Eroin Nedir? Eroin Bağımlılığından Kurtulmak Neden Bu Kadar Zor?

- Özgün
- Biyokimya
- Psikoaktif İlaçlar







Bu Makalede Neler Öğreneceksiniz?
- Describe heroin as a highly addictive opioid drug derived from opium, with effects starting quickly and lasting for hours, commonly injected or inhaled.
- Explain heroin's origin from Papaver somniferum and its historical cultivation since 3400 BCE, spreading from Mesopotamians to Egyptians.
- Outline heroin's synthesis history, medical use attempts, and subsequent legal restrictions starting with the 1914 Harrison Narcotics Act and international bans.
Eroin (veya "diasetilmorfin" veya "diamorfin"), öforik etkilerinden ötürü uyuşturucu olarak kullanılan kimyasallardan biridir. Eroinin etkileri çok hızlı bir şekilde başlar ve saatlerce sürebilir.[1] Tipik olarak damara enjekte edilen ama solunarak, burna çekerek veya sigara gibi içerek de vücuda alınabilen eroin, bağımlılığından kurtulması en zor uyuşturuculardandır. Ne yazık ki eroin bağımlılığı, özellikle 21. yüzyılda dikkate değer bir şekilde artışa geçmiştir.[2]
Eroinin özü, "haşhaş" veya "afyon çiçeği" olarak da bilinen Papaver somniferum türü bitkiden elde edilen "opium" maddesidir.[3] Bu sebeple bu tür kimyasallara "opioid maddeler" denir. Bazı opioidler, yasal reçete ile, tedavi amaçlı kullanılır. OxyContin, Vicodin, Percocet bunlara örnektir. Bazı ülkelerde reçeteli opioidler kronik ağrı, kas ağrısı ve ameliyattan kaynaklanan ağrı ve acı hislerini dindirmek için kullanılır. Ayrıca çocuk doğumunda, kalp krizi sırasında veya opioid takviye terapisinde de eroinden faydalanılabilir.[4], [5] Bu tür tıbbi kullanımlarda genellikle intravenöz olarka verilir; fakat intramasküler veya subkütanöz enjeksiyon yoluyla ve hatta tablet olarak ağız yoluyla vermek de mümkündür.
Eroinin hammaddesi olan haşhaş, ilk olarak Mezopotamyalılar tarafından MÖ 3400 yılı civarında yetiştirilmeye başlanmıştır. Hatta Sümerler, bu bitkiye yarattığı öforik etkilerden ötürü "neşe bitkisi" anlamına gelen "Hul Gil" adını vermişlerdir. Sümerler bu bitki hakkındaki bilgilerini Asurlulara, Asurlular Babillilere, Babilliler ise Mısırlılara aktarmıştır. Böylece Mısırlılar da başkentleri olan Teb'de afyon yetiştirmeye başlamışlardır. Sonrasında bu alanda o kadar ün kazanmışlardır ki Mısır’da yetiştirilen afyona "Teb Afyonu" adı verilmiş, "Tebain" adlı alkaloid de adını buradan almıştır.
Eroinin ilk sentezi 1874 yılında İngiliz Kimyager C. R. Alder Wright tarafından yapılmıştır. Ancak eroinin ünü bu buluştan tam 23 yıl sonra, The Bayer Company için çalışan Felix Hoffmann tarafından tekrar sentezlenmesiyle başlamıştır. Bayer firması, bu maddeyi verdiği "kahramanlık" ("heroism") hissinden yola çıkarak "heroin" olarak isimlendirmiştir ve "eroin" sözcüğü de buradan dilimize girmiştir.

Hoffmann, projeyi devralmasından sonra, eroini çocuklar için ağrı kesici ve öksürük ilacı olarak tasarlamıştı. Eroinin başarılı bir ilaç olmasının asıl nedeni ise morfine alternatif olarak geliştirilmiş olmasıydı. Morfin bağımlılık yapıyordu bundan dolayı da eroin, diğer adıyla "Heroin", bir anda popüler oldu. Ancak sonraki yıllarda Bayer Firması tarafından eroinin karaciğer tarafından parçalanıp morfine dönüştürüldüğü keşfedildi. 1902 yılında Amerika ve Fransa'da eroine ilişkin bağımlılıklar rapor ediliyordu. 1913'te Bayer, eroin üretmeyi bıraktı.
Amerika Birleşik Devletleri'nde 1914 yılına Harrison Narkotik Kontrol Yasası'nın çıkarılmasıyla eroinin dağıtımı ve tüketimi kontrol altına alınmaya çalışılmış, 1924 yılında da eroinin satışı, ithalatı ve üretimi yasaklanmıştır. 1925 yılında eroinin satışı uluslararası ölçekte yasaklanmıştır. Türkiye'ye bu yasak 1932 yılına kadar gelmemiştir, dolayısıyla özellikle de İstanbul başta olmak üzere ülkenin çeşitli bölgelerinde eroin üretimi bu yıla kadar devam etmiştir.
Eroinin Etki Mekanizması
Eroin, afyondaki morfin alkaloidinden sentetik olarak elde edilir ve morfinden yaklaşık iki kat daha güçlüdür. Eroin, merkezi sinir sistemi (CNS) mu, kappa ve delta gibi opioid reseptörleri üzerinde agonistik olarak etki eder.[3] Mu reseptörü üzerindeki etkileri hem analjezik etkilere (Mu1) hem de solunum depresyonu ve öforiye (Mu2) sebep olur.[6] Mu2 reseptörlerinin aktivasyonu ayrıca miyozise, gastrointestinal (GI) motilitede azalmaya ve fizyolojik bağımlılığa neden olur. Kappa reseptör aktivasyonu da bir dereceye kadar analjeziye neden olur. Delta reseptörleri, spinal analjezi fenomeninde daha fazla yer alır.
Eroin, merkezi sinir sisteminde morfinden daha güçlü bir mu-reseptör agonisti olan monoasetilmorfine metabolize olur. Periferik dokular, eroini önce 6-monoasetilmorfine ve ardından da morfine metabolize eder. Bu nedenle toksikoloji laboratuvarları, aşırı doz ölümlerinin hangilerinin eroinden kaynaklandığını belirlemek için 6-monoasetilmorfini kullanır.
Ağızdan alındığında, eroin deasetilasyon yoluyla ilk geçiş metabolizmasından morfine geçer. Bu nedenle, intravenöz uygulamanın aksine, oral yoldan alım, hızlı bir etki başlangıcına neden olmaz. Bu sebeple de bu yöntem, eroin kullanıcıları tarafından pek tercih edilmez. 6-monoasetilmorfin ve morfin, opioid reseptörlerini aktive eder.[7]
Toksisite ve Epidemiyolojik Veriler
Eroin toksisitesi, akademik literatürde ve popüler medyada ayrıntılı olarak tanımlanmıştır. ABD gibi ülkelerde reçeteli opioid bağımlılığının yüksek olması ("opioid kullanım bozukluğu") ve eroinin daha düşük maliyeti nedeniyle günümüzde birçok kişi eroin bağımlılığı geliştirmiştir.[8] İlerleyen kısımlarda daha detaylı ele alacağımız üzere, eroin (özellikle de intravenöz olarak uygulanırsa), solunum depresyonu nedeniyle doz aşımına ve ölüme neden olabilir.
2002'den 2013'e kadar eroin doz aşımları sebepli ölümler 100.000'de 0,7'den 2,7'ye çıkmıştır.[9] 2013'te ABD'de yaklaşık 517.000 kişi, geride bırakılan yıl içinde eroin kullandığını bildirmiştir; bu sayı, 2007'deki miktarın 1.5 katıdır.[10] Doğruluk Payı'nın bildirdiğine göre, Türkiye'de:[11]
Evrim Ağacı'nın çalışmalarına Kreosus, Patreon veya YouTube üzerinden maddi destekte bulunarak hem Türkiye'de bilim anlatıcılığının gelişmesine katkı sağlayabilirsiniz, hem de site ve uygulamamızı reklamsız olarak deneyimleyebilirsiniz. Reklamsız deneyim, sitemizin/uygulamamızın çeşitli kısımlarda gösterilen Google reklamlarını ve destek çağrılarını görmediğiniz, %100 reklamsız ve çok daha temiz bir site deneyimi sunmaktadır.
KreosusKreosus'ta her 50₺'lik destek, 1 aylık reklamsız deneyime karşılık geliyor. Bu sayede, tek seferlik destekçilerimiz de, aylık destekçilerimiz de toplam destekleriyle doğru orantılı bir süre boyunca reklamsız deneyim elde edebiliyorlar.
Kreosus destekçilerimizin reklamsız deneyimi, destek olmaya başladıkları anda devreye girmektedir ve ek bir işleme gerek yoktur.
PatreonPatreon destekçilerimiz, destek miktarından bağımsız olarak, Evrim Ağacı'na destek oldukları süre boyunca reklamsız deneyime erişmeyi sürdürebiliyorlar.
Patreon destekçilerimizin Patreon ile ilişkili e-posta hesapları, Evrim Ağacı'ndaki üyelik e-postaları ile birebir aynı olmalıdır. Patreon destekçilerimizin reklamsız deneyiminin devreye girmesi 24 saat alabilmektedir.
YouTubeYouTube destekçilerimizin hepsi otomatik olarak reklamsız deneyime şimdilik erişemiyorlar ve şu anda, YouTube üzerinden her destek seviyesine reklamsız deneyim ayrıcalığını sunamamaktayız. YouTube Destek Sistemi üzerinde sunulan farklı seviyelerin açıklamalarını okuyarak, hangi ayrıcalıklara erişebileceğinizi öğrenebilirsiniz.
Eğer seçtiğiniz seviye reklamsız deneyim ayrıcalığı sunuyorsa, destek olduktan sonra YouTube tarafından gösterilecek olan bağlantıdaki formu doldurarak reklamsız deneyime erişebilirsiniz. YouTube destekçilerimizin reklamsız deneyiminin devreye girmesi, formu doldurduktan sonra 24-72 saat alabilmektedir.
Diğer PlatformlarBu 3 platform haricinde destek olan destekçilerimize ne yazık ki reklamsız deneyim ayrıcalığını sunamamaktayız. Destekleriniz sayesinde sistemlerimizi geliştirmeyi sürdürüyoruz ve umuyoruz bu ayrıcalıkları zamanla genişletebileceğiz.
Giriş yapmayı unutmayın!Reklamsız deneyim için, maddi desteğiniz ile ilişkilendirilmiş olan Evrim Ağacı hesabınıza üye girişi yapmanız gerekmektedir. Giriş yapmadığınız takdirde reklamları görmeye devam edeceksinizdir.
- 1990 yılında yaklaşık 381.200 kişi madde kullanım bozukluğuna sahipken, 2016 yılında bu sayı 664.906 kişiye yükselmiştir; nüfusa oranladığımız zamansa 1990 yılında 0,0070 olan oran, 2016 yılında 0,0082’ye kadar yükselmiştir.
- En fazla madde kullanım bozukluğuna 25-29 yaş arasındaki kişiler sahiptir. Bunu 30-34 yaş arasındaki kişiler takip ederken, en az 5-14 yaş arasındaki çocuklarda görülmektedir ancak yıllar içerisinde az da olsa çocuklarda kullanım oranı artmaktadır.
Aşırı dozda eroin veya zehirlenmenin panzehiri naloksondur. Nalokson, merkezi sinir sistemindeki mu reseptörlerine yüksek afinite ile bağlanır.[12] Nalokson uygulaması ters bir agonisttir ve yeterince yüksek dozda verilirse opioid bağımlı bir hastada yoksunluğu indükleyecektir. Naloksonun ayrıca endojen opioidlerin bağlanmasını bloke ettiği de düşünülmektedir. Nalokson da intravenöz, intramüsküler ve giderek popülerleşen şekilde intranazal olarak bile uygulayabilirler. İlk yardım ekiplerinin çoğu, eroin veya opioid doz aşımını sahada direkt olarak tersine çevirmek amacıyla burun içi nalokson kitleri taşımaktadır.
Uzun etkili bir opioid antagonisti olan Naltrekson, hem ağızdan hem de uzun etkili kas içi enjeksiyon olarak mevcuttur. Bununla birlikte, yoksunluk sendromuna sebep olma riski nedeniyle Naltrekson, ilk müdahale için etkili bir panzehir olmasını engellemektedir.[13] Klinisyenler bu uzun etkili opioid antagonistlerini, opioid kullanım bozukluğu olan hastalarda ilaç destekli tedavide kullanmaktadırlar.
Eroinin Kimyasal Özellikleri ve Sentezi
Eroin opium (afyon) alkolidinin yarı sentetik bir türevidir. Sistematik adı "4,5-epoksi-17-metilmorfinan-7-en-3,6-diildiasetat"tır. Formülü C21H23NO5'tir. 2 ila 3 dakika arası yarılanma ömrüne sahiptir.

Eroin; mutluluk hormonu olarak da anılan heyecan, ağrı, egzersiz, baharatlı yiyecek tüketimi, seks, orgazm gibi durumlarda ve duş gibi suyla olan temaslarda normalden daha fazla salınan endorfin hormonunu taklit eder.



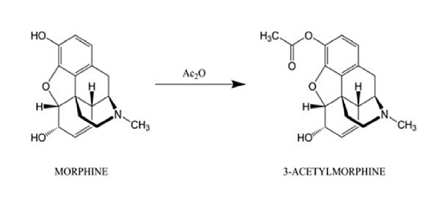
Eroinin yaygın kullanılan diğer isimleri diasetilomorfin (beyaz bir kristal formunda diasetilomorfin hidroklorür) ve diamorfindir. Bu isimler tabii ki öylesine verilmemiştir. Diasetilomorfin ismi üzerinden gidelim. Eroin üretiminde morfin kullanılır ve morfinin iki kez asitlenmesi gerekir. Böylece "di" ve "asetil" eklemeleri anlam kazanacaktır - ki diamorfin ismi de bu ismin bir kısaltması olarak görülebilir.
Eroin Nasıl Üretilir?
Peki morfinin asitlenmesi tam olarak nasıl olursa eroin ortaya çıkar? Asitleme, iki adımda gerçekleşmelidir. İki adımda da asitlemede kullanılan bileşik asetik anhidrittir. Asetik anhidrit sadece eroin değil, amfetamin ve metamfetamin sentezinde de kullanılan bir bileşiktir.


Ama biz, bu yazıda, işlemi biraz daha geriye alıp morfin sentezinden başlayarak eroine kadar ulaşmak istiyoruz. Morfin sentezlemenin birçok farklı yolu vardır. Biz Fukuyama'nın 2006 yılındaki çalışmasındaki, Iorga ve Guillou'nun 2008 yılındaki çalışmasındaki, Stork'un 2009 yılındaki çalışmasındaki ve Tebain'den Morfin elde edilmesindeki süreçleri sunacağız.
Morfin Sentezi (Fukuyama, 2006)
Bu çalışmada morfin, bildiğimiz vanilyaya kokusunu veren aldehit olan vanilinin izomeri ile sentezlenmeye başlıyor.[14]



Kodeinden nasıl morfin elde edildiğini unutmayın. Bu yöntem kodein eldesi yöntemlerinden sonra morfin elde etmek için kullanacağımız yöntem olacaktır.
Kodein Eldesi (Iorga ve Guillou, 2008)
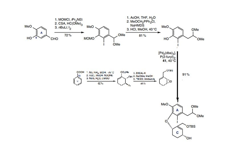
Iorga ve Guillou, temel adımlar olarak bir lakton açılması/Michael ekleme dizisi ve bir Eschenmoser-Claisen yeniden düzenlemesi ile rasemik kodeine sentezi için yeni bir yol sundular.[15] Metoksifenilasetik asidin indirgenmesi ve ardından etilen glikol ile ketalizasyon yoluyla erişilebilen başlangıçta görülen asit, 2-iyodo-6-metoksifenol (C7H7IO2C_7H_7IO_2) ile esterleştirildi.
İşlemler sonucunda kodein, yaklaşık %0,6'lık bir toplam verimle 17 adımda elde edildi.


Kodein Sentezi (Stork, 2009)
Stork'un stratejisi, anahtar adım olarak morfinin B- ve C-halkasını oluşturmak için bir benzofuranın Diels-Alder siklo-ilave (İng: "cycloaddition") reaksiyonunu içerir. Reaksiyon dizisi, iyodoizovanillin ketalizasyonu ile başlar.[16]

Tebainden Morfin Sentezi

Bu dört yöntem dışında da pek çok morfin sentezi yöntemi vardır. Afyondan morfinin izolasyonu için tipik olarak kullanılan iki ana prosedür Güney Doğu Asya'da daha yaygın olan kireç yöntemi ve Batı Asya'da daha yaygın olan amonyak yöntemidir. Birçok yoldan biriyle elde edilen morfinin asetik anhidrat tarafından asetilasyonu ile de eroin elde edilir.
Eroinde "Türk Yöntemi"
Avrupa ve Kuzey Amerika'daki çoğu eyalette toksikolojik veriler ve ilaç bileşimi yakından takip edilirken, eroin hazırlama yöntemlerinin etkisi bilimsel literatürde nadiren araştırılır ve mevcut bilgilerin çoğu tüketici görüşmeleri yoluyla sağlanır.
Eroin hazırlama raporlarının çoğu, eroin tozunun bir asitle karıştırılması, su veya fizyolojik salin eklenmesinden oluşan "standart" yönteme odaklanır. Lüksemburg Şehrindeki Abrigado uyuşturucu tüketim odasında yapılan görüşmeler ve tartışmalar sırasında bildirildiğine göre; eroin tüketicilerinin yaklaşık üçte biri, birçok durumda ve hatta yalnızca "Türk yöntemi" olarak adlandırılan alternatif bir hazırlama yönteminin kullanmaktadır.
Standart yöntemin aksine, Türk yönteminde, ilk adımda numuneye su veya tuzlu su çözeltisi eklenmez. Asitli eroin tozu, ilk kabarcıklar görünene ve koyu kahverengiye dönene kadar çakmakla ısıtılır. Daha sonra salin solüsyonu eklenir ve karışım optimal çözünmesi için kısa süreliğine tekrar ısıtılır.

Sonunda çözelti, pamuklu bir filtreden şırıngaya emdirilir. Türk yöntemi, birçok tüketicinin tercih ettiği yöntemdir. Kullanıcıların Türk metoduna yorumları daha yoğun etkileri olduğu, daha iyi koku ve tada sahip olduğu yönündedir. Bununla birlikte, standart hazırlama yöntemiyle karşılaştırıldığında, apseler ve tedavi edilebilir epidermal nekroz gibi ciddi klinik yan etkiler sıklıkla gözlenir.

Eroin Kaçakçılığı
BM verilerine göre, 2015-2019 yılları arasında dünya genelinde 50 ülkede afyon üretimi gerçekleştirildiği bildirilmiş, toplam afyonun tahminen %97'sinin üç ülkede üretildiği belirlenmiştir. Fakat küresel boyutta bakıldığında Afganistan, hem haşhaş ekiminin hem de afyon üretiminin en fazla gerçekleştiği ülkedir. Diğer yandan Güney Doğu Asya ve Orta Amerika da afyon ve türevlerinin üretim ve kaçakçılığında öne çıkan diğer bölgeler arasında yer almaktadır.
2018 yılında küresel boyutta ele geçirilen eroin ve morfinin %70'i genellikle Güney Batı Asya'da ele geçirilmiştir. Asya'dan sonra en fazla miktarda eroin ve morfin, küresel miktarda ele geçirilen eroinin %22'si olmak üzere Avrupa’da ele geçirilmiştir. Avrupa’da en fazla miktarda eroin yakalanan bölge %66 oranı ile Doğu ve Güneydoğu Avrupa olmuştur. Bu bölgelerde yakalanan en fazla eroin ve morfin, %62 oranı ile Türkiye'de yakalanmıştır. Yayınlanmış BM verilerine göre, 2019 yılında küresel boyutta en fazla eroin ele geçiren ülke, 20.165 kilogramla Türkiye’dir.[17]
Ulusal ve uluslararası eroin yakalamaları ele alındığında, eroin kaçakçılığının genellikle yasal sevkiyatlarla birlikte karayolundan yapıldığı sonucuna varmaktayız.
Haşhaş ekimi ve afyon üretiminde küresel boyutta ilk sırada yer alan Afganistan’dan kaynaklı opiyatların Avrupa ve dünyanın geri kalan bölgelerinde olan kaçakçılığında kullanılan başlıca güzergahlar; Balkan Rotası, Güney Rotası ve Kuzey Rotası’dır.
Kullanılan bu ana rotaların yanında, özellikle Balkan Rotası olmak üzere ana rotaların yan ve alt rotaları olan Kafkas Rotası, Kuzey Karadeniz Rotası, Doğu Akdeniz Rotası, Kuzey Irak-Suriye Rotası gibi rotalar da eroin ve diğer uyuşturucu çeşitlerinin kaçakçılığında sıklıkla kullanılan rotalardır.
Eroinin Etkileri
Eroinin İnsan Biyolojisine Etkisi ve Bağımlılık
Eroin tek seferlik kullanımda dahi çok yüksek bağımlılık potansiyeline sahiptir ve özellikle diğer maddelere oranla hızla tolerans geliştirir.
Kısa Dönem Etkileri
- Eroin ilk kez alındığında ortaya çıkan belirtiler bulantı ve kusma şeklindedir. Ayrıca göz bebeklerinin küçülmesi, yüz ve boyun bölgesinde kızarıklık, aşırı terleme, kol ve bacaklarda ağırlık hissi, solunumun yavaşlaması, kalp atış hızında ve kan basıncında düşme, idrar yapmada güçlük ve kabızlık, ağızda kuruluk, şiddetli kaşıntı görülür.
- Eroin kullanımından sonra kişi bir keyif ve rahatlama duygusu içinde olur. Coşkulu ruh hali olarak tanımlanabilecek bu duruma “rush” adı verilir. Bu hissin düzeyi eroin miktarına ve beyne ulaşma hızına bağlıdır.
- İlk kullanımla birlikte hafif uykulu bir durum oluşabilir. Etkisi geçtiğinde ise kişi kendini yorgun ve dinlenememiş hisseder. Birey kullanımdan hemen sonra ortaya çıkan gevşeme ve rahatlama gibi deneyimlere hızla direnç geliştirir ve bu etkiler ortadan kalktığında kişinin duygu durumu giderek kötüleşir.
Uzun Dönem Etkileri
Uzun dönem eroin kullanımı kişide çok ciddi fiziksel ve ruhsal hastalıklara yol açar:
- Kronik eroin kullanımına bağlı en sık gözlenen fiziksel belirtilerden biri kabızlıktır.
- Damar yolu kullanımına bağlı olarak çoklu enjektör kullanımı veya enjektör ekipmanları (pamuk, ısıtıcı ve enjeksiyon suyu) temizliğine dikkat edilmemesi durumunda çeşitli bulaşıcı hastalıklara (AIDS/HIV, Hepatit B, Hepatit C vb.) yakalanma riski oldukça yüksektir.
- Erkeklerde testosteron düzeyini azaltıp östrojen düzeyini arttırarak cinsel istekte azalma ve ereksiyon bozukluğuna yol açabilir. Ayrıca infertiliteye (kısırlık) de neden olabilir.
- Kadınlarda menstrüasyon düzensizliğine veya menstrüasyonun tamamen ortadan kalkmasına neden olabilir.
- Gebelikte eroin kullanımı erken doğuma, bebek ölümüne ve düşük doğum ağırlığına yol açabilir. Gebelik esnasında eroin kullanımı devam ettiğinde eroin kan yoluyla anneden bebeğe geçebilir. Doğum sonrasında göbek bağının kesilmesiyle bebek yetişkinlerde görülen yoksunluk belirtilerinin aynılarını yaşayabilir.
- Yapılan araştırmalara göre uzun süreli eroin kullanımı ile kanser riskinde artış arasında bağlantı vardır. Birçok kanserojen madde gibi eroin de DNA hasarına yol açabilir.
- Sıklıkla eroin kullanan kişiler apseler, bakteriyel enfeksiyonlar ve kalp kapakçıklarının enfeksiyonlarından kaynaklanan sorunlarla uğraşmak zorunda kalır.
- Eroin beynin fiziksel yapılarını etkilediğinden sürekli kullanımda depresyon, hafıza sorunları, antisosyal kişilik bozukluğu gibi zihinsel sağlık sorunlarıyla karşılaşılabilir.
Doz Aşımı
Yüksek doz eroin kullanımının en korkulan sonucu, solunum sisteminin baskılanması ve buna bağlı ölümdür. Çoğu zehirlenme olgusu, kasten değil, kazaen doz aşımına bağlıdır. Kullanılan eroinin miktarına, saflık derecesine, kullanım şekline ve birlikte kullanılan diğer maddelere bağlı olarak ölüm riski değişir.
Eroin Bağımlılığı
Eroin beyne girdiğinde, beyindeki ve vücuttaki opioid reseptörlerine bağlanan morfine dönüşür. Bu, bir öfori dalgasına sebep olur. Eroinin etkisi kalktıkça, beyin dengesini yeniden kazanır ama bu, herkes için geçerli olmayabilir. Pek çok insan için opioid tuzağı budur zaten: Başlangıçta ciddi bir yan etki görülmez. Ancak beyin, her kullanımda yavaş yavaş yeniden bağlantılar kurar.
Vücudunuzun kendi opioid versiyonu olan endorfinleri doğal olarak üretirsiniz; egzersiz yaptıktan, bir arkadaşınıza sarıldıktan veya en sevdiğiniz yiyecekleri yedikten sonra kendinizi iyi hissetmenizi sağlamak için beynin ödül devrelerinde endorfin salgılanır. Ancak afyonlu ilaçlar bu opiod reseptörleri denilen moleküllere endorfinden daha güçlü ve uzun süreli tutunurlar. Bu yüzden endorfinden daha güçlü ağrı kesici özellikleri vardır. Bu durum, beyinde bir sinyal şelalesi oluşturarak aşırı dopamin salınımına sebep olur. Beynin ödül merkezlerini uyaran dopamin, aşırı öforik halin ortaya çıkmasına neden olur. Eroinin zirve yaptırdığı bu hal, kullanıcıların aynı zirveyi tekrar tekrar aramalarına sebep olur ve her kullanımda uyuşturucuya dair geliştirilen tolerans artar.
Zamanla vücut opioid kullanımına adapte olmaya başlar, opioide karşı reseptör sayısını düşürerek ya da daha az tepki vererek tolerans geliştirir. Aynı etkiyi sağlayabilmek için kullanıcının dozu artırması gerekir. Bu da vücut fonksiyonlarının düşük nöradrenalinden dolayı iyice yavaşlamasına sebep olur. Kısacası eroin kullanımı arttıkça reseptörler daha da körelir, vücut doğal dopamin üretimini daha da azaltır. Bu gerçekleşirken vücut nöradrenalin reseptörlerini artırarak çok küçük dozlarda nöradrenaline bile tepki verir hale gelir. Kullanıcı opioid bulamadığında nöradrenalin kısıtlaması kalktığı ve fazladan bir sürü reseptör oluştuğu için aşırı bir nöradrenalin etkisi oluşur. Böylelikle vücut fonksiyonları opioidlerin blokladığı nöradrenaline rağmen işler hale gelir. Hatta yeni düzenin çalışabilmesi için opioid zorunlu hale gelmiştir, fiziksel bağımlılığı yaratan budur.
Beynin bu kimyasal değişikliklere verdiği tepki, ilaçsız hayatı zorlaştırır. Stres ve sinirlilik hali başlar, bu yüzden başa çıkmak için daha fazla opioid alırsınız.
Zevk ve ödül döngüleri tersine döner: Uyuşturucudan daha az zevk alırsınız, ancak onu daha çok istersiniz. İlacı ne kadar çok arar ve alırsanız, beyin ilaca o kadar çok uyum sağlar ve daha fazlasını talep eder.
Eroin Bağımlılığının Psikolojik Etkileri
Eroin tek kullanımla bağımlılık yapabilen bir uyuşturucudur. Etken maddesi diasetilmorfinin bu seviyedeki bağımlılık özelliği aynı seviyede ağır yoksunluk sendromlarına da sebep olur.
Eroin kullanımına başlayan birey rahatlatıcı bir mutluluk, dışa dönüklük ve coşku gibi olumlu duygular hisseder. Bunun sebebi serotonin hormonunun salınımında artış gözlenmesidir. Bu hormonun salınımı bittiğinde diğer tüm uyuşturucu madde tüketimlerinde gözlemlendiği gibi birey kendini daha sessiz sakin ve içe kapanık bir durumda bulur. Eroin kullanımında rastlanabilecek olumsuz psikolojik durumlar şunlardır:
- Travma sonrası stres bozukluğu
- Uykusuzluk
- Depresyon
- Bipolar bozukluk
- Anksiyete
- Dikkat eksikliği ve hiperaktivite bozukluğu
- Hareket ve konuşmalarda yavaşlık
Yoksunluk sendromuna gelecek olursak, sendromlar oldukça ağırdır. Bu durumdaki hasta belli bazı suçlara sürüklenebilir. Bunların başında da hırsızlık gelir fakat hasta bunları kötü niyetle yapmaz. Maddeye duyulan istek o kadar yoğun ve karşı konulmazdır ki hasta kendi istemiyle hareket etmeyi bırakır. Yoksunluk sendromu maddenin uzun süreli alınmamasında görüldüğü gibi yeterli doz alınmadığında da görülür ve kan yoluyla kullanımında daha sık gözlemlenir.
Bu uyuşturucu madde ve etkilerinden kurtulmaya çalışan hastaların yoksunluk sendromunda beyindeki aynı bölgeyi daha az güçle uyaracak bazı ilaçlar verilir. Bu sendromları tamamen ortadan kaldırmasa daha hafif geçmesini sağlar ki bu da oldukça önemlidir çünkü eroinin yarattığı yoksunluk sendromu oldukça acı vericidir.
Eroinin Sosyolojik Etkileri
Sosyolojik açıdan uyuşturucu bağımlılığı hakkında araştırma, bilinçlendirme ve bağımlılık ile mücadele kapsamında çalışmalar yapılmaktadır. Bunlardan birkaçını ele alacak olursak şu gibi sonuçlar çıkarılmaktadır.
- Avrupa’da tedaviye giriş ve diğer göstergeler eroin kullananların yaşlanan ve azalan bir grup olduğunu göstermektedir. Opioidler, Avrupa Birliği’nde 2019 için bildirilen ölümcül doz aşımlarının %76’sında tespit edilmiştir.
- Eroin, 2019 verilerine göre yıllar içinde kullanımı %100’ün altında ((%17'li artış gözlenmiştir.) artan tek uyuşturucudur. Avrupa’daki uyuşturucu ele geçirme operasyonlarının %3’lük kısmını oluşturmaktadır.
- Türkiye’de 2021 yılında 22 tonun üzerinde eroin ele geçirilmiştir ve bu son 10 yılın en yüksek verisidir.
- Avrupa’da uyuşturucu tedavisine girenlerin %27’si tarafından özel uyuşturucu tedavisine girmenin ana nedeni olarak opioid kullanımı bildirilmiştir. Eroin, opioid kullandığı bildirilen ve ilk kez tedaviye giren 17 300 kişinin 13 600’ü (%79) için birincil uyuşturucudur. Bu da eroine talebin ne kadar yüksek olduğunu göstermektedir. Bir başka araştırmada da uyuşturucu kullanan bireyler güncel olarak kullandığı uyuşturucuyu %60 gibi yüksek bir oranda eroin olarak bildirmiştir.
- Avrupa’da yapılan araştırmaya göre kullanıcılarda eroinin ilk kullanma yaşı ortalama 23 olarak saptanmıştır. Ancak bu yaşın altında kullanımlar da söz konusudur.
- Eroin kullanıcılarının büyük bir çoğunluğunu da erkek bireyler oluşturmaktadır.
- Eroin kullanıcıların büyük bir çoğunluğunu ilkokul ve ortaokul mezunu insanlar olduğu görülmektedir. Hatta yapılan bazı küçük çaplı araştırmalarda eroin kullanıcıları arasında üniversite mezunlarına rastlanılmamıştır. Eroin kullanıcıların anne-babalarında da ilkokul-ortaokul mezunları çoğunluk göstermektedir.
- Eroin gibi uyuşturucu maddelere başlama nedeni olarak en çok merak, kişisel sorunlar, arkadaş ısrarı, özenme gösterilmektedir.
- Eroin kullanıcılarının %60 gibi bir çoğunluğu tedavi olmak istediğini bildirmiştir. Diğer madde kullanıcılarına göre (%35) bu oran epey yüksektir. Bu da eroin maddesinin bağımlılık ve yıkım derecesinin çok yüksek olduğunu ortaya koymaktadır.
Eroinin Kültürel Etkileri
Eroin geçtiğimiz yüzyıllar boyu çeşitli müzisyenlere, yazarlara ve sanatçılara esin kaynağı olmuştur. Eroinin etkisi bazıları tarafından yanlış anlaşılmış, bazılarına çok sayıda ilham kaynaklığı yapmış, bazılarının da elinden her şeyini almıştır.
- Yıllar boyunca başta "grunge" türü olmak üzere sayısız rock müzik sanatçısı eroin üzerine şarkılar yazmış, bazıları tarafından eroin kullanılmıştır.
- Nirvana grubunun vokalisti Kurt Cobain, yüksek doz eroin aldıktan sonra silahla, Soundgarden vokalisti Chris Cornell eroin sonrası kendisi asarak intihar etmiştir. Alice in Chains vokalisti yüksek doz eroin sonrası komaya girip hayatını kaybetmiştir.
- Eroin üzerine, Bir İngiliz Afyon Tiryakisinin İtirafları (Thomas De Quicey), Eroinle Dans (Canan Tan), Eroin: Christiane F.’in Korkunç Anıları (Christiane F.) yazılan kitaplara örnek gösterilebilir.
- Film olarak da The Basketball Diaries (1995), A Girl Walks Home Alone at Night (2014), Jennifer On My Mind (1971) örnek olarak verilebilir.
- Dur Diyen Yok (Ceza), No Coke (Dr Alban), Heroin (The Velvet Underground), Under the Bridge (Red Hot Chili Peppers) ise eroin üzerine yazılan şarkılara örnek gösterilebilir.
Evrim Ağacı'nda tek bir hedefimiz var: Bilimsel gerçekleri en doğru, tarafsız ve kolay anlaşılır şekilde Türkiye'ye ulaştırmak. Ancak tahmin edebileceğiniz gibi Türkiye'de bilim anlatmak hiç kolay bir iş değil; hele ki bir yandan ekonomik bir hayatta kalma mücadelesi verirken...
O nedenle sizin desteklerinize ihtiyacımız var. Eğer yazılarımızı okuyanların %1'i bize bütçesinin elverdiği kadar destek olmayı seçseydi, bir daha tek bir reklam göstermeden Evrim Ağacı'nın bütün bilim iletişimi faaliyetlerini sürdürebilirdik. Bir düşünün: sadece %1'i...
O %1'i inşa etmemize yardım eder misiniz? Evrim Ağacı Premium üyesi olarak, ekibimizin size ve Türkiye'ye bilimi daha etkili ve profesyonel bir şekilde ulaştırmamızı mümkün kılmış olacaksınız. Ayrıca size olan minnetimizin bir ifadesi olarak, çok sayıda ayrıcalığa erişim sağlayacaksınız.
Makalelerimizin bilimsel gerçekleri doğru bir şekilde yansıtması için en üst düzey çabayı gösteriyoruz. Gözünüze doğru gelmeyen bir şey varsa, mümkünse güvenilir kaynaklarınızla birlikte bize ulaşın!
Bu makalemizle ilgili merak ettiğin bir şey mi var? Buraya tıklayarak sorabilirsin.
Soru & Cevap Platformuna Git- 28
- 24
- 20
- 18
- 18
- 18
- 13
- 11
- 7
- 4
- 4
- 1
- ^ National Institute on Drug Abuse. Heroin. Alındığı Tarih: 25 Temmuz 2022. Alındığı Yer: National Institute on Drug Abuse | Arşiv Bağlantısı
- ^ R. Jiang, et al. (2017). The Societal Cost Of Heroin Use Disorder In The United States. PLOS ONE, sf: e0177323. doi: 10.1371/journal.pone.0177323. | Arşiv Bağlantısı
- ^ a b W. Sneader. (1998). The Discovery Of Heroin. The Lancet, sf: 1697-1699. doi: 10.1016/S0140-6736(98)07115-3. | Arşiv Bağlantısı
- ^ S. J. Friedrichsdorf, et al. (2014). Management Of Breakthrough Pain In Children With Cancer. Journal of Pain Research, sf: 117-123. doi: 10.2147/JPR.S58862. | Arşiv Bağlantısı
- ^ A. A. UCHTENHAGEN. (2011). Heroin Maintenance Treatment: From Idea To Research To Practice. Wiley, sf: 130-137. doi: 10.1111/j.1465-3362.2010.00266.x. | Arşiv Bağlantısı
- ^ A. . Goldstein. (2012). Heroin Addiction: Neurobiology, Pharmacology, And Policy. Journal of Psychoactive Drugs, sf: 123-133. doi: 10.1080/02791072.1991.10472231. | Arşiv Bağlantısı
- ^ A. Maas, et al. (2017). Confirmation Of Recent Heroin Abuse: Accepting The Challenge. Wiley, sf: 54-71. doi: 10.1002/dta.2244. | Arşiv Bağlantısı
- ^ K. A. Faryar, et al. (2017). The Effects Of Kentucky's Comprehensive Opioid Legislation On Patients Presenting With Prescription Opioid Or Heroin Abuse To One Urban Emergency Department. Journal of Emergency Medicine, sf: 805-814. doi: 10.1016/j.jemermed.2017.08.066. | Arşiv Bağlantısı
- ^ H. Hedegaard, et al. (2015). Drug-Poisoning Deaths Involving Heroin: United States, 2000-2013. NCHS data brief. | Arşiv Bağlantısı
- ^ C. M. Jones, et al. (2015). Vital Signs: Demographic And Substance Use Trends Among Heroin Users — United States, 2002–2013. Morbidity and Mortality Weekly Report, sf: 719. | Arşiv Bağlantısı
- ^ S. U. Kurt. Dünyada Ve Türkiye'de Uyuşturucu Kullanımı |. (9 Temmuz 2018). Alındığı Tarih: 8 Ağustos 2022. Alındığı Yer: Doğruluk Payı | Arşiv Bağlantısı
- ^ P. Skolnick. (2018). On The Front Lines Of The Opioid Epidemic: Rescue By Naloxone. European Journal of Pharmacology, sf: 147-153. doi: 10.1016/j.ejphar.2018.08.004. | Arşiv Bağlantısı
- ^ E. S. Bradley, et al. (2019). Potential Uses Of Naltrexone In Emergency Department Patients With Opioid Use Disorder. Clinical Toxicology, sf: 753-759. doi: 10.1080/15563650.2019.1583342. | Arşiv Bağlantısı
- ^ K. Uchida, et al. (2007). Synthesis Of (±)-Morphine. Synfacts, sf: 0342-0342. doi: 10.1055/s-2007-968288. | Arşiv Bağlantısı
- ^ M. Varin, et al. (2009). Synthesis Of (±)-Codeine. Synfacts, sf: 0126-0126. doi: 10.1055/s-0028-1087602. | Arşiv Bağlantısı
- ^ G. Stork, et al. (2009). Regiospecific And Stereoselective Syntheses Of (±) Morphine, Codeine, And Thebaine Via A Highly Stereocontrolled Intramolecular 4 + 2 Cycloaddition Leading To A Phenanthrofuran System. American Chemical Society (ACS), sf: 11402-11406. doi: 10.1021/ja9038505. | Arşiv Bağlantısı
- ^ Emniyet Genel Müdürlüğü Narkotik Suçlarla Mücadele Daire Başkanlığı. (). 2021 Türkiye Uyuşturucu Raporu.
- A. N. Babaoğlu. (1997). Uyuşturucu Tarihi Ve Analizi.
- M. Booth. Opium: A Histor.
- Ö. Köknel. İnsanlık Tarihi Boyunca Uyuşturucu Madde Sorunları.
- K. Ögel. Uyuşturucu Maddeler Ve Bağımlılık.
- U. Rinner, et al. (2011). Synthesis Of Morphine Alkaloids And Derivatives. Springer, Berlin, Heidelberg, sf: 33-66. doi: 10.1007/128_2011_133. | Arşiv Bağlantısı
- S. Klemenc. (2002). 4-Dimethylaminopyridine As A Catalyst In Heroin Synthesis. Forensic Science International, sf: 194-199. doi: 10.1016/S0379-0738(02)00291-8. | Arşiv Bağlantısı
- Specialist Pharmacy Sevice. Diamorphine. (15 Şubat 2013). Alındığı Tarih: 25 Temmuz 2022. Alındığı Yer: Specialist Pharmacy Sevice | Arşiv Bağlantısı
- United Nations Office on Drugs and Crime. World Drug Report 2016. Alındığı Tarih: 25 Temmuz 2022. Alındığı Yer: United Nations Office on Drugs and Crime | Arşiv Bağlantısı
- Science Direct. Diamorphine (Heroin). Alındığı Tarih: 25 Temmuz 2022. Alındığı Yer: Science Direct | Arşiv Bağlantısı
- Pub Chem. 2-Iodo-6-Methoxyphenol. Alındığı Tarih: 25 Temmuz 2022. Alındığı Yer: Pub Chem | Arşiv Bağlantısı
- L. R. Odell, et al. (2006). A ‘Cold Synthesis’ Of Heroin And Implications In Heroin Signature Analysis. Elsevier BV, sf: 221-229. doi: 10.1016/j.forsciint.2006.02.009. | Arşiv Bağlantısı
- S. Sinha, et al. Heroin Addiction Explained: How Opioids Hijack The Brain. (19 Aralık 2018). Alındığı Tarih: 25 Temmuz 2022. Alındığı Yer: The New York Times | Arşiv Bağlantısı
- C. Nierenberg. 10 Interesting Facts About Heroin. (27 Ekim 2016). Alındığı Tarih: 25 Temmuz 2022. Alındığı Yer: Live Science | Arşiv Bağlantısı
- B. M. Grup. 6 Uyuşturucunun Sinirbilimi | Bilimfili.com. Alındığı Tarih: 25 Temmuz 2022. Alındığı Yer: bilimfili | Arşiv Bağlantısı
- T. J. Cicero, et al. (2014). The Changing Face Of Heroin Use In The United States: A Retrospective Analysis Of The Past 50 Years. JAMA Psychiatry, sf: 821-826. doi: 10.1001/jamapsychiatry.2014.366. | Arşiv Bağlantısı
- R. G. Carlson, et al. (2016). Predictors Of Transition To Heroin Use Among Initially Non-Opioid Dependent Illicit Pharmaceutical Opioid Users: A Natural History Study. Drug and Alcohol Dependence, sf: 127-134. doi: 10.1016/j.drugalcdep.2015.12.026. | Arşiv Bağlantısı
- T. J. Cicero, et al. (2017). Increased Use Of Heroin As An Initiating Opioid Of Abuse. Elsevier BV, sf: 63-66. doi: 10.1016/j.addbeh.2017.05.030. | Arşiv Bağlantısı
- wonder. Multiple Cause Of Death, 1999-2020 Request. Alındığı Tarih: 6 Ağustos 2022. Alındığı Yer: wonder | Arşiv Bağlantısı
- W. Li, et al. (2013). White Matter Impairment In Chronic Heroin Dependence: A Quantitative Dti Study. Brain Research, sf: 58-64. doi: 10.1016/j.brainres.2013.07.036. | Arşiv Bağlantısı
- J. Liu, et al. (2011). Interaction Between Dysfunctional Connectivity At Rest And Heroin Cues-Induced Brain Responses In Male Abstinent Heroin-Dependent Individuals. PLOS One, sf: e23098. doi: 10.1371/journal.pone.0023098. | Arşiv Bağlantısı
- Medline Plus. Heroin. Alındığı Tarih: 25 Temmuz 2022. Alındığı Yer: Medline Plus | Arşiv Bağlantısı
- Y. Qiu, et al. (2013). Progressive White Matter Microstructure Damage In Male Chronic Heroin Dependent Individuals: A Dti And Tbss Study. PLOS One, sf: e63212. doi: 10.1371/journal.pone.0063212. | Arşiv Bağlantısı
- J. Liu, et al. (2011). Interaction Between Dysfunctional Connectivity At Rest And Heroin Cues-Induced Brain Responses In Male Abstinent Heroin-Dependent Individuals. PLOS One, sf: e23098. doi: 10.1371/journal.pone.0023098. | Arşiv Bağlantısı
- W. Li, et al. (2013). White Matter Impairment In Chronic Heroin Dependence: