Kokain Nedir? Kokainin Kökeni ve Etkileri Nelerdir?

- Özgün
- Biyokimya
- Psikoaktif İlaçlar





Bu Makalede Neler Öğreneceksiniz?
- Define cocaine as a powerful, highly addictive stimulant derived from Erythroxylon coca plants native to South America.
- Highlight cocaine use increases risks of death, infections, stroke, heart issues, and may contain toxic adulterants when sold illegally.
- Describe common administration routes including nasal inhalation, injection, and smoking, with smoking causing the fastest and most addictive effects.
Kokain, güçlü bir uyarıcı ve son derece bağımlılık yapan bir uyuşturucu maddedir. Kokain, Güney Amerika'da yetişen Erythroxylon coca (veya kısaca "koka") ve Erythroxylum novogranatense türü bitkilerden üretilen, alkaloid bir uyarıcı uyuşturucudur.[1], [2] Kokain öylesine güçlü bir uyuşturucudur ki sadece 1 doz kullanımı sonucunda uyuşturucunun etkilerine karşı tolerans geliştirme ve dolayısıyla bağımlılık sürecine girmek mümkündür.[3] Her bir doz bir öncekinden daha yetersiz geleceği için, tekrarlayan kullanım sonucunda kokain bağımlılığı oluşur.
Kokain kullanımı, genel ölüm riskini artırır ve özellikle de damar içi kullanımı travma, kan enfeksiyonları ve HIV gibi bulaşıcı hastalık riskini artırır. Ayrıca kokain kullananlarda inme, kalp krizi, kardiyak aritmi, (sigara gibi içildiğinde) akciğer hasarı ve ani kardiyak ölüm riski de daha yüksektir.[2], [4] Yasa dışı olarak satılan kokain genellikle lokal anestezikler, levamizol, mısır nişastası, kinin veya şeker ile karıştırıldığında ek toksisiteye neden olabilir.[5] 2017'de yayınlanan Küresel Hastalık Yükü çalışması, kokain kullanımının dünya çapında yılda yaklaşık 7300 ölüme neden olduğunu bulmuştur.[6] Kokainden kurtulmaya çalışan bağımlılar, depresyon, libido azalması, zevk hissetme yeteneğinde azalma ve yorgunluk ile birlikte kokain aşerme ve uyuşturucu yoksunluğu yaşarlar.[2]
Kokain almak için en sık kullanılan yol, yaklaşık 3 dakikada etki eden burundan çekmedir. Bir diğer yol ise damar yoluyla enjeksiyondur. Suda karıştırılıp damara enjekte edilen kokain, sadece 20 saniyede etki eder (kullanıcılar arasında "speedball" olarak bilinen bir yöntem dahilinde kokain, bazen eroin ile birlikte de enjekte edilebilir).[7] Enjekte edilen madde steril olmadığından, bu ekstra riskli bir kullanım yoludur. Dumanı içe çekme ise hem en hızlı etki eden hem de en kolay bağımlılık yapan yoldur.
Kokain, kan-beyin bariyerini bir proton-bağlı organik katyon antiporter aracılığıyla ve (daha az ölçüde) hücre zarları boyunca pasif difüzyon yoluyla geçer.[8], [9], [10] Kokain, dopamin taşıyıcısını bloke eder, dopaminin sinaptik yarıktan sinaptik öncesi akson terminaline geri alınmasını engeller; sinaptik yarıktaki daha yüksek dopamin seviyeleri, sinaptik sonrası nörondaki dopamin reseptör aktivasyonunu artırır ve bu sayede öfori ile uyarılmaya neden olur.[11], [12], [13], [14] Kokain ayrıca serotonin taşıyıcısını ve norepinefrin taşıyıcısını bloke eder, sinaptik aralıktan pre-sinaptik akson terminaline serotonin ve norepinefrin geri alımını inhibe eder ve sinaptik sonrası nöronda serotonin reseptörlerinin ve norepinefrin reseptörlerinin aktivasyonunu artırarak kokain maruziyeti ile ilişkili zihinsel ve fiziksel etkilere sebep olur.[15]
Kokain, beyindeki ödül yollarını uyarır.[2] Zihinsel etkileri arasında yoğun bir mutluluk hissi, cinsel uyarılma, gerçeklikle temasın kesilmesi veya ajitasyon sayılabilir. Fiziksel etkiler arasında hızlı kalp atışı, terleme ve genişlemiş gözbebekleri bulunur. Yüksek dozlarda kokain tüketmek, yüksek kan basıncına veya yüksek vücut ısısına neden olabilir.[16] Etkiler, kullanımdan saniyeler ila dakikalar sonra başlar ve 5-90 dakika arasında sürer. Kokain ayrıca uyuşma ve kan damarı daraltma özelliklerine de sahip olduğundan, bazen boğazda veya burun içinde yapılan ameliyatlar sırasında ağrı, kanama ve ses teli spazmını kontrol altına almak için de kullanılır.[17]
Kokain, özellikle de 1850 yılından sonra medikal etkileri sebebiyle Batı tıbbında yaygın olarak kullanılmaya başlamıştır. Kokainin lokal anestezik ve uyarıcı etkileri ilk olarak Sigmund Freud ve Karl Koller tarafından keşfedilmiştir. İlk olarak Karl Koller'in katarakt ameliyatında kokain kullanmasının ardından anestezi kullanımı gerektiren tüm cerrahi işlemlerde kokainden yararlanılmıştır. Kokain, bir dönem Coca Cola'ya da ilave edilmiştir (firmanın adındaki "coca" buradan gelmektedir).[18]
Bir süre sonra suistimallerin giderek artmasıyla kokain, 1960 yıllarında yasa dışı ilan edilmiştir. Fakat 1970'li yıllarda, yasaklara rağmen Amerika'da kullanımı oldukça popüler hale gelmeye başlamıştır. Kokainin kullanıcılarında ortaya çıkan psikolojik ve fizyolojik olumsuz etkilerden dolayı ve aynı zamanda bağımlılık yapıcı özelliği sebebiyle, kokain günümüzde ilaç olarak kullanılmamaktadır. Bulundurulması ve kullanılması yasaktır.
Kokainin Kimyasal Özellikleri ve Sentezi
Kokain, C17H21NO4\text C_{17}\text H_{21}\text N\text O_4 formülüne sahip, koka ağacından (Erythroxylon coca) elde edilen bir alkoliddir. Kokainin erime noktası 98 santigrat derece ve kaynama noktası 187 santigrat derecedir. Suda az çözünmesine karşın uçucu yağlar, etil eter, benzen, kloroform, toluen içinde çözünür; etanol içindeyse çok iyi çözünür. İçinde çözülmediği maddeler arasında griserol ve petrol eteri sayılabilir.

Kokain, en saf halinde beyaz, inci gibi bir üründür. Toz halinde kokain, tipik olarak kokain hidroklorür olarak isimlendirilen bir tuz hâlinde bulunur. Kokain, kimi zaman sokakta satılmadan önce kimi zamansa satın alımdan sonra kullanıcılar tarafından talk, laktoz, sukroz, glikoz, mannitol, inositol, prokain, tetrakain, fenitoin, lignokain, striknin, levamizol, inositol, lidokain, opioidler (örneğin esrar), amfetaminler (C9H13N\text C_9\text H_{13}\text N), anti-histaminler (C23H24FN5\text C_{23}\text H_{24}\text F\text N_5), benzokain (C9H11NO2\text C_9\text H_{11}\text N\text O_2), fensiklidin (PCP, melek tozu) ve bazen de arsenik, kafein, kinidin ile karıştırılabilmektedir (veya kullanıcılar arasındaki tabiriyle "kesilebilmektedir").[19]

