Thalidomide Faciası: Tıp Tarihindeki En Korkunç İhmal!
Türkiye, Thalidomide Faciasını Nasıl Hasarsız Atlattı?
 The Star
              
                  The Star
              
        
          
    
          Thalidomide, Contergan ve Thalidomid gibi isimler altında satılan, günümüzde başta çoklu miyeloma olmak üzere çok sayıda kanserin tedavisinde, graft-versus-host hastalığının tedavisinde ve cüzzam da dâhil bir dizi deri hastalığının tedavisinde aktif olarak kullanılmaktadır.[1]
Thalidomide kullananlarda uyku hâli, kızarlıklık ve baş dönmesi gibi hafif yan etkiler görülebilir. Ağır yan etkileri arasında tümör liz sendromu, kan pıhtıları ve çevresel nöropati bulunmaktadır.[2] İlerleyen kısımlarda daha detaylıca ele alacağımız üzere, gebelik sırasında thalidomide kullanımı uzuv gelişimini bozabilir. Öyle ki, gebe kalmaya çalışan çiftlerde erkeklerin bile ilacı kullanmaması önerilmektedir.[3], [4] Thalidomide'in çalışma mekanizması henüz net olarak bilinmemektedir; ancak en olası hipotez, savunma sistemindeki T hücrelerini uyarma ve TNF-α üretimini azaltma yoluyla savunma sistemini düzenlemesi yoluyla çalıştığı yönündedir.[5], [6], [7], [8]
Tüm bu ön bilgiler bir yana bu ilaç, daha ziyade Thalidomide Faciası olarak bilinen, ilacın yeterli test olmaksızın kullanılması sonucu binlerce bebeğin ölümüne ve gelişim sorunlarıyla doğmasına neden olmasıyla anılmaktadır. Bu makalede, bu sürecin nasıl geliştiğini ve Türkiye ile ABD gibi ülkelerin bu faciayı nasıl en az hasarla atlatabildiklerini inceleyeceğiz.
Thalidomide Nedir? Nasıl Keşfedilmiştir?
Thalidomide, azot ve karbon omurgası üzerine inşa edilmiş döngüsel bir moleküldür. Bu molekül, 1952 yılında Basel Kimya Endüstrisi (CIBA) isimli bir kurum tarafından keşfedilmiştir. Bu firma, 1996 yılında Sandoz isimli ikinci bir firma ile birleşerek Novartis'e dönüşmüştür.[9] Ne var ki CIBA, thalidomide'in hayvanlar üzerindeki herhangi bir işlevini tespit edemediği için, üzerinde pek durmamıştır.[10]

Bundan sadece 4 yıl sonra, yani 1956 yılında, aslen 2. Dünya Savaşı sonrasında bir sabun firması olarak yola çıkmış olan, sonradansa antibiyotik üretimiyle popülerlik kazanmış Alman kimya firması Chemie Grünenthal firması tarafından thalidomide, Batı Almanya'da grip ilacı olarak satılmaya başlanmıştır.[11], [12], [13]
Thalidomide'i Chemie Grünenthal için geliştiren kişi, Heinrich Mückter'di.[14] Bir Nazi olan Mückter, Nazi Almanyası'nda da yaptığı etik olmayan karahumma, yani tifus deneyleriyle biliniyordu.[15] Sadece o da değildi: Sağ kolu olan Martin Staemmler, Nazilerin öjeni programını savunuyordu.[16] Diğer yardımcısı Heinz Baumkötter, Sachsenhausen Toplama Kampı'nın başhekimiydi ve tutsaklar üzerinde deneyler yapıyordu.[17] Onlarla çalışan Otto Ambros, Hitler'in kimyasal silah danışmanlarındandı.[18]
İşte bu sorunlu ekibin ürettiği thalidomide, 1957 yılında Contergan adıyla, hipnotik (sakinleştirici, uyku getirici) ve antiemetik (mide bulantısı ve kusmayı önleyici) bir ilaç olarak pazarlanmaya başlandı.[19] İlacın ana müşterisi, gebelik bulantılarından ve hamilelik kaynaklı uyku sorunlarından mustarip olanlar kadınlardı. O dönemde thalidomide reçetesiz olarak alınabildiği ve tanıtım amaçlı olarak doktorlara bolca dağıtıldığı için, kısa sürede epey popüler oldu; hatta bir nevi "mucize ilaç" olarak görülmeye başlandı (iddialara göre unutkanlık, öksürük, soğuk algınlığı ve baş ağrısı gibi diğer sorunları da iyileştirebiliyordu).[13], [20]

