dtdt, drdr, dθdθ ve dΦdΦ bileşenleri ile ifade edildiğini görüyoruz. Dolayısıyla metrik tensörümüz aşağıdaki gibi olur.
Sonuç
Einstein alan denklemleri, madde ile uzay-zaman geometrisi arasındaki ilişkiyi kurarak modern fiziğin derin teorik çerçevelerinden birini sunar. Bu denklemler, klasik mekaniğin kuvvet temelli yaklaşımını terk ederek yerçekimini geometrik bir olgu olarak yeniden tanımlar.
Tensörler aracılığıyla ifade edilen bu yapı, ilk bakışta son derece karmaşık görünse de simetriler ve fiziksel varsayımlar sayesinde çözülebilir hale gelir ve Schwarzschild, Kerr veya Friedmann gibi önemli çözümler elde edilir. Bu çözümler yalnızca teorik değil, aynı zamanda gözlemsel olarak da doğrulanmıştır; örneğin yerçekimsel dalgaların tespiti ve kara delik görüntüleri bu teorinin güçlü doğrulamalarındandır. Dolayısıyla Einstein alan denklemleri, hem matematiksel derinliği hem de fiziksel açıklayıcılığıyla evrenin yapısını anlamada vazgeçilmez bir araçtır.
Evrim Ağacı'nda tek bir hedefimiz var: Bilimsel gerçekleri en doğru, tarafsız ve kolay anlaşılır şekilde Türkiye'ye ulaştırmak. Ancak tahmin edebileceğiniz gibi Türkiye'de bilim anlatmak hiç kolay bir iş değil; hele ki bir yandan ekonomik bir hayatta kalma mücadelesi verirken...
O nedenle sizin desteklerinize ihtiyacımız var. Eğer yazılarımızı okuyanların %1'i bize bütçesinin elverdiği kadar destek olmayı seçseydi, bir daha tek bir reklam göstermeden Evrim Ağacı'nın bütün bilim iletişimi faaliyetlerini sürdürebilirdik. Bir düşünün: sadece %1'i...
O %1'i inşa etmemize yardım eder misiniz? Evrim Ağacı Premium üyesi olarak, ekibimizin size ve Türkiye'ye bilimi daha etkili ve profesyonel bir şekilde ulaştırmamızı mümkün kılmış olacaksınız. Ayrıca size olan minnetimizin bir ifadesi olarak, çok sayıda ayrıcalığa erişim sağlayacaksınız.
Makalelerimizin bilimsel gerçekleri doğru bir şekilde yansıtması için en üst düzey çabayı gösteriyoruz. Gözünüze doğru gelmeyen bir şey varsa, mümkünse güvenilir kaynaklarınızla birlikte bize ulaşın!
Bu makalemizle ilgili merak ettiğin bir şey mi var? Buraya tıklayarak sorabilirsin.
Soru & Cevap Platformuna Git- 2
- 1
- 1
- 1
- 0
- 0
- 0
- 0
- 0
- 0
- 0
- 0
- Ege Üniversitesi Astronomi Bölümü. (). Extragalactic Astronomy Ders Notları. Not: Ege Üniversitesi Astronomi Bölümü.
- C. W. Misner. (2017). Gravitation. ISBN: 9780716703440.
- Journal of High Energy Astrophysics. Page Restricted. (1 Ocak 2022). Alındığı Tarih: 24 Mart 2026. Alındığı Yer: Journal of High Energy Astrophysics doi: 10.1016/j.jheap.2022.09.001. | Arşiv Bağlantısı
- M. Vojinovic. Schwarzschild Solution In General Relativity. Alındığı Tarih: 24 Mart 2026. Alındığı Yer: Grupo de Fisica Matematica | Arşiv Bağlantısı
- C. Heinicke, et al. Schwarzschild And Kerr Solutions Of Einstein's Field Equation. (7 Mart 2015). Alındığı Tarih: 24 Mart 2026. Alındığı Yer: Cornell University | Arşiv Bağlantısı
Evrim Ağacı'na her ay sadece 1 kahve ısmarlayarak destek olmak ister misiniz?
Şu iki siteden birini kullanarak şimdi destek olabilirsiniz:
kreosus.com/evrimagaci | patreon.com/evrimagaci
Çıktı Bilgisi: Bu sayfa, Evrim Ağacı yazdırma aracı kullanılarak 23/04/2026 00:08:42 tarihinde oluşturulmuştur. Evrim Ağacı'ndaki içeriklerin tamamı, birden fazla editör tarafından, durmaksızın elden geçirilmekte, güncellenmekte ve geliştirilmektedir. Dolayısıyla bu çıktının alındığı tarihten sonra yapılan güncellemeleri görmek ve bu içeriğin en güncel halini okumak için lütfen şu adrese gidiniz: https://evrimagaci.org/s/12792
İçerik Kullanım İzinleri: Evrim Ağacı'ndaki yazılı içerikler orijinallerine hiçbir şekilde dokunulmadığı müddetçe izin alınmaksızın paylaşılabilir, kopyalanabilir, yapıştırılabilir, çoğaltılabilir, basılabilir, dağıtılabilir, yayılabilir, alıntılanabilir. Ancak bu içeriklerin hiçbiri izin alınmaksızın değiştirilemez ve değiştirilmiş halleri Evrim Ağacı'na aitmiş gibi sunulamaz. Benzer şekilde, içeriklerin hiçbiri, söz konusu içeriğin açıkça belirtilmiş yazarlarından ve Evrim Ağacı'ndan başkasına aitmiş gibi sunulamaz. Bu sayfa izin alınmaksızın düzenlenemez, Evrim Ağacı logosu, yazar/editör bilgileri ve içeriğin diğer kısımları izin alınmaksızın değiştirilemez veya kaldırılamaz.