Krek Kokain
"Krek" ("taş" veya "crack") kokain, kokainin sodyum bikarbonat (kabartma tozu) ve su ile işlenmesi sonucu küçük "taşlar" haline getirilen, dumanı içilebilir bir şeklidir.[4], [7] Crack kokain, ısıtıldığında çıkardığı "çatırtı" (İng: "crack") seslerinden dolayı "crack" olarak anılır.
Crack kokain, genellikle cam bir boru yardımıyla içilir ve solunduğunda, akciğerlerden geçip doğrudan merkezi sinir sistemine ulaşarak, çok güçlü olabilen ve neredeyse anında vuran bir "kafa olma" etkisi yaratır üretir - bu ilk stimülasyon fırlamasına "rush" denir. Bunu, aynı derecede yoğun bir düşme takip eder ve kullanıcının daha fazla uyuşturucu için adeta can atmasına neden olur. Crack kokain bağımlılığı genellikle sadece 4-6 haftada oluşur (bu, bağışıklık oluşturması 3-4 yıl kadar sürebilen normal kokainden çok daha hızlıdır).[20]
Evrim Ağacı'nın çalışmalarına Kreosus, Patreon veya YouTube üzerinden maddi destekte bulunarak hem Türkiye'de bilim anlatıcılığının gelişmesine katkı sağlayabilirsiniz, hem de site ve uygulamamızı reklamsız olarak deneyimleyebilirsiniz. Reklamsız deneyim, sitemizin/uygulamamızın çeşitli kısımlarda gösterilen Google reklamlarını ve destek çağrılarını görmediğiniz, %100 reklamsız ve çok daha temiz bir site deneyimi sunmaktadır.
KreosusKreosus'ta her 50₺'lik destek, 1 aylık reklamsız deneyime karşılık geliyor. Bu sayede, tek seferlik destekçilerimiz de, aylık destekçilerimiz de toplam destekleriyle doğru orantılı bir süre boyunca reklamsız deneyim elde edebiliyorlar.
Kreosus destekçilerimizin reklamsız deneyimi, destek olmaya başladıkları anda devreye girmektedir ve ek bir işleme gerek yoktur.
PatreonPatreon destekçilerimiz, destek miktarından bağımsız olarak, Evrim Ağacı'na destek oldukları süre boyunca reklamsız deneyime erişmeyi sürdürebiliyorlar.
Patreon destekçilerimizin Patreon ile ilişkili e-posta hesapları, Evrim Ağacı'ndaki üyelik e-postaları ile birebir aynı olmalıdır. Patreon destekçilerimizin reklamsız deneyiminin devreye girmesi 24 saat alabilmektedir.
YouTubeYouTube destekçilerimizin hepsi otomatik olarak reklamsız deneyime şimdilik erişemiyorlar ve şu anda, YouTube üzerinden her destek seviyesine reklamsız deneyim ayrıcalığını sunamamaktayız. YouTube Destek Sistemi üzerinde sunulan farklı seviyelerin açıklamalarını okuyarak, hangi ayrıcalıklara erişebileceğinizi öğrenebilirsiniz.
Eğer seçtiğiniz seviye reklamsız deneyim ayrıcalığı sunuyorsa, destek olduktan sonra YouTube tarafından gösterilecek olan bağlantıdaki formu doldurarak reklamsız deneyime erişebilirsiniz. YouTube destekçilerimizin reklamsız deneyiminin devreye girmesi, formu doldurduktan sonra 24-72 saat alabilmektedir.
Diğer PlatformlarBu 3 platform haricinde destek olan destekçilerimize ne yazık ki reklamsız deneyim ayrıcalığını sunamamaktayız. Destekleriniz sayesinde sistemlerimizi geliştirmeyi sürdürüyoruz ve umuyoruz bu ayrıcalıkları zamanla genişletebileceğiz.
Giriş yapmayı unutmayın!Reklamsız deneyim için, maddi desteğiniz ile ilişkilendirilmiş olan Evrim Ağacı hesabınıza üye girişi yapmanız gerekmektedir. Giriş yapmadığınız takdirde reklamları görmeye devam edeceksinizdir.
Krek kokainin rengi, kullanılan kokainin kökeni, amonyak veya kabartma tozu ile hazırlama yöntemi ve saflığı etkileyen unsurların varlığı gibi çeşitli faktörlere bağlıdır. Genellikle rengi, beyazdan sarımsı bir krem rengine ve hatta açık kahverengiye kadar değişebilir. Krek kokainin yapısı ayrıca toz kokainin katkı maddesine, kökenine ve işlenmesine ve bazı dönüştürme yöntemlerine de bağlıdır. Bazen aşırı yağlı ve ufalanan bir yapıdayken, kimi zaman sert ve neredeyse kristal bir yapıda olabilmektedir.

Laboratuvar Güvenlik Önlemleri
Laboratuvarda çalışırken güvenlik önlemlerinin alınması hayati öneme sahiptir. Konu kokain gibi solunması ile bile çok ağır etkiler bırakabilen bir uyarıcıysa konunun ciddiyeti artacaktır. Laboratuvar çalışanlarının uyması gereken güvenlik önlemleri vardır. Kokain için gerekli görülen önlem kodları aşağıda sıralanmıştır:
- P261: Tozunu/dumanını/gazını/sisini/buharını/spreyini solumaktan kaçının.
- P264: Kullandıktan sonra ellerinizi [vb.] iyice yıkayın.
- P270: Bu ürünü kullanırken yemek yemeyin, içmeyin veya sigara içmeyin.
- P271: Yalnızca açık havada veya iyi havalandırılan bir alanda kullanın.
- P272: Kirlenmiş iş kıyafetlerinin işyeri dışına çıkmasına izin verilmemelidir.
- P280: Koruyucu eldiven, koruyucu giysi, göz koruması, yüz koruması, işitme koruması vb. kullanılmalıdır.
- P301+P316: Yutulduğu taktirde derhal acil tıbbi yardım alın.
- P302+P352: Ciltle teması halinde bol su ile yıkayın.
- P304+P340, P316, P321, P330: Solunması durumunda kişiyi temiz havaya çıkarın ve nefes almasını sağlayın. Derhal acil tıbbi yardım alın.
- P333+P313: Cilt tahrişi veya kızarıklık oluşursa tıbbi tavsiye/ müdahale alın.
- P361+P364: Kirlenmiş olan giysilerinizi hemen çıkarın ve tekrar kullanmadan önce yıkayın.
- P403+P233: İyi havalandırılan bir yerde saklayın ve konteynırı sıkıca kapalı tutun.
- P405 ve P501: Kilitli depoda tutun ve içeriği/kabı atın.[21]
(+/-) Kokain Sentezi
Kokain hidroklorür, kokainin amonyak gibi bir alkali çözelti ile karıştırılması ardından eter gibi bir çözücü eklenmesiyle serbest baza dönüştürülür. Karışım iki katmana ayrılır: üst katman çözücü içinde çözülmüş kokain içerir. Çözücü daha sonra buharlaştırılabilir ve geriye nispeten saf kokain kristalleri kalır. Bunun dışında farklı kokain sentezi mekanizmaları da kullanılabilmektedir.
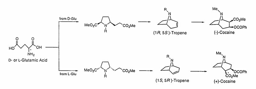
(D/L) Glutamik Asitten (+/-) Kokain Sentezi
Kokain sentezi için aşağıda gördüğünüz glutamik asit kullanılabilir.

L-Glutamik asit, D-glutamik asitin enantiyomeridir. Glutamik asit, glutamat olarak bilinir ve polar yapılı bir aminoasittir. Glutaminin anyonik bir formu olduğu söylenebilir. Proteinleri oluşturan yirmi aminoasitten biridir. Hidroksibütirat üzerinden sentezlenebilir. Glutamik asitin D enantiyomerinden doğal kokain, L enantiyomerinden doğal olmayan kokain sentezi yapılır:

İlk Kokain Sentezi Çalışması
Kokain yerli kabileler gibi unsurlar tarafından, bahsedeceğimiz sentezden önce de tüketilmişti. Bahsedeceğimiz sentez metodu 1901 yılında Richard Willsratter ve Adolf Bode'un geliştirdiği metottur.

Bu ufuk açıcı çalışmada, yazarlar sentezlerine sikloheptanondan başladılar ve 23 lineer adımda (±)-kokain sentezini tamamladılar. Anahtar adım, tropan iskeletini oluşturmak için bir intramoleküler transannüler S2NS_2N'nin izlediği bir brominasyondur.

Sikloheptanon, tropan iskeletine öncü B'yi vermek üzere indirgeyici bir şekilde amine edilen alilik bromür A'ya işlendi. Br2Br_2'ye maruz bırakıldıktan sonra anahtar molekül içi transanüler S2NS_2N elde edildi ve elde edilen tuz (C), tropinon sentezini tamamlamak için ayrıca manipüle edildi. Son olarak, bir α-karboksilasyon, çözünen metal indirgemesi, Fischer esterifikasyonu ve bir benzoilasyon sonucu (±)-kokain elde edilmiş oldu.
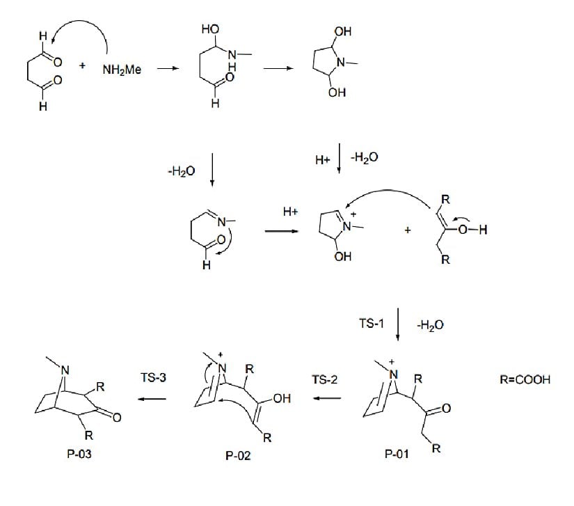
Robinson Çifte Mannich Reaksiyonu
Tropinon sentezi için kullanılabilecek metotlardan biri de Robinson'un 1917'de kullandığı Çifte Mannich reaksiyonudur.
Robinson tarafından dahiyane bir şekilde tasarlanan ve daha sonra Schopf tarafından geliştirilen "fizyolojik koşullar altında" tropan alkaloitlerinin sentezinin geniş çapta uygulanabilir olduğu kanıtlanmıştır.[22]
Bu sentezde Robinson; bir molekül süksinaldehit, metilamin ve aseton (veya dikarboksilik asit türevi) arasındaki reaksiyonu basit bir tek kap prosedüründe kullandı. Sentezde, C-C bağ oluşumu için iki ardışık Mannich reaksiyonu yer alıyordu.
Sentez, bir pirolidin türevi ve asetonun enol formu (veya dikarboksilik asit türevi) arasındaki moleküller arası bir reaksiyondur ve bunlardan ikincisi molekül içinde meydana gelir.

Robinson'un sentezi için önerilen reaksiyon mekanizması, aldol yoğunlaşmasına benzetilir:

Tropinon sentezinden sonra kokain elde etmek için yukarıda verilen ilk kokain sentezindeki işlemler uygulanabilir (Bir α-karboksilasyon, çözünen metal indirgemesi, Fischer esterifikasyonu ve bir benzoilasyon sonucu (±)-kokain elde edilmiş olur.).
Kısaca Kokain Biyosentezi
Kokainin biyosentezi organik kimyagerlerin uzun zamandır ilgisini çeken bir konudur. Sonuçta kokainin aşağıda da bahsedileceğimiz biyolojik ve psikolojik etkileri oldukça dikkat çekicidir. Ama tek sebep bu değildir. Yoğun ilginin başka bir nedeni, barındırdığı olağandışı bisiklik (iki halkalı) yapısıdır.

Kokain biyosentezini iki aşamada açıklayabiliriz. Birinci aşamada N-(4-aminobütil) guanidinden 1,4-bütandiamin (Putresin) ve neticede metil pirolinyum sentezlenir ve ikinci aşamada bunun üzerinden tropan sentezlenir. Buradan sonra da kokain elde etmek bilinen bir yöntemdir (bir α-karboksilasyon, çözünen metal indirgemesi, Fischer esterifikasyonu ve bir benzoilasyon sonucu (±)-kokain elde edilmiş olur).


Kokain Kaçakçılığı
Dünya Çapında Kokain Kaçakçılığı
Tüm zamanların en yüksek miktarı olan 1.436 tonluk küresel ele geçirme olayı, 2019’da, 2018 yılındaki miktara göre %9,6 oranında artış göstererek gerçekleşmiştir.
2019 yılında küresel boyutta yakalanmış olan kokain miktarının %83’ü, büyük miktarı Güney Amerika’da olmak üzere Kıta Amerika’sında yakalanmıştır. 2019 yılında Güney Amerika’daki kokain yakalama miktarı bir önceki yıla göre %5 artış göstererek şimdiye kadar yakalanan en yüksek miktarına ulaşmıştır. Yine, 2019 yılında, AB ülkeleri tarafından toplam 213 ton kokain yakalanmıştır. Bu miktarın büyük çoğunluğu Belçika (65 ton), Hollanda (44 ton) ve İspanya (38 ton) tarafından gerçekleştirilen operasyonlarda ele geçirilmiştir.
Geçmişten Bir Sima: Juan Pablo Escobar
1976'da Escobar, kokain piyasasına ilk adımını atmış ve Medellin Karteli isimli uluslararası yasa dışı bir suç örgütü kurmuştur. 1976 yılında Escobar ve kartel çetesinin pek çok üyesi Ekvador 'da 18 kilogram uyuşturucu madde ile yakalanmıştır. Açılan davada hakimlere rüşvet teklif etse de davadan beraat etmesi mümkün olmamıştır. Dava kaçakçılığa tanıklık eden iki memurun ölümü ile düşürülmüştür.

Escobar'ın kokain imparatorluğunun ilginç öyküsü, filmlerde (örneğin Blow) ve televizyon dizilerinde (örneğin Narcos) dramatize edildi ve Kolombiya'da kokain ticaretinden elde edilen abartılı zenginliği gözler önüne serildi. En iyi döneminde, Escobar'ın karteli, ABD'ye kaçırılan kokainin yaklaşık %80'ini sağladı (günde yaklaşık 15 ton) ve Escobar'ın kişisel geliri yılda yaklaşık 22 milyar doları aştı. Bu nedenle Escobar, "Kokain Kralı" olarak adlandırıldı ve tarihin en zengin suçlusu oldu. Sadece bu da değil: Kazancının tahmini net değeri olan yaklaşık 30 milyar dolar, onu dünyanın en zengin insanlarından biri yaptı.
Sonunda, ev hapsine mahkûm edildi; ancak kaçışının ardından, 1993'te bir çatışma sırasında öldü. Kendisinin ölümü sonrası kurduğu karteller dağıtıldı ve Escobar'ın "Kokain İmparatorluğu"ndan geriye pek bir şey kalmadı.
Türkiye'de Kokain Kaçakçılığı
2020 yılında Türkiye'de 2.573 kokain olayı gerçekleşmiş, bu olaylarda 4.446 şüpheli yakalanmasıyla birlikte, 1.961 kg kokain ele geçirilmiştir. 2020 yılında ele geçirilen kokain miktarı 2019 yılına göre %19,7 oranında artış göstermiş ve bu miktar ile 2019 yılında kırılan Cumhuriyet tarihi rekoru geçilerek 1.961 kg ile yeni bir rekora daha imza atılmıştır.
Kokainin Etkileri
Kokainin kötüye kullanımı, dünya çapında önemli bir sağlık sorunudur. Acil servise başvuran akut kokain toksisitesi olan hastalar, akut koroner sendrom, felç ve ölüm gibi patolojik sekellere yol açan taşikardi, ritim bozukluğu, hipertansiyon ve koroner vazospazm için acil tedavi gerektirebilir.[23], [24], [25]
Geçtiğimiz birkaç on yılda, uyuşturucu kaçakçılığı amacıyla kokaini vücutlarına saran çok sayıda "vücut paketleyicisi" de bu torbaların yırtılması sonucunda acil servise başvurmak zorunda kalmıştır. Birçok hastanın aynı zamanda alkol veya diğer yasa dışı maddeleri de yutmuş olması nedeniyle hasta yönetimi de zorlaşmaktadır. Kokain, vücuttaki her organı olumsuz etkileyebilirken, en ölümcül etkileri kardiyovasküler sistem üzerindedir.
Kokainin İnsan Biyolojisine Etkisi ve Bağımlılık
Kokain, beynin dopamin taşıyıcılarının olduğu her yerde dopamin birikimi üretir. Dopamine duyarlı hücreler, duygusal tepkileri kontrol eden ve onları anılarla ilişkilendiren limbik sistemde oldukça yoğunlaşmıştır.
Limbik sistemin belirli bir parçası olan nükleus akkumbens (NAc), kokainin etki ettiği en önemli bölge gibi görünmektedir. Dopamin tarafından uyarıldığında NAc'deki hücreler haz ve tatmin duyguları üretir. Bu tepkinin doğal işlevi, hayatta kalma ve üremenin temel biyolojik hedeflerini destekleyen faaliyetlere odaklanmamıza yardımcı olmaktır. Örneğin, susamış bir kişi içki içtiğinde veya biri orgazm olduğunda, dopaminerjik hücreler NAc'yi dopamin molekülleri ile doldurur. Alıcı hücrelerin tepkisi bizi iyi hissettirir, aktiviteyi tekrarlamak ve bu hazzı yeniden yaşamak ister.
Kokain, NAc'de yapay olarak dopamin birikmesine neden olarak muazzam derecede güçlü haz duyguları verir. Bir doz kokainden sonra NAc'deki reseptörlere bağlanan dopamin miktarı, doğal aktivitelerle ilişkili miktarları aşabilir ve susuzluğu giderme veya seksten daha fazla haz üretir. Bazı laboratuvar hayvanları seçim hakkı verilirse, yiyecekleri görmezden gelecek ve açlıktan ölene kadar kokain almaya devam edecektir.

(a) Kokainden sonra önemli fMRI sinyal değişiklikleri gösteren, ancak salininfüzyonlarından sonra olmayan subkortikal beyin bölgelerinin görüntüleri. Solda, kokain alan on denekten ortalama fMRI verileri için infüzyon öncesi ve sonrası zaman noktalarının dört koronal seviyesindeki Kolmogorov-Smirnov (KS) istatistiksel haritaları bulunmaktadır. Bu KS istatistiksel haritaları, karşılık gelen gri tonlamalı ortalama yapısal haritalar üzerinde sözde renkte kaplanmıştır. Pozitif sinyal değişikliği olan aktivasyonlar NAc/SCC, BF/GP ve VT'yi içerirken, negatif sinyal değişikliği olan aktivasyonlar amigdalayı içerir.
(b) Kokain ve salininfüzyonlarından sonra diğer paralimbik ve heteromodal korteks aktivasyonlarının görüntüleri. Gösterilen bölgeler arasında lateralprefrontal korteks (LPFC), anteriorsingulat, insula ve parahipokampalgirus bulunur. Görüntü ve grafik düzeni (a)'da açıklanan kuralları takip eder.
Kokain, psikoaktif ve bağımlılık yapıcı etkilerini öncelikle, haz ve motivasyonu düzenleyen birbirine bağlı bir dizi bölge olan beynin limbik sistemi üzerinde etki ederek üretir. Öncelikle kısa vadeli bir etki olan nörokimyasal dopamin birikmesi yani öforiye ve kokaini tekrar alma arzusuna yol açar.
Kokain, ödül sistemine dokunarak ve dopamin salınımını tetikleyerek çalışır. Bu kokainin sadece psikolojik olarak değil, aynı zamanda nörokimyasal olarak da aşırı derecede bağımlılık yaptığı anlamına gelir.
Kokainin etkileri dozun gücüne, kimyasalların karışımına, kişinin fizyolojisine ve kokaini aldığı andaki ruh haline bağlıdır. Kokain patlaması sadece kısa bir süre, inhalasyondan sonra yaklaşık 15-30 dakika sürer.
Özetlemek gerekirse kokain; beynin haz merkezi olan ve ödül duygularıyla ilgili ventral tegmental alan (VTA) ve nükleus akkumbensteki (NAc), hafıza merkezleri olan amigdala ve hipokampustaki, tartım seçenekleri ve kısıtlama için bir merkez olan frontal korteksteki yani beynin birçok bölgeden oluşan limbik sistemi üzerindeki etkileriyle kısa vadede öforiye, uzun vadede ise bağımlılığa neden olur.

Yukarıdaki özet şemalar, kokain infüzyonundan sonra aktif olacağı tahmin edilen beyin bölgelerinin (sarı renkle işaretli) bir şemasıdır. Başlangıç ve infüzyon sonrası karşılaştırmalarda görülen bir pontin aktivasyonunda potansiyel olarak kapsanan diğer iki beyin sapı monoaminerjik bölgesi de mavi renkle gösterilmiştir.
Kısa Vadeli Etkileri
Kokainin öforik etkilerinin süresi, uygulama yoluna bağlıdır. İlaç ne kadar hızlı emilirse sonuç o kadar yoğun olur, ancak etki süresi de o kadar kısa olur. Toz olarak burundan alınması en çok kullanılan yoldur; koklayarak burundan alınmasına "snorting", çubuk vasıtasıyla buruna çekilmesine ise "tooting" denilmektedir. Bunun yanında kokain, sigara veya enjeksiyon yoluyla da alınabilir. Burun yoluyla kokain almak nispeten yavaş bir başlangıç sağlar, ancak etkisi 15 ila 30 dakika arasında sürebilir. Buna karşılık, sigara ile alınan kokainin etkisi daha fazladır ancak sadece 5 ila 10 dakika sürebilir.
Kokainin etkileri, tek dozdan hemen sonra ortaya çıkar ve birkaç dakika ile bir saat arasında kaybolur. Küçük miktarlarda kokain genellikle kullanıcıyı öforik, enerjik, konuşkan, zihinsel olarak uyanık ve görme, ses ve dokunmaya karşı aşırı duyarlı hissettirir. Kokain ayrıca yiyecek ve uyku ihtiyacını geçici olarak azaltabilir. Bazı kullanıcılar kokainin basit fiziksel ve zihinsel görevleri daha hızlı gerçekleştirmelerine yardımcı olduğunu düşünürken diğerleri tam tersi etkiyi deneyimliyor.
Daralmış kan damarları, irileşmiş göz bebekleri, artan vücut ısısı, kalp hızı ve kan basıncı kokain kullanımının kısa vadeli fizyolojik etkileri arasındadır. Bazı kokain kullanıcıları huzursuzluk, asabiyet, kaygı, panik ve paranoya yaşadıklarını da bildirirler. Kullanıcılar ayrıca titreme, baş dönmesi ve kas seğirmeleri de yaşayabilir.
Kokain kullanımı ile ciddi tıbbi komplikasyonlar ortaya çıkabilir. En sık görülenlerden bazıları kalp ritmindeki bozukluklar ve kalp krizleri dahil olmak üzere kardiyovasküler etkiler, baş ağrıları, nöbetler, felçler ve koma dahil nörolojik etkiler ile karın ağrısı ve mide bulantısı dahil gastrointestinal komplikasyonlardır. Nadir durumlarda, kokainin ilk kullanımında veya sonrasında beklenmedik bir şekilde ani ölüm meydana gelebilir. Kokaine bağlı ölümler genellikle kalp durması veya nöbetlerin bir sonucudur.
Birçok kokain kullanıcısı alkol de kullanır ve bu kombinasyon özellikle tehlikeli olabilir. Bu iki madde, kokain ve alkolün kalp üzerindeki toksik etkilerini güçlendirebilen kokaetilen üretmek üzere reaksiyona girer. Kokain ve eroin kombinasyonu da çok tehlikelidir. Kullanıcılar bu maddeleri birleştirir çünkü kokainin uyarıcı etkileri eroinin yatıştırıcı etkileriyle dengelenir. Ancak bu, farkında olmadan yüksek dozda eroin alınmasına yol açabilir. Veya kokainin etkileri daha erken geçtiğinden kullanıcının solunumunun tehlikeli bir şekilde yavaşladığı veya muhtemelen ölümcül şekilde durduğu bir eroin doz aşımına yol açabilir.
Kokaine Bağlı Komplikasyonlar
Kokain kullanımı, herhangi bir sistemi tutabilen hem akut hem de kronik komplikasyonlara neden olabilir:
- Kardiyak: Miyokardiyaliskemi, koroner arter spazmı, akut miyokard enfarktüsü (MI), ateroskleroz, miyokardit, kardiyomiyopati, aritmi, hipertansiyon ve endokardit.
- Vasküler: Aort diseksiyonu ve yırtılması, vaskülit.
- Gastrointestinal: Mezenterikiskemi veya enfarktüs, perforasyon.
- Pulmoner: Pulmoner ödem, pulmoner enfarktüs ve hemoptizi.
- Genitoüriner ve obstetrik: Renal ve testis enfarktüsü, ablasyo plasenta, spontanabortus, prematürite ve büyüme geriliği.
- Nörolojik: Nöbetler, migren, serebral enfarktüs ve kafa içi kanama.
- Kas iskelet sistemi ve dermatolojik: Rabdomiyoliz, cilt iskemisi, yüzeysel ve derin ventrombozu ve tromboflebit.
Kokain kullanımı ile inme riski de önemli ölçüde artar. Tekrarlayan iskemik ataklar ve reperfüzyondan kaynaklanan zayıflamış damar duvarları nedeniyle sürekli kokain kullanımı ile beyin kanaması riski artar.
Sıklıkla ölümcül olan kokain doz aşımları çoğunlukla kardiyotoksisiteye bağlıdır. Miyokard enfarktüsü, kronik kokain kullanımının belgelenmiş en iyi komplikasyonudur. Bir vazokonstriktör olan kokain, kalbe giden kan akışını azaltır. Kalp damar yapısındaki alfa adrenerjik reseptörlerin uyarılması nedeniyle koroner arter çapının insanlarda %4 – 29 arasında azaldığı gösterilmiştir. Zamanla, uzun süreli vazokonstriksiyon, kan damarı duvarlarında artan kayma stresi nedeniyle endotel hasarına yol açabilir. Bu nedenle kronik kullanım, tüm kokain kullanıcılarını miyokard enfarktüslerine ve aritmilere yatkın hale getirir. Aşırı durumlarda kokaine bağlı uyarılmış deliryum ani ölüme neden olabilir.
Hamilelikte Kokain
Doğum öncesi kokain kullanımıyla tutarlı bir şekilde ilişkili bebeğe dair sonuçlar arasında doğum ağırlığının azalması, erken doğum ve fetal büyümenin azalması yer alır. Doğum öncesi kokain kullanımı ile konjenital anomaliler arasındaki ilişkiye dair veriler sınırlıdır, ancak büyük bir retrospektif çalışma, hamilelikte kokain kullanımı ile üriner sistemin konjenital anormallikleri arasında bir ilişki olduğunu belgelemiştir. Doğum öncesi kokain kullanımı ile artan perinatal serebral enfarktüs veya ani bebek ölümü sendromu insidansını ilişkilendiren kanıt bulunmamaktadır.
Kokain Kullanımı ve Bağımlılığının Psikolojik Etkileri
Kokain alındıktan kısa bir süre sonra bir neşelilik hali (öfori) oluşur. Bunu hareketlerde hızlanma, davranış kontrolünün kaybı, çevreye ilgi ve dikkatte, kendine güvende artış, çok becerikli olduğuna inanma, varsanımlar, sanrılar ve zihinsel işlevlerde açıklık takip eder. Doz arttıkça veya kişiliğin, biyolojinin ve genetiğin etkisiyle tabloya çok daha şiddetli belirtiler eklenebilir. Aşırı neşelilik hali, kontrolün yitirilmesi, paranoya buna örnek verilebilir. Ayrıca kolayca tespit edilebilecek yan etkiler şunlardır:
- Ani gelişen tuhaf davranışlar: Bir kişide aniden ve kendi mizacına uymayan bir coşku, sebepsiz bir mutluluk, paranoyakça davranışlar, gergin veya huzursuz tavırlar, kıpırdanmalar ve hareketlilik görülürse kokainden şüphelenilebilir. Kişi çok gülüyor ya da agresif davranıyor olabilir. Birtakım varsanımlardan bahsedebilir. Kokaine bağlı ataklar 20 dakika ila 2 saat arası sürebilir.
- Değişik konuşmalar: Aşırı ve hızlı konuşma ve konudan konuya atlamalar.
- Sık sık odadan girip çıkmalar: Kokain kullananlarda görülen bir davranış da kokaini sık sık kullanmaktır. Kokainin verdiği coşkuyu sürekli kılmak için gün boyu sık sık ve hiç durmaksızın kullanım olabilmektedir. O yüzden kokain kullananlarda bulundukları yerden sık sık ayrılmalar görülür. Kişi 20-30 dakikada bir banyoya gidiyor, sanki bir şeyler saklıyormuş gibi hareket ediyor, kaçamak bakışlar atıyorsa şüphelenmek gerekir.
- Riskli davranışlar: Kokain kişiye aşırı bir güçlülük ve yenilmezlik hissi yaşatır. O yüzden sık sık kavgaya karışma, aile içi şiddet ve cinayet gibi şiddet davranışları artabilir. Bu yüzden adlî olaylarda artış görülebilir. Ayrıca riskli cinsel aktivitelerde de artış olabilir. Kişide kendine zarar verme ve intihar eğilimi de artabilir.
- Ruh halinde ani iniş çıkışlar: Kokainin uyarıcı etkisinden dolayı kişinin duygu dünyasında keskin iniş çıkışlar yaşanır. Şiddetli öfke patlamaları, ani enerji yükselmeleri, dikkatte dağınıklık, dikkatin sürekli çelinmesi, bir hareketten diğerine geçiş görülebilir.
- Sosyal çekilme: Kokain kullanan kişiler sürekli kokain almak için fırsat kovaladıklarından yalnız kalmaya çalışırlar. Sosyallikleri içmek için buldukları yandaşları ile sınırlıdır. Hep aynı kişilerle bir arada olurlar. Bu tür sosyal çekilmeler anksiyete veya depresyonda da görülür, ancak kokain kullanımından şüphelendiren diğer belirtilerle birlikte çok anlamlı bir hale gelir.
- Hayattan zevk alamama: Uyuşturucu kullanımlarının ortak sonuçlarından biri hayattan zevk alamamadır. Kokain kullanan kişiler de başlangıçta zevk aldıklarını düşünürler ancak zamanla beyindeki haz merkezlerinin işleyişi kokain sebebiyle bozulur. Kişi çok yüksek doz kokainle bile zevk almaz hale gelir. O yüzden kokain kullanıcılarında zevk alamama, mutsuzluk ve depresyon çok sık görülür.
- Kişi kokain kullandıktan sonraki günde, uyuşuk veya depresif olabilir ve aşırı huysuz davranabilir.
- Yalanlar artabilir. Kişi ketum, güvenilmez ve yalancı olabilir.
- Kişi ailevî ve işle alakalı sorumluluklarını, hatta kişisel temizliğini ihmal edebilir.
Yoksunluk Durumu
Kokain etkisini çabuk gösteren ve çabuk kaybeden bir uyarıcı olduğu için yoksunluk oldukça sık rastlanılan bir durumdur. Genellikle kişide huzursuz duygudurumla birlikte yorgunluk, enerji düşüklüğü, yavaşlama, uykusuzluk ya da uykuya meyilde artış, çok canlı ve rahatsız edici rüyalar ve bazen de ajitasyon gelişir. Kokain yoksunluğu depresyon ve intihar davranışına sürükleyebilir. Yani basitçe kokain kullanımında gözlemlenen etkilerin tam tersi yoksunluk durumunda gözlemlenir. Bunun sebebi kokainin vücudun alıştığı dopamin dozunu arttırması ve doğal salgılanan dopaminin artık vücuda yetersiz gelmesidir.
Kokain Bağımlılığına Yönelik Tedavi Yöntemleri
- Genel ilaç tedavisi: Bağımlılığa bağlı depresyon, paranoya, panik, takıntı, uykusuzluk, sinirlilik gibi ruhsal durumları tedavi etmek için antidepresan, antipsikotik ve dürtü kontrolünü artırmaya yönelik ilaçlar kullanılır.
- Bağımlılık belirtilerine yönelik ilaç tedavileri (iğne): Son yıllarda kokain bağımlılığında aşerme ve yoksunluğu ortadan kaldırmak için depo iğne uygulamaları geliştirilmiştir. Aşerme ve yoksunluk bağımlılıktan kurtulamamanın en önemli sebebidir. Depo iğne tedavisinde amaç bunları azaltarak tedavide başarı şansını artırmaktır.
- TMS tedavisi: Aşerme ve yoksunlukta TMS tedavisinin hem kliniğin şiddetini azaltmada hem de tedavi direncini ortadan kaldırmada etkili olabileceği bildirilmiştir. Yüksek frekansta sol dorsolateral prefrontal bölgeye uygulanan TMS şiddetli aşermelerde etkili bulunmuştur.
- EMDR terapisi: Çocukluk travmaları başta olmak üzere ruhsal travmalar kokain bağımlılığın önemli sebepleridir. Ayrıca kokain kullanımına bağlı yoksunluklar, aşermeler ve zehirlenmeler de travma etkisi yapar ve bağımlılığın şiddetini artırır. EMDR terapisi ile hem bağımlılığa sebep olan hem de bağımlılığın sebep olduğu travmaların çalışılması tedavi başarısını artırmaktadır. EMDR terapisi özellikle aşerme ve yoksunluğa karşı duyarsızlaştırma etkisiyle arındırma sürecinin çok daha rahat atlatılmasında yüksek etkinliğe sahiptir.
Tedavi Gören Hastaların Psikolojisi
Hastaların tedaviden önce yaşama isteklerini kaybettikleri gözlemlenmiştir. Tedaviden sonra daha az dopaminle yetinebilmeleri sonucu tekrar hayattan keyif almaya başlamışlardır ve kokain için bağımlılığın tekrar etme sayısı diğer uyuşturuculara göre daha düşük olduğu gözlemlenmiştir.
Kokain Bağımlılığının Sosyolojik Etkisi
Madde bağımlılığı ülkemizde ve tüm dünyada, üzerinde durulması gereken sosyolojik bir problemdir. Ülkemizde de son yıllarda genç nüfus artışına paralel biçimde madde bağımlıları ve kullanıcılarının sayısı artmaktadır. Uyuşturucu bağımlılığının sebepleri arasında yalnız kullanılan maddenin yarattığı sarhoşluk ve bağımlılık hissinin değil ayrıca sosyal sebeplerin de etkili olduğu düşünülmektedir. Bu bağlamda madde bağımlılığı ve kullanımına etki eden sosyal faktörleri; sosyoekonomik düzey, uyuşturucuya ulaşma, akran ve arkadaşlık ilişkileri, okul, dini inanış, aile yapısı, yaş, göç, kentsel ya da mekânsal problemler şeklinde sıralamak mümkün. Madde kullanımının pek çok olumsuz bireysel ve sosyolojik etkisi var. Bu etkileri kokain üzerinden inceleyecek olursak şu gibi sonuçlar çıkarabiliriz:
- Kokain kullanıcılarının katıldığı 228 kişilik bir anketin sonuçlarına göre kullananlar ve bırakanların en sık karşılaştığı problem %88,2 ile gerginlik ve sinirlilik hali olurken bunu %86,0 ile burun akıntısı takip etmektedir. Aynı anketin bir başka sonucu %53,1 oranında kullanıcının kokain kullandığı dönemde kokain kullanımına bağlı maddi sıkıntılar yaşadığını belirtmektedir.
- Annelerde kokain kullanımı yaygın olarak depresyon ve anksiyete gibi psikolojik bozukluklarla ilişkilidir. Başlangıçta annelerin kokain kullanımının yavruları üzerindeki gelişimsel etkisinin abartıldığı düşünülse de tipik anne davranışlarındaki bozulmanın, yavrularının fiziksel ve duygusal sağlığına da zarar verdiği ortaya çıkmıştır. Yavrular üzerindeki olumsuz etkinin çoğunun annenin davranışlarındaki değişikliklerin sebep ve aracı olduğu düşünülmektedir.
- Kokain, hastane acil servislerinde ve uyuşturucu tedavi merkezlerinde tedavi arayanlar arasında en sık kullanılan uyuşturucudur. Ayrıca, tıbbi çalışanlar tarafından bildirilen uyuşturucuya bağlı ölümlerin en sık karşılaşılan nedenidir.
- 1986 yılında yayınlanan bir makaleye göre ise kokainle ilgili efsaneler; kokainin iyi huylu, bağımlılık yapmayan bir afrodizyak olduğunu söyler ve kullanımı genellikle seçkinler, zenginler ve ünlüler ile ilişkilendirilir.
- Tedaviye giren kokain kullanıcılarının %15’ini kadınlar ve %85’ini erkekler oluşturmaktadır. İlk tedaviye girişteki ortalama yaş 35 iken ilk kokain kullanımındaki ortalama yaş 23’tür.
- Adıyaman’da lise öğrencileri arasında yapılan bir araştırmaya göre madde bağımlılığıyla; yaş, sınıf düzeyi, aile yapısı, ailedeki kişi sayısı, aile geliri, anne-baba eğitim düzeyi, anne-babanın çocuğa karşı gösterdiği ilgi ve tutum, aile içi empati, akademik başarı ve okul hayatından memnuniyet gibi pek çok faktör arasında anlamlı ilişki tespit edilmiştir.
- Uzun süreli günlük kullanım veya düzenli ağır kokain kullanımının genellikle sağlık (fiziksel ve ruhsal problemler), ilişkiler, finans, iş veya cinsel ilişki ile ilgili problemlere yol açtığı görülmektedir.
- Amerika Birleşik Devletleri dünyanın en çok kokain tüketen ülkesidir. Dünya genelinde kokain ticaretinin pek çok aktarma noktası vardır ve Arjantin, Belçika, Almanya, Fransa, Bolivya, Yunanistan ve İrlanda bunlardan yalnızca birkaçıdır.
Evrim Ağacı'nda tek bir hedefimiz var: Bilimsel gerçekleri en doğru, tarafsız ve kolay anlaşılır şekilde Türkiye'ye ulaştırmak. Ancak tahmin edebileceğiniz gibi Türkiye'de bilim anlatmak hiç kolay bir iş değil; hele ki bir yandan ekonomik bir hayatta kalma mücadelesi verirken...
O nedenle sizin desteklerinize ihtiyacımız var. Eğer yazılarımızı okuyanların %1'i bize bütçesinin elverdiği kadar destek olmayı seçseydi, bir daha tek bir reklam göstermeden Evrim Ağacı'nın bütün bilim iletişimi faaliyetlerini sürdürebilirdik. Bir düşünün: sadece %1'i...
O %1'i inşa etmemize yardım eder misiniz? Evrim Ağacı Premium üyesi olarak, ekibimizin size ve Türkiye'ye bilimi daha etkili ve profesyonel bir şekilde ulaştırmamızı mümkün kılmış olacaksınız. Ayrıca size olan minnetimizin bir ifadesi olarak, çok sayıda ayrıcalığa erişim sağlayacaksınız.
Makalelerimizin bilimsel gerçekleri doğru bir şekilde yansıtması için en üst düzey çabayı gösteriyoruz. Gözünüze doğru gelmeyen bir şey varsa, mümkünse güvenilir kaynaklarınızla birlikte bize ulaşın!
Bu makalemizle ilgili merak ettiğin bir şey mi var? Buraya tıklayarak sorabilirsin.
İlgili Sorular
Soru & Cevap Platformuna Git- 30
- 24
- 20
- 18
- 16
- 16
- 16
- 16
- 12
- 9
- 8
- 0
- ^ T. Plowman. (1982). The Identification Of Coca (Erythroxylum Species): 1860–1910. Botanical Journal of the Linnean Society, sf: 329-353. doi: 10.1111/j.1095-8339.1982.tb00368.x. | Arşiv Bağlantısı
- ^ a b c d C. Pomara, et al. (2012). Data Available On The Extent Of Cocaine Use And Dependence: Biochemistry, Pharmacologic Effects And Global Burden Of Disease Of Cocaine Abusers. Current Medicinal Chemistry, sf: 5647-5657. doi: 10.2174/092986712803988811. | Arşiv Bağlantısı
- ^ J. J. Ambre, et al. (2010). Acute Tolerance To Cocaine In Humans. Springer Science and Business Media LLC, sf: 1-8. doi: 10.1038/clpt.1988.104. | Arşiv Bağlantısı
- ^ a b L. Sordo, et al. (2014). Cocaine Use And Risk Of Stroke: A Systematic Review. Drug and Alcohol Dependence, sf: 1-13. doi: 10.1016/j.drugalcdep.2014.06.041. | Arşiv Bağlantısı
- ^ R. A. Goldstein, et al. (2009). Cocaine: History, Social Implications, And Toxicity—A Review. Disease-a-Month, sf: 6-38. doi: 10.1016/j.disamonth.2008.10.002. | Arşiv Bağlantısı
- ^ G. A. Roth, et al. (2018). Global, Regional, And National Age-Sex-Specific Mortality For 282 Causes Of Death In 195 Countries And Territories, 1980–2017: A Systematic Analysis For The Global Burden Of Disease Study 2017. The Lancet, sf: 1736-1788. doi: 10.1016/S0140-6736(18)32203-7. | Arşiv Bağlantısı
- ^ a b J. L. Zimmerman. (2012). Cocaine Intoxication. Critical Care Clinics, sf: 517-526. doi: 10.1016/j.ccc.2012.07.003. | Arşiv Bağlantısı
- ^ A. Sachkova, et al. (2021). How Do Psychostimulants Enter The Human Brain? Analysis Of The Role Of The Proton-Organic Cation Antiporter. Biochemical Pharmacology, sf: 114751. doi: 10.1016/j.bcp.2021.114751. | Arşiv Bağlantısı
- ^ Y. Tega, et al. (2021). Structural Requirements For Uptake Of Diphenhydramine Analogs Into Hcmec/D3 Cells Via The Proton-Coupled Organic Cation Antiporter. Journal of Pharmaceutical Sciences, sf: 397-403. doi: 10.1016/j.xphs.2020.09.001. | Arşiv Bağlantısı
- ^ H. Chapy, et al. (2015). Carrier-Mediated Cocaine Transport At The Blood-Brain Barrier As A Putative Mechanism In Addiction Liability. International Journal of Neuropsychopharmacology, sf: pyu001-pyu001. doi: 10.1093/ijnp/pyu001. | Arşiv Bağlantısı
- ^ M. H. Cheng, et al. (2015). Insights Into The Modulation Of Dopamine Transporter Function By Amphetamine, Orphenadrine, And Cocaine Binding. Frontiers in Neurology. doi: 10.3389/fneur.2015.00134. | Arşiv Bağlantısı
- ^ L. Proebstl, et al. (2019). Effects Of Stimulant Drug Use On The Dopaminergic System: A Systematic Review And Meta-Analysis Of In Vivo Neuroimaging Studies. European Psychiatry, sf: 15-24. doi: 10.1016/j.eurpsy.2019.03.003. | Arşiv Bağlantısı
- ^ National Institute on Drug Abuse. How Does Cocaine Produce Its Effects?. (30 Aralık 1969). Alındığı Tarih: 17 Ağustos 2022. Alındığı Yer: National Institute on Drug Abuse | Arşiv Bağlantısı
- ^ R. A. Wise, et al. (2020). Dopamine And Addiction. Annual Reviews, sf: 79-106. doi: 10.1146/annurev-psych-010418-103337. | Arşiv Bağlantısı
- ^ S. A. Azizi. (2020). Monoamines: Dopamine, Norepinephrine, And Serotonin, Beyond Modulation, “Switches” That Alter The State Of Target Networks. SAGE Publications, sf: 121-143. doi: 10.1177/1073858420974336. | Arşiv Bağlantısı
- ^ N. J. Connors, et al. (2013). Experimental Treatments For Cocaine Toxicity: A Difficult Transition To The Bedside. Journal of Pharmacology and Experimental Therapeutics, sf: 251-257. doi: 10.1124/jpet.113.206383. | Arşiv Bağlantısı
- ^ A. Hamdan, et al. (2022). Topical Anesthesia In Office-Based Laryngeal Surgery. Springer, Cham, sf: 123-137. doi: 10.1007/978-3-030-91936-8_6. | Arşiv Bağlantısı
- ^ M. R. Liebowitz. (1984). The Chemistry Of Love. ISBN: 9780425069899. Yayınevi: Berkley.
- ^ Pillay. (2012). Modern Medical Toxicology. ISBN: 9789350259658. Yayınevi: Jaypee Brothers Publishers.
- ^ J. V. Lamar. Crack - A Cheap And Deadly Cocaine Is A Spreading Menace. (2 Haziran 1986). Alındığı Tarih: 18 Ağustos 2022. Alındığı Yer: Office of Justice Programs | Arşiv Bağlantısı
- ^ PubChem. Ghs Classification. Alındığı Tarih: 13 Ağustos 2022. Alındığı Yer: PubChem | Arşiv Bağlantısı
- ^ L. A. Paquette, et al. (2005). The Stereochemical Course Of A Robinson-Schöpf Biogenetic-Type Reaction. The Conformation Of Certain Tricyclic Tropane Congeners1. American Chemical Society (ACS), sf: 763-768. doi: 10.1021/ja00956a029. | Arşiv Bağlantısı
- ^ P. Hantson. (2018). Mechanisms Of Toxic Cardiomyopathy. Clinical Toxicology, sf: 1-9. doi: 10.1080/15563650.2018.1497172. | Arşiv Bağlantısı
- ^ A. . Mikhail, et al. (2018). Over-The-Counter Drugs And Other Substances Used In Attempted Suicide Presented To Emergency Departments In Montreal, Canada. Crisis, sf: 166-175. doi: 10.1027/0227-5910/a000545. | Arşiv Bağlantısı
- ^ N. Narula, et al. (2017). Cracking The Crack Dance: A Case Report On Cocaine-Induced Choreoathetosis. Cureus. doi: 10.7759/cureus.1981. | Arşiv Bağlantısı
- R. Willstätter, et al. (2007). Ueberführung Von Tropinon In R ‐Cocaïn. Wiley, sf: 1457-1461. doi: 10.1002/cber.19010340220. | Arşiv Bağlantısı
- X. Shang, et al. (2017). Biologically Active Quinoline And Quinazoline Alkaloids Part I. Wiley, sf: 775-828. doi: 10.1002/med.21466. | Arşiv Bağlantısı
- chemistry.mdma.ch. An Improved Synthesis Of (+)-2-Tropinone. Alındığı Tarih: 7 Ağustos 2022. Alındığı Yer: chemistry.mdma.ch | Arşiv Bağlantısı
- G. Cheng, et al. (2011). Total Synthesis Of (−)-Cocaine And (−)-Ferruginine. American Chemical Society (ACS), sf: 2694-2700. doi: 10.1021/jo200069m. | Arşiv Bağlantısı
- E. Leete, et al. (2005). Late Intermediates In The Biosynthesis Of Cocaine: 4-(1-Methyl-2-Pyrrolidinyl)-3-Oxobutanoate And Methyl Ecgonine. American Chemical Society (ACS), sf: 9286-9292. doi: 10.1021/ja00024a039. | Arşiv Bağlantısı
- T. R. Hoye, et al. (2002). N-Methylputrescine Oxidation During Cocaine Biosynthesis: Study Of Prochiral Methylene Hydrogen Discrimination Using The Remote Isotope Method. American Chemical Society (ACS), sf: 3-5. doi: 10.1021/ol990940s. | Arşiv Bağlantısı
- A. J. Humphrey, et al. (2001). Tropane Alkaloid Biosynthesis. A Century Old Problem Unresolved. Natural Product Reports, sf: 494-502. doi: 10.1039/B001713M. | Arşiv Bağlantısı
- Notes and Records of the Royal Society of London. (1993). Investigating A Scientific Legend: The Tropinone Synthesis Of Sir Robert Robinson, F. R. S. Notes and Records of the Royal Society of London, sf: 277-296. doi: 10.1098/rsnr.1993.0034. | Arşiv Bağlantısı
- E. Leete, et al. (1988). The Biosynthesis Of The Benzoyl Moiety Of Cocaine. Phytochemistry, sf: 2553-2556. doi: 10.1016/0031-9422(88)87026-2. | Arşiv Bağlantısı
- R. J. Robins, et al. (1991). Strategies For The Genetic Manipulation Of Alkaloid-Producing Pathways In Plants. Planta Medica, sf: S27-S35. doi: 10.1055/s-2006-960226. | Arşiv Bağlantısı
- R. Lin, et al. (2002). Enantiospecific Synthesis Of Natural (−)-Cocaine And Unnatural (+)-Cocaine From D- And L-Glutamic Acid. American Chemical Society (ACS), sf: 4069-4078. doi: 10.1021/jo980153t. | Arşiv Bağlantısı
- D. M. Mans, et al. (2004). Total Synthesis Of (+)-Cocaine Via Desymmetrization Of A Meso-Dialdehyde. American Chemical Society (ACS), sf: 3305-3308. doi: 10.1021/ol048777a. | Arşiv Bağlantısı
- M. A. Bedewitz, et al. (2018). Tropinone Synthesis Via An Atypical Polyketide Synthase And P450-Mediated Cyclization. Nature Communications, sf: 1-13. doi: 10.1038/s41467-018-07671-3. | Arşiv Bağlantısı
- chemistry.mdma.ch. Synthesis Of Tropinone & 2-Cmt , Hive Methods Discourse. Alındığı Tarih: 7 Ağustos 2022. Alındığı Yer: chemistry.mdma.ch | Arşiv Bağlantısı
- L. R. Drake, et al. (2018). Dark Classics In Chemical Neuroscience: Cocaine. American Chemical Society (ACS), sf: 2358-2372. doi: 10.1021/acschemneuro.8b00117. | Arşiv Bağlantısı
- B. Dewprashad. The Chemistry Of Cocaine. Alındığı Tarih: 7 Ağustos 2022. Alındığı Yer: Brain Reach | Arşiv Bağlantısı
- Dirk Trauner. (). Richard WillstTter And The 1915 Nobel Prize In Chemistry.
- PubChem. 1-Methylpyrrolinium. Alındığı Tarih: 7 Ağustos 2022. Alındığı Yer: PubChem | Arşiv Bağlantısı
- M. Egred, et al. (2005). Cocaine And The Heart. Postgraduate Medical Journal, sf: 568-571. doi: 10.1136/pgmj.2004.028571. | Arşiv Bağlantısı
- National Institute on Drug Abuse. What Are The Short-Term Effects Of Cocaine Use? | National Institute On Drug Abuse. (30 Aralık 1969). Alındığı Tarih: 7 Ağustos 2022. Alındığı Yer: National Institute on Drug Abuse | Arşiv Bağlantısı
- L. R. Drake, et al. (2018). Dark Classics In Chemical Neuroscience: Cocaine. American Chemical Society (ACS), sf: 2358-2372. doi: 10.1021/acschemneuro.8b00117. | Arşiv Bağlantısı
- Better Health. Cocaine - Better Health Channel. Alındığı Tarih: 7 Ağustos 2022. Alındığı Yer: Better Health | Arşiv Bağlantısı
- E. J. Nestler. (2005). The Neurobiology Of Cocaine Addiction. Science & Practice Perspectives, sf: 4. doi: 10.1151/spp05314. | Arşiv Bağlantısı
- Europe PMC. Europe Pmc. Alındığı Tarih: 7 Ağustos 2022. Alındığı Yer: Europe PMC | Arşiv Bağlantısı
- Moodist Hastanesi. Kokain Bağımlılığı. (21 Ocak 2022). Alındığı Tarih: 7 Ağustos 2022. Alındığı Yer: Moodist Hastanesi | Arşiv Bağlantısı
- H. C. Breiter, et al. (1997). Acute Effects Of Cocaine On Human Brain Activity And Emotion. Neuron, sf: 591-611. doi: 10.1016/S0896-6273(00)80374-8. | Arşiv Bağlantısı
- Adnan Çoban Klinik. (). Kokain Bağımlılığı.
- Emniyet Genel Müdürlüğü Narkotik Suçlarla Mücadele Dairie Başkanlığı. (). 2021 Türkiye Uyuşturucu Raporu.
- L. L. Cregler, et al. (2009). Medical Complications Of Cocaine Abuse. Massachusetts Medical Society, sf: 1495-1500. doi: 10.1056/NEJM198612043152327. | Arşiv Bağlantısı
Evrim Ağacı'na her ay sadece 1 kahve ısmarlayarak destek olmak ister misiniz?
Şu iki siteden birini kullanarak şimdi destek olabilirsiniz:
kreosus.com/evrimagaci | patreon.com/evrimagaci
Çıktı Bilgisi: Bu sayfa, Evrim Ağacı yazdırma aracı kullanılarak 22/10/2025 08:14:12 tarihinde oluşturulmuştur. Evrim Ağacı'ndaki içeriklerin tamamı, birden fazla editör tarafından, durmaksızın elden geçirilmekte, güncellenmekte ve geliştirilmektedir. Dolayısıyla bu çıktının alındığı tarihten sonra yapılan güncellemeleri görmek ve bu içeriğin en güncel halini okumak için lütfen şu adrese gidiniz: https://evrimagaci.org/s/12213
İçerik Kullanım İzinleri: Evrim Ağacı'ndaki yazılı içerikler orijinallerine hiçbir şekilde dokunulmadığı müddetçe izin alınmaksızın paylaşılabilir, kopyalanabilir, yapıştırılabilir, çoğaltılabilir, basılabilir, dağıtılabilir, yayılabilir, alıntılanabilir. Ancak bu içeriklerin hiçbiri izin alınmaksızın değiştirilemez ve değiştirilmiş halleri Evrim Ağacı'na aitmiş gibi sunulamaz. Benzer şekilde, içeriklerin hiçbiri, söz konusu içeriğin açıkça belirtilmiş yazarlarından ve Evrim Ağacı'ndan başkasına aitmiş gibi sunulamaz. Bu sayfa izin alınmaksızın düzenlenemez, Evrim Ağacı logosu, yazar/editör bilgileri ve içeriğin diğer kısımları izin alınmaksızın değiştirilemez veya kaldırılamaz.