Thalidomide Faciası
Ama bu süreçte bir sorun vardı: Bunca gebe kadın kullanıyordu kullanmasına ama, ilacın gebelikteki etkilerine yönelik yeterince veri toplanmamıştı. Bunun ana sebebi, kadınlara yönelik ilaçların testlerinin genel olarak daha zayıf bir şekilde yapılması ve hatta 1950'lerde ilaç kullanımının gebeliğe etkileri pek de önemsenen bir konu olmamasıydı.[21] Yani günümüzde ilaç firmalarının uymak zorunda olduğu güvenlik önlemlerinin neredeyse hiçbiri o dönemde henüz bulunmuyordu.[22], [23] Hatta o dönemde ilaçların plasenta bariyerini aşıp da rahimdeki yavruya kolay kolay ulaşabileceğine pek inanılmıyordu.[24], [25] Bu kadar yoğun bir ihmal ve bilgi eksikliği ışığında, kadınlar da kendilerini daha iyi hissetmek için (haklı olarak) bu ilacı kullanmak zorunda kaldılar.
Hatanın Fark Edilmesi
Sadece 1.5 yıl kadar sonra, yani 1959'da, thalidomide kullanan kadınların bir kısmının çocuklarının sorunlu doğduğu fark edildi.[26] O zamanlar bu bilinmiyordu ama thalidomide, gebeliğin spesifik günlerinde alınması halinde spesifik sorunlar yaratıyordu:[27] Mesela gebeliğin 20. gününde ilacı alan kadınların çocuklarında beyin hasarı oluşuyordu. 21. günde alınırsa göz hasarı, 22. günde kulak ve yüz hasarı oluşuyordu. 24. günde alınırsa, bebekte kollar oluşmuyordu. 25 ila 28. günler arası alınırsa, bacaklar oluşmuyordu. Bunun haricinde bu çocuklarda periferik nöropati, yani çevresel sinir sistemi siniri hasarı görülüyordu. Bazen parmaksız veya fazla parmaklarla doğabiliyorlardı, bazense felçli olarak, anüsleri olmadan, hayati organları hasarlı olarak...[28] Tahmin edebileceği üzere bu bebeklerin çoğu, doğumlarından birkaç gün sonra ölüyorlardı.
Doktorlar bu gidişatı çok hızlı fark ettiler ve ilaç hakkında şikayetlerini raporlamaya başladılar. Firma, başlarda bunları göz ardı etti ve ilacı geri çekmek istemedi. Nihayet, sorunlu doğumların sayısındaki artıştan kaynaklı baskı öyle boyutlara ulaştı ki, 1961 yılında ilaç piyasadan kaldırıldı.[29]
Ama özellikle Avrupa, Asya ve Japonya'ya yayılmış olan bir ilacı birdenbire piyasadan kaldırmak kolay değildi. Örneğin ilacı bir ülke yasaklasa bile, diğeri ağırdan aldığı için, iki ülke arasında yasa dışı ilaç transferi devam edebilmekteydi. Tüm bu nedenlerle ilaç, tüm tehlikelerine rağmen yıllarca piyasada dolanmaya devam etti.[29], [30] Bu sırada Dünya genelinde 2.000 çocuk bu ilaç nedeniyle öldü, 10-15 bin kadar çocuk ciddi gelişim sorunlarıyla yaşamak zorunda kaldı.[31]
Evrim Ağacı'nın çalışmalarına Kreosus, Patreon veya YouTube üzerinden maddi destekte bulunarak hem Türkiye'de bilim anlatıcılığının gelişmesine katkı sağlayabilirsiniz, hem de site ve uygulamamızı reklamsız olarak deneyimleyebilirsiniz. Reklamsız deneyim, sitemizin/uygulamamızın çeşitli kısımlarda gösterilen Google reklamlarını ve destek çağrılarını görmediğiniz, %100 reklamsız ve çok daha temiz bir site deneyimi sunmaktadır.
KreosusKreosus'ta her 50₺'lik destek, 1 aylık reklamsız deneyime karşılık geliyor. Bu sayede, tek seferlik destekçilerimiz de, aylık destekçilerimiz de toplam destekleriyle doğru orantılı bir süre boyunca reklamsız deneyim elde edebiliyorlar.
Kreosus destekçilerimizin reklamsız deneyimi, destek olmaya başladıkları anda devreye girmektedir ve ek bir işleme gerek yoktur.
PatreonPatreon destekçilerimiz, destek miktarından bağımsız olarak, Evrim Ağacı'na destek oldukları süre boyunca reklamsız deneyime erişmeyi sürdürebiliyorlar.
Patreon destekçilerimizin Patreon ile ilişkili e-posta hesapları, Evrim Ağacı'ndaki üyelik e-postaları ile birebir aynı olmalıdır. Patreon destekçilerimizin reklamsız deneyiminin devreye girmesi 24 saat alabilmektedir.
YouTubeYouTube destekçilerimizin hepsi otomatik olarak reklamsız deneyime şimdilik erişemiyorlar ve şu anda, YouTube üzerinden her destek seviyesine reklamsız deneyim ayrıcalığını sunamamaktayız. YouTube Destek Sistemi üzerinde sunulan farklı seviyelerin açıklamalarını okuyarak, hangi ayrıcalıklara erişebileceğinizi öğrenebilirsiniz.
Eğer seçtiğiniz seviye reklamsız deneyim ayrıcalığı sunuyorsa, destek olduktan sonra YouTube tarafından gösterilecek olan bağlantıdaki formu doldurarak reklamsız deneyime erişebilirsiniz. YouTube destekçilerimizin reklamsız deneyiminin devreye girmesi, formu doldurduktan sonra 24-72 saat alabilmektedir.
Diğer PlatformlarBu 3 platform haricinde destek olan destekçilerimize ne yazık ki reklamsız deneyim ayrıcalığını sunamamaktayız. Destekleriniz sayesinde sistemlerimizi geliştirmeyi sürdürüyoruz ve umuyoruz bu ayrıcalıkları zamanla genişletebileceğiz.
Giriş yapmayı unutmayın!Reklamsız deneyim için, maddi desteğiniz ile ilişkilendirilmiş olan Evrim Ağacı hesabınıza üye girişi yapmanız gerekmektedir. Giriş yapmadığınız takdirde reklamları görmeye devam edeceksinizdir.

Thalidomide Faciasının Farklı Ülkelerdeki Etkileri
Bu konuda hâlihazırda var olan Türkçe kaynakların birçoğunda, Dünya'da bu faciadan etkilenmeyen tek ülkenin Türkiye olduğu anlatılmaktadır. Bu, doğru değildir. Thalidomide, yaklaşık 50 kadar ülkeyi etkilemiştir.[32] Bir diğer deyişle, Dünya'daki ülkelerin çoğunda hiçbir vaka görülmemiştir. Çünkü ya ilaç bu ülkelere hiç ulaşmamıştır ya da ulaşsa bile yeterli yaygınlığa erişmemiştir. Ayrıca birazdan değineceğimiz gibi ilaç, her gebede (ve hatta her kullanımda) sorun yaratmamaktadır.
Thalidomide Faciasını Kim Önledi?
Burada önemli bir soru sorulmalıdır: 1957'den 1961'e kadar 4 yıl bir süre var. Nasıl oldu da Amerika'da veya Türkiye'de bu ilaç yıkım yaratmadı? Bugünkü aşı karşıtlarının kuzenleri olan ilaç karşıtları o dönemde çok aktif bir propaganda mı yürüttüler bu yeni ilaca karşı? Bilim insanlarının göremedikleri derin tespitlerde bulunup insanlığa doğru yolu mu gösterdiler?
Elbette hayır. Bilimde yapılan hatalar, komplo teorisyenleri veya bilim karşıtları falan tarafından değil, bilim insanlarının veya bilim içerisine kurulan iç denetim mekanizmalarının sonucunda tespit edilir. Bu, tarih boyunca da hep böyle olmuştur.
Örneğin bugüne kadar canlı evrimini gösteren yüz binlerce ara tür fosili keşfedilmiştir; ama evet, antropolojinin erken dönemlerinde birkaç kez sahtekarlıklar da yaşanmıştır. Burada sormak gerekir: Örneğin bilimde yapılan bu hatayı keşfedenler ve ortaya koyanlar, evrim karşıtları mıydı? Elbette hayır! Yine evrimsel biyologlardı, antropologlardı. Bilim karşıtlarının güvenilir bir metodu, bir hesap verme zorunlulukları veya bir donanımları olmadığı için, motivasyonları gerçekleri ortaya koymak değil de inkârcı bir tavır takınarak prim yapmak olduğu için, gerçekleri keşfetmek konusunda da herhangi bir becerileri yoktur.
Doğu Almanya
Thalidomide Faciası'nda da böyle olmuştur: Çok uzağa gitmeyin, Batı'nın komşusu Doğu Almanya'da bile bu ilaç onaylanmadı, çünkü Doğu Almanya, kadınlara verilecek ilaçlarda teratojen, yani bebeklerde sorunlu doku gelişimi üzerindeki etkilerin incelenmesini zorunlu tutuyordu. Bu ilacın teratojen analizi yapılmamıştı ve dolayısıyla gebelerde kullanılmasına izin verilmedi.[33] Buna bağlı olarak ülkede 1 tane bile vaka yaşanmadı.
Amerika Birleşik Devletleri
Amerika Birleşik Devletleri'nin thalidomide ile savaşında muhteşem bir isimden söz etmemiz gerekmektedir: Frances Oldham Kelsey.
Aslında Amerikan ilaç firmaları, başta bahsettiğimiz türden "mucize" bir ilacı kaçırmak istemediler. Bugün GlaxoSmithKline olarak bildiğimiz, o zamanki adıyla Smith, Kline & French (SKF) firmasıyla Chemie Grünenthal arasında görüşmeler yapıldı.[34] Ama o zamanlarda Amerika ilaçlar konusunda hazırlıklıydı. Modern zamanlarda aşı, ilaç ve modern tıp karşıtlarının ayaklar altına almaya çalıştığı, 2020 yılında başlayan COVID-19 pandemisinde son derece etkili olduğu bilinen aşıların acil kullanım ve sonrasında lisanslı kullanım için onaylayan Gıda ve İlaç Başkanlığı, yani FDA, çoktan güvenilirlik prosedürlerini yerleştirmişti ve liyakat sahibi uzmanlarla çalışıyordu. Bu nedenle ilacın Amerika'da satılabilmesi için, tıpkı bugün olduğu gibi önce 1-2 faz boyunca hayvan ve insan deneyleri yapılması gerekiyordu.
SKF firması, 1956 ve 57 yıllarında, içlerinde gebe kadınlar da olan 875 kişiyle bir deney yaptı. Ama deney sonuçları şaibeliydi:[35] Güya ilacın uyku getirerek bazı uyku sorunlarını çözdüğü söyleniyordu, ama araştırmacılar bazı farelere önerilen dozun 650 katını vermelerine rağmen bir tanesini bile uyutmayı başaramamıştı.[33] Ayrıca 2 gebe kadının yavrularında doğum deformasyonları tespit edildi.[36] Bu negatif sonuçlar üzerine SKF, anlaşmadan çekildi.
Chemie Grünenthal bu defa William S. Merrell Firması'na yanaştı. Bugün bu firmayı Sanofi olarak biliyor olabilirsiniz.[37] Sanofi, ilacı Amerika genelinde piyasaya sürmeye karar verdi. Ama FDA, o noktaya kadar 20 Avrupa/Afrika ülkesinde ve Kanada'da onay almış ilaca bir türlü onay vermiyordu.[38] Firma, FDA'e sürekli olumlu veri pompalıyordu ama Frances Kelsey'i ikna edemiyorlardı. Çünkü Kelsey, sadece firmadan gelen verilere bakmıyordu, bağımsız laboratuvarların sonuçlarını da değerlendiriyordu.
Günümüzde birçok araştırmacının deney sonuçlarını yayınlayıp birbirlerininkini analiz etmesi olarak bilinen akran denetimi, Kelsey tarafından el üstünde tutuluyordu. Bu farklı araştırmalar tutarlı sonuçlar vermedikleri için, FDA de onay vermeyi reddediyordu.[39] Firma, FDA'den tam 5 kez (bazı kaynaklara göre 6 kez) onay istedi; ancak her birinde Kelsey'in de parçası olduğu komite tarafından (büyük oranda Kelsey'in itirazları dolayısıyla) reddediler ve son başvurularında nihai red kararı alınarak tekrar başvurunun önü de kesildi.[40]
Kelsey'in bu veri-destekli ayak diremesi sayesinde, Amerika'da 1 çocuk bile ölmedi. Ne var ki bu izin sürecinde firma, o zamanın daha gevşek kurallarından faydalanarak, "resmi satış" yapmak yerine "tanıtım amaçlı" olarak 1200 civarında doktora 2.5 milyon adet tableti dağıttı ve aralarında gebeler de olan 2.000 kadar kişi bu ilacı tüketti.[41] Sırf bu yüzden Amerika'da ne yazık ki 17 bebekte doğum sorunu tespit edildi; ama Amerika, Kelsey ve FDA sayesinde bu faciayı aksi takdirde olacağa nazaran çok ucuz atlattı.[42] Bu kahramanca duruşu ve verinin peşinden gitme sorumluluğu nedeniyle Sıradışı Başarıya sahip sivillere verilen Başkanlık Ödülü ile onurlandırıldı.[43]
Kanada
Komşuları Kanada ise verileri göz ardı etmenin sorunlarıyla yüzleşmek zorunda kaldı: Kanada'da ilacın onaylı satışına 1962 yılına kadar devam edildi, çünkü Kanada'da bu tür bir bilimsel denetim mekanizması henüz oturmamıştı. Az önce bahsettiğimiz William S. Merrell Firması, tam da bu sıralarda bir diğer firmayla birleşerek adını Richardson-Merrell olarak değiştirmişti. Ama sonuç olarak firma, Kanada'ya da Amerika'ya da birebir aynı bilgileri vermişti. FDA ayak diredi, Kanada hükümeti ise verileri yeterli bularak ilacı onayladı. Bu nedenle Kanada'da yüzlerce bebek gelişim sorunlarıyla doğdu.[44]
Türkiye
Türkiye'nin bu felaketi atlatması ise, aslen bir veteriner hekim olan, özellikle de bakteriyoloji üzerine uzmanlaşan Ordinaryus Prof. Dr. Süreyya Tahsin Aygün ve Ankara Üniversitesi Tıp Fakültesi Farmakoloji Kürsüsü başkanı Prof. Dr. Şükrü Kaymakçalan sayesinde olmuştur.[50]
 
      
    Türkiye ekonomik nedenlerle yeni çıkan ilaçları zaten biraz geriden takip ediyordu, dolayısıyla ilaç çıkar çıkmaz Türkiye'ye ulaşmadı. Ama ilaç Türkiye'ye geldiğinde, dönemin Sağlık Bakanlığı, bu iki akademisyenden aldığı bilgiler nedeniyle ilaca ruhsat vermedi.
Profesör Kaymakçalan, ilacın toksisite analizinin yeterli olmadığı yönünde görüş bildirmişti. Prof. Dr. Osman Özdemir, şöyle anlatıyor:[50]
Farmakoloji biliminin Türkiye'deki duayenlerinden ve Türk İlaç Sektörü ile yakından ilgili olan hocamız Prof. Dr. Alaeddin Akcasu'ya bu konuyu [thalidomide'in piyasadan çekilmesi konusunu] sordum. Hocamız bana aynen şöyle dedi: 'Şükrü (Prof. Dr. Şükrü Kaymakçalan, Ankara Üniversitesi Tıp Fakültesi Farmakoloji Kürsüsü) bu konuda, Talidomid'in ruhsat alması için gerekli oluru vermeyeceğini, gerekçe olarak da Talidomid ile deney hayvanları üzerinde yeterli çalışmalar yapılmadığını göstermiştir.'
Ordinaryus Profesör Aygün ise eline geçen birkaç tablet talidomidi kullanarak yaptığı deneylerde, tavuk embriyosunda gelişim sorunları gözlemişti.[50] Bu şekilde veriden gücünü alan, hüsnükuruntudan uzak uyarılar sayesinde Türkiye'de 1 kişi bile thalidomide faciasından etkilenmedi.
Thalidomide Faciası Neler Öğretti?
Tarihte böyle bir facianın yaşanması, her yeni ilacın, aşının ve tıbbi teknolojinin yeni facialara neden olacağı anlamına mı geliyor? Elbette hayır. Tam tersine! Bilim, hata yaptığında bunu kabullenip, bundan dersler çıkaran bir yapıya sahip olduğu için, her yaptığımız hata sonraki hata riskini bir o kadar azaltmaktadır.
Örneğin 2016'da piyasaya 20 yeni ilaç sürülmüştür. 2018'de bu sayı 60'tır; 2020'de ise 53'tür. Sadece 2000-2008 arasında 209 farklı ilaç FDA tarafından onaylanmıştır. Eğer her ilaca "Yeterince araştırılmadı, FDA gibi kurumlar da zaten satılmış kurumlar, bunların hepsi ölümcül!" dersek, yeryüzünde ne ilaç kalırdı ne de insan...
Ama şunu da çok iyi anlamak gerekmektedir: Bilimin her gün mücadele ettiği şey riskler ve olasılıklardır. Bunlar her zaman yüzdeyle ifade edilecektir. Hata payını hiçbir zaman %0 yapamayız; ne kadar test yaparsak yapalım, ne kadar dikkatli olursak olalım, mutlaka hatalar olacaktır. Önemli olan, belirli protokolleri yerleştirmek, şeffaf olmak ve bu protokolleri sıkı sıkıya takip etmektir. Yani önemli olan, yapılacak hataların dürüst hatalar, ders çıkarılabilir hatalar olmasıdır. Bu, günlük yaşantımız için de böyledir. Herkes hata yapar, hatadan kaçamazsınız. Ama yaptığınız hatalar, dürüst hatalar olmalıdır. Bu süreçte bilim ve rasyonel düşünce de yolunuza ışık tutacaktır.
mRNA Aşıları Gibi Görece Yeni Tıbbi Teknolojiler Faciaya Neden Olur mu?
Hayır, tıp tarihindeki herhangi bir hata ile modern tıbbın yöntemleri arasında doğrudan hiçbir ilişki kurulamaz. Bir noktada belli tıbbi hataların yapılmış olması, bu hataların tekrar yapılacağını garanti etmez. Tam tersine, bilimin hataları kabul edip bu hataları minimize edecek uygulamaları devreye sokması, yani dogmatik olmaması sayesinde bu hatalardan çıkarılan dersler, sonradan tekrar aynı hataya düşme ihtimalini azaltmaktadır. Hepsi bir yana, Thalidomide ile herhangi bir aşı arasında ilişki kurmak, tıp ve biyokimyadan hiçbir şey anlamamış olmayı gerektirir.
Thalidomide Faciası ile mRNA Aşılarının Alakasızlığı
Thalidomide faciasını çok iyi okumak gerekir. Thalidomide ile mRNA aşıları oldukça alakasız iki konudur. Basit bir farkındalıkla başlayalım: Thalidomide faciası 60 küsür yıl önce yaşanmıştır. COVID-19 salgınında mücadele ettiğimiz koronavirüsleri ise, neredeyse o olay yaşandığından beri tanımaktayız ve bunlara yönelik aktif araştırmlar yürütmekteyiz. 70 küsür yıldır mRNA deneyleri, 30 yıldır mRNA aşısı araştırmaları yapılmaktadır. mRNA aşıları, Thalidomide çıktığındaki kadar "genç" bir ilaç değildir. Hatta mRNA aşıları, bir "ilaç" bile değildir!
Aşılar ile İlaçlar Arasındaki Farklar
Burada ilaç-aşı farkını hızlıca hatırlamakta fayda vardır: İlaçlar, vücudumuzdaki biyokimyasal süreçleri değiştirerek sorunları çözmeyi hedeflerler. Bu sırada beklenmedik etkilere neden olarak uzun vadeli etkilere sahip olabilirler. Ayrıca birçok ilacın yıllarca düzenli olarak kullanılması gerekir; bu nedenle sadece başınız ağrıdığında aldığınız bir ağrı kesicinin "uzun dönem" etkilerinden endişe etmezsiniz. Ama ömrünüz boyunca kullanacağınız bir kanser ilacının uzun dönem etkilerinden endişe etmeniz normaldir (ve bilim insanları da bu nedenle didik didik araştırırlar).
Aşılar ise biyokimyasal süreçlere müdahale etmezler; virüsün hâlihazırda vücudumuza sokacağı genlerin daha ufak bir kısmını veya virüsün bazı parçalarını veya zayıflatılmış bir versiyonunu vücudumuza sokarlar. Bu sayede bağışıklık tepkisini tetiklerler ve o virüse veya bakteriye karşı direnç geliştirmemizi sağlarlar. Yani ilaçlarda etkiyi yapan ilacın kendisidir; aşılarda işi yapan asıl şeyse doğal olarak sahip olduğumuz savunma sistemidir. Ayrıca aşılar, genellikle bir veya birkaç kez olunur. Ömür boyu sık sık alınmadıkları için, uzun dönem etkilerinden endişe etmek için bir gerekçe yoktur.
Tüm bunlar, aşıları doğal olarak daha güvenli bir tıbbi prosedür hâline getirmektedir. Bugüne kadar, uzun dönem etkileri nedeniyle faydaları elimine edilmiş olan ve dolayısıyla aşıyı genel geçer olarak "zararlı" hâle getiren veya yan etkileri 2 aydan daha uzun bir süre sonunda ortaya çıkan hiçbir aşı vakası yaşanmamıştır. mRNA aşılarının uzun dönem yan etkileriyle ilgili olarak buradaki yazımızı okuyabilirsiniz.
mRNA aşılarının güvensiz olduğunu gösteren hiçbir veri olmadığı gibi (mRNA, gebelerde de test edilmiş ve hiçbir yan etkisi olmadığı ispatlanmıştır), güvensiz olmasını gerektirecek teorik bir neden bile yoktur! Zaten virüsler vücudumuza girdiğinde, bırakın sadece mızrak proteinlerinin genlerini, bütün genomlarını vücut hücrelerimize enjekte ederler ve hücrelerimizi kendi köleleri hâline getirerek kendi kopyalarını yaratmaya zorlarlar! mRNA aşıları sadece mızrak proteinleriyle ilgili bilgileri "enjekte ederler", dolayısıyla hücreleri enfekte edebilecek tam mekanizmayı içermez. Eğer insanlar gen enjeksiyonundan korkuyorlarsa, virüslerden korkmalılar, virüsün genomunun ufacık bir kısmını taşıyan mRNA aşılarından değil.
Ayrıca güvenlik konusunda da önlemler fevkalade işlemektedir: Örneğin mRNA aşıları ilk çıktığında, 16 yaş altına önerilmemiştir ve hamileler konusunda da bir süre beklenmiştir. İşte bunun sebebi, bu tür facialardan alınan derslerdir. Eğer elde veri yoksa, belli gruplara o aşı önerilmez. Sonradan bu veriler geldi ve aşılar da yavaş yavaş o gruplara da önerilmeye başlanır.
Thalidomide Günümüzde Kullanılıyor mu?
Tüm bu faciadan sonra thalidomide'in yeryüzünden tamamen silindiğini ve yüzüne bir daha asla bakılmadığını düşünebilirsiniz. Bu, büyük bir hata olurdu. Çünkü thalidomide, günümüzde aktif olarak kullanılmaktadır.
Bugüne kadar thalidomide hakkında binlerce makale yayınlanmıştır ve birçok özelliği keşfedilmiştir. Örneğin yapılan çalışmalar, ilacın aslında bu kadar tehlikeli olmak zorunda olmadığını göstermiştir. Bunu iyice anlayabilmek için, kimya bilgilerimizi tazelememiz gerekmektedir.
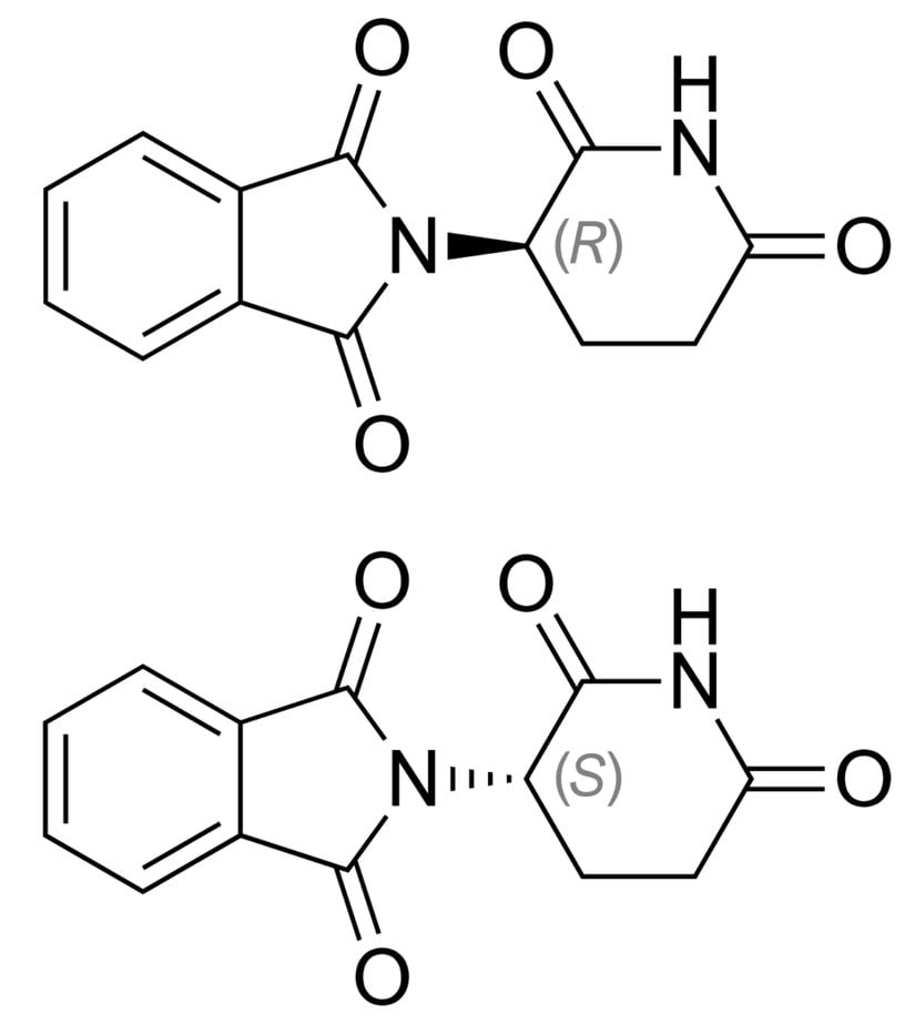
Kiralite Nedir?
Kimyasal moleküllerde kiralite denen bir özellik vardır. Kiralite, bir çeşit ayna simetrisidir. Örneğin ellerimiz kiral yapılardır; birbirinin ayna simetrisi şeklindedirler. Ne yaparsanız yapın, ellerinizi birbirinin üzerine tam olarak oturtamazsınız. Avuç içleriniz birbirine bakacak şekilde parmaklarınızı eşleseniz bile, bu defa da avcunuz ve elinizin dış kısmı ters yönlere bakar; yani iki eliniz birbiri üzerine tam olarak asla oturamaz. İşte bu tür simetriye kimyada kiralite denir.
Moleküller de böyle kiral olabilirler: Bunlardan birine sağ elli molekül, diğerine sol elli molekül adı verilmektedir. Birbirinin enantiyomorfu da denebilen bu iki yapı, birbirinden çok farklı kimyasal özelliklere sahip olabilmektedir.
İşte thalidomide sentezinde de bu kiral thalidomide moleküllerinden %50-50 oluştuğu fark edilmiştir. Yani yarısı sağ elli, yarısı sol elli sentezlenmektedir. Aslında sol elli molekül, çok faydalı özelliklere sahiptir; ama sağ elli olanı insanlar için çok toksiktir. İşte bu yazı boyunca sözünü ettiğim olumsuz sonuçlara sebep olan molekül, sağ elli thalidomide molekülleridir.

Thalidomide'in Modern Kullanım Alanları
İşte ilacın bu daha faydalı versiyonu, 1960'larda cüzzam tedavisinde etkili bir ilaç olarak kullanıldı. 2006'da FDA tarafından çoklu miyeloma adlı lenfosit kanserinin erken dönem tedavisinde kullanılmak üzere onaylanmıştır.[45] Yapılan çalışmalar, thalidomide'in gebelerdeki etkisinin gebeliğin 42. gününe kadar olduğu fark edilmiştir. Yine de önlem olarak gebelikte alternatif ilaçlar kullanılmaktadır; ancak thalidomide, her gebeyi her zaman etkilememektedir - sadece 20-22 günlük hassas bir pencerede yavru gelişimini etkilemektedir.[46]
İşte bilim ışığında elde edilen tüm bu yeni veriler ışığında, daha fazla araştırma sayesinde, ilacın kimler tarafından, ne dozda ve nasıl kullanılacağı daha net belirlenmiştir. Bu süreçte yapılan hatalardan dersler çıkarılmış, Dünya genelinde çok sayıda yeni regülasyon ve önlem getirilmiştir. O gün bugündür bu düzeyde bir facianın yaşanmamış olması, bilime kulak vermenin hataları minimize edebileceğini ve bilime güvenebileceğimizi ispatlamaktadır.
Sonuç
Geliştirilme sürecini tamamlayan farmakolojik maddelerin ilaç olarak sınıflandırılabilmeleri için bilimsel yöntemlerle test edilmeleri gerekir. İlaç olmaya aday materyal içeriğindeki bileşenlerin, insan türü üzerindeki olası yan etkilerinin belirlenebilmesi için hayvanlar ve insanlar üzerinde bir dizi deney yapılması tıbbi açıdan zorunludur. Deney süreci titizlikle takip edilmediği ve olası yan etkiler yeterince kontrol edilmediği takdirde hesapta olmayan kitlesel problemler ortaya çıkabilir.
Thalidomide faciasının bir dünya trajedisi olduğunda herkes hemfikirdir. Bu facia sayesinde ilaçların denetim, pazarlama ve deney sürecinde köklü değişim ve yeniliklere imza atılmıştır. Facia sonrasında FDA (Amerikan Gıda ve İlaç İdaresi) ve diğer denetleyici kurumlar, ilacın pazarlanmasını yalnızca, ilacı kullanan insanların risklerin farkında olmalarını sağlayan denetlenebilir bir risk değerlendirme ve azaltma stratejisi ile onaylamışlardır. Bu tür önlemler sayesinde, yeni teknolojilerin riskini %0 yapamasak bile, her geçen gün ona biraz daha yakınlaştırmamız mümkün olmaktadır. Bilim, çalışmaktadır!
Evrim Ağacı'nda tek bir hedefimiz var: Bilimsel gerçekleri en doğru, tarafsız ve kolay anlaşılır şekilde Türkiye'ye ulaştırmak. Ancak tahmin edebileceğiniz gibi Türkiye'de bilim anlatmak hiç kolay bir iş değil; hele ki bir yandan ekonomik bir hayatta kalma mücadelesi verirken...
O nedenle sizin desteklerinize ihtiyacımız var. Eğer yazılarımızı okuyanların %1'i bize bütçesinin elverdiği kadar destek olmayı seçseydi, bir daha tek bir reklam göstermeden Evrim Ağacı'nın bütün bilim iletişimi faaliyetlerini sürdürebilirdik. Bir düşünün: sadece %1'i...
O %1'i inşa etmemize yardım eder misiniz? Evrim Ağacı Premium üyesi olarak, ekibimizin size ve Türkiye'ye bilimi daha etkili ve profesyonel bir şekilde ulaştırmamızı mümkün kılmış olacaksınız. Ayrıca size olan minnetimizin bir ifadesi olarak, çok sayıda ayrıcalığa erişim sağlayacaksınız.
Makalelerimizin bilimsel gerçekleri doğru bir şekilde yansıtması için en üst düzey çabayı gösteriyoruz. Gözünüze doğru gelmeyen bir şey varsa, mümkünse güvenilir kaynaklarınızla birlikte bize ulaşın!
Bu makalemizle ilgili merak ettiğin bir şey mi var? Buraya tıklayarak sorabilirsin.
Soru & Cevap Platformuna Git- 57
- 21
- 19
- 14
- 10
- 9
- 9
- 7
- 4
- 2
- 1
- 0
- ^ Drugs. Thalidomide. Alındığı Tarih: 15 Aralık 2021. Alındığı Yer: Drugs | Arşiv Bağlantısı
- ^ J. F. Committee. (2018). Bnf 76 (British National Formulary) September 2018. ISBN: 9780857113382. Yayınevi: Pharmaceutical Press.
- ^ B. Liu, et al. (2010). Developments In Nonsteroidal Antiandrogens Targeting The Androgen Receptor. ChemMedChem, sf: 1651-1661. doi: 10.1002/cmdc.201000259. | Arşiv Bağlantısı
- ^ F. Q. Nuttall, et al. (2015). Gynecomastia And Drugs: A Critical Evaluation Of The Literature. European Journal of Clinical Pharmacology, sf: 569-578. doi: 10.1007/s00228-015-1835-x. | Arşiv Bağlantısı
- ^ T. D. Stephens, et al. (2000). Mechanism Of Action In Thalidomide Teratogenesis. Biochemical Pharmacology, sf: 1489-1499. doi: 10.1016/S0006-2952(99)00388-3. | Arşiv Bağlantısı
- ^ N. Vargesson. (2015). Thalidomide-Induced Teratogenesis: History And Mechanisms. Birth Defects Research Part C: Embryo Today: Reviews, sf: 140-156. doi: 10.1002/bdrc.21096. | Arşiv Bağlantısı
- ^ J. H. Kim, et al. (2011). Thalidomide: The Tragedy Of Birth Defects And The Effective Treatment Of Disease. Toxicological Sciences, sf: 1-6. doi: 10.1093/toxsci/kfr088. | Arşiv Bağlantısı
- ^ K. A. Donovan, et al. (2018). Thalidomide Promotes Degradation Of Sall4, A Transcription Factor Implicated In Duane Radial Ray Syndrome. eLife Sciences Publications, Ltd. doi: 10.7554/eLife.38430. | Arşiv Bağlantısı
- ^ H. Blake. A History Of Novartis -. (20 Eylül 2013). Alındığı Tarih: 15 Aralık 2021. Alındığı Yer: Pharma Forum | Arşiv Bağlantısı
- ^ Royal Pharmaceutical Society. The Evolution Of Pharmacy, Theme E, Level 3 Thalidomide And Its Aftermath. (9 Ekim 2014). Alındığı Tarih: 15 Aralık 2021. Alındığı Yer: Royal Pharmaceutical Society | Arşiv Bağlantısı
- ^ the Guardian. Thalidomide: How Men Who Blighted Lives Of Thousands Evaded Justice. (14 Kasım 2014). Alındığı Tarih: 15 Aralık 2021. Alındığı Yer: the Guardian | Arşiv Bağlantısı
- ^ MozartCultures. The Thalidomide Tragedy: Worst Men-Made Disaster - Mozartcultures. (24 Ocak 2021). Alındığı Tarih: 15 Aralık 2021. Alındığı Yer: MozartCultures | Arşiv Bağlantısı
- ^ a b Association Canadienne des victimes de la Thalidomide. What Is Thalidomide?. (9 Kasım 2017). Alındığı Tarih: 15 Aralık 2021. Alındığı Yer: Association Canadienne des victimes de la Thalidomide | Arşiv Bağlantısı
- ^ K. Thomas. The Unseen Survivors Of Thalidomide Want To Be Heard. (23 Mart 2020). Alındığı Tarih: 15 Aralık 2021. Alındığı Yer: The New York Times | Arşiv Bağlantısı
- ^ Onco'Zine. Thalidomide's Secret Past: The Link With Nazi Germany. (10 Aralık 2021). Alındığı Tarih: 15 Aralık 2021. Alındığı Yer: Onco'Zine | Arşiv Bağlantısı
- ^ R. Williams. The Nazis And Thalidomide: The Worst Drug Scandal Of All Time. (10 Eylül 2012). Alındığı Tarih: 15 Aralık 2021. Alındığı Yer: Newsweek | Arşiv Bağlantısı
- ^ E. Klee, et al. (2021). The Good Old Days: The Holocaust As Seen By Its Perpetrators And Bystanders. ISBN: 9781568521336.
- ^ A. Jacobsen. (2014). Operation Paperclip: The Secret Intelligence Program That Brought Nazi Scientists To America. ISBN: 9780316221047. Yayınevi: Little, Brown and Company.
- ^ M. E. Franks, et al. (2004). Thalidomide. The Lancet, sf: 1802-1811. doi: 10.1016/S0140-6736(04)16308-3. | Arşiv Bağlantısı
- ^ D. Campbell. 'Wonder Drug' Left Babies With Deformed Limbs. (29 Temmuz 2009). Alındığı Tarih: 15 Aralık 2021. Alındığı Yer: the Guardian | Arşiv Bağlantısı
- ^ J. Botting. (2005). The History Of Thalidomide. Clarivate, sf: 604. doi: 10.1358/dnp.2002.15.9.840066. | Arşiv Bağlantısı
- ^ S. Loue. (2004). Encyclopedia Of Women's Health. ISBN: 9780306480737. Yayınevi: Springer.
- ^ C. Blakemore, et al. (2014). The Oxford Companion To The Body. Oxford University Press. doi: 10.1093/acref/9780198524038.001.0001. | Arşiv Bağlantısı
- ^ Science Museum. Thalidomide. Alındığı Tarih: 15 Aralık 2021. Alındığı Yer: Science Museum | Arşiv Bağlantısı
- ^ A. Heaton. (1993). The Chemical Industry. ISBN: 9780751400182. Yayınevi: Springer.
- ^ F. O. Kelsey. (2016). Events After Thalidomide:. Journal of Dental Research, sf: 1199-1205. doi: 10.1177/00220345670460061201. | Arşiv Bağlantısı
- ^ Science Museum. What It's Like To Be Affected By Thalidomide. (14 Kasım 2019). Alındığı Tarih: 15 Aralık 2021. Alındığı Yer: YouTube | Arşiv Bağlantısı
- ^ Association canadienne des victimes de la Thalidomide. Congenital Malformations. (9 Kasım 2017). Alındığı Tarih: 15 Aralık 2021. Alındığı Yer: Association canadienne des victimes de la Thalidomide | Arşiv Bağlantısı
- ^ a b J. F. Webb. (1963). Canadian Thalidomide Experience. Canadian Medical Association Journal, sf: 987. | Arşiv Bağlantısı
- ^ Turning Points. Prescription For Disaster. (29 Eylül 2011). Alındığı Tarih: 15 Aralık 2021. Alındığı Yer: History TV | Arşiv Bağlantısı
- ^ C. Zimmer. Answers Begin To Emerge On How Thalidomide Caused Defects. (15 Mart 2010). Alındığı Tarih: 15 Aralık 2021. Alındığı Yer: The New York Times | Arşiv Bağlantısı
- ^ F. Dove. What's Happened To Thalidomide Babies?. (3 Kasım 2011). Alındığı Tarih: 15 Aralık 2021. Alındığı Yer: BBC News | Arşiv Bağlantısı
- ^ a b Onco'Zine. Reversal Of Fortune: How A Vilified Drug Became A Life-Saving Agent In The 'War' Against Cancer - Onco'zine. (1 Aralık 2013). Alındığı Tarih: 15 Aralık 2021. Alındığı Yer: Onco'Zine | Arşiv Bağlantısı
- ^ GlaxoSmithKline. Our History. Alındığı Tarih: 15 Aralık 2021. Alındığı Yer: GlaxoSmithKline | Arşiv Bağlantısı
- ^ K. Thomas. The Story Of Thalidomide In The U.s., Told Through Documents. (23 Mart 2020). Alındığı Tarih: 15 Aralık 2021. Alındığı Yer: The New York Times | Arşiv Bağlantısı
- ^ J. Lexchin. We Need Answers To The Thalidomide Tragedy – To Ensure Drug Safety Today. (25 Ekim 2018). Alındığı Tarih: 15 Aralık 2021. Alındığı Yer: Medical Xpress | Arşiv Bağlantısı
- ^ H. Timmons, et al. France Helped Broker The Aventis-Sanofi Deal. (27 Nisan 2004). Alındığı Tarih: 15 Aralık 2021. Alındığı Yer: The New York Times | Arşiv Bağlantısı
- ^ Chemical & Engineering News. Thalidomide. Alındığı Tarih: 15 Aralık 2021. Alındığı Yer: Chemical & Engineering News | Arşiv Bağlantısı
- ^ Changing the Face of Medicine. Frances Kathleen Oldham Kelsey. Alındığı Tarih: 15 Aralık 2021. Alındığı Yer: NIH | Arşiv Bağlantısı
- ^ R. F. Check. Fact Check-Fda Did Not Approve Thalidomide For Pregnant Women In 1950S Or 1960S. (27 Ağustos 2021). Alındığı Tarih: 15 Aralık 2021. Alındığı Yer: U.S. | Arşiv Bağlantısı
- ^ US Thalidomide Survivors. The True Story Of Thalidomide In The Us. Alındığı Tarih: 15 Aralık 2021. Alındığı Yer: US Thalidomide Survivors | Arşiv Bağlantısı
- ^ J. Kingsland. How The Thalidomide Scandal Led To Safer Drugs. (15 Aralık 2020). Alındığı Tarih: 15 Aralık 2021. Alındığı Yer: Medical News Today | Arşiv Bağlantısı
- ^ L. Bren. Frances Oldham Kelsey: Fda Medical Reviewer Leaves Her Mark On History. (1 Nisan 2019). Alındığı Tarih: 15 Aralık 2021. Alındığı Yer: U.S. Food and Drug Administration | Arşiv Bağlantısı
- ^ Association canadienne des victimes de la Thalidomide. The Canadian Tragedy. (9 Kasım 2017). Alındığı Tarih: 15 Aralık 2021. Alındığı Yer: Association canadienne des victimes de la Thalidomide | Arşiv Bağlantısı
- ^ Myeloma Euronet. Talidomid. (1 Mayıs 2009). Alındığı Tarih: 15 Aralık 2021. Alındığı Yer: Myeloma Euronet | Arşiv Bağlantısı
- ^ BBC Two. Thalidomide - The Fifty Year Fight. (30 Mayıs 2014). Alındığı Tarih: 15 Aralık 2021. Alındığı Yer: BBC Two | Arşiv Bağlantısı
- Anorak. 1968 In Photos: The High Court Agrees Meagre Compensation For Thalidomide Victims. (6 Mart 2019). Alındığı Tarih: 6 Mart 2019. Alındığı Yer: Flashback | Arşiv Bağlantısı
- Brought to Life. Thalidomide. (6 Mart 2019). Alındığı Tarih: 6 Mart 2019. Alındığı Yer: Science Museum | Arşiv Bağlantısı
- Neil Vargesson. (2019). Thalidomide‐Induced Teratogenesis: History And Mechanisms. PubMed, sf: 140-156. | Arşiv Bağlantısı
- ^ a b c O. Özdemir. Http://Www.tfd.org.tr/Sites/Default/Files/Klasor/Dosyalar/Ebultenler/114_2012_4_0.Pdf. (1 Temmuz 2012). Alındığı Tarih: 15 Aralık 2021. Alındığı Yer: Türkiye Farmakoloji Derneği | Arşiv Bağlantısı
Evrim Ağacı'na her ay sadece 1 kahve ısmarlayarak destek olmak ister misiniz?
Şu iki siteden birini kullanarak şimdi destek olabilirsiniz:
kreosus.com/evrimagaci | patreon.com/evrimagaci
Çıktı Bilgisi: Bu sayfa, Evrim Ağacı yazdırma aracı kullanılarak 31/10/2025 06:16:06 tarihinde oluşturulmuştur. Evrim Ağacı'ndaki içeriklerin tamamı, birden fazla editör tarafından, durmaksızın elden geçirilmekte, güncellenmekte ve geliştirilmektedir. Dolayısıyla bu çıktının alındığı tarihten sonra yapılan güncellemeleri görmek ve bu içeriğin en güncel halini okumak için lütfen şu adrese gidiniz: https://evrimagaci.org/s/7640
İçerik Kullanım İzinleri: Evrim Ağacı'ndaki yazılı içerikler orijinallerine hiçbir şekilde dokunulmadığı müddetçe izin alınmaksızın paylaşılabilir, kopyalanabilir, yapıştırılabilir, çoğaltılabilir, basılabilir, dağıtılabilir, yayılabilir, alıntılanabilir. Ancak bu içeriklerin hiçbiri izin alınmaksızın değiştirilemez ve değiştirilmiş halleri Evrim Ağacı'na aitmiş gibi sunulamaz. Benzer şekilde, içeriklerin hiçbiri, söz konusu içeriğin açıkça belirtilmiş yazarlarından ve Evrim Ağacı'ndan başkasına aitmiş gibi sunulamaz. Bu sayfa izin alınmaksızın düzenlenemez, Evrim Ağacı logosu, yazar/editör bilgileri ve içeriğin diğer kısımları izin alınmaksızın değiştirilemez veya kaldırılamaz.
 
             
             
             
       
           
           
                   
                   
                   
                   
                   
                   
                   
                   
                   
                   
                   
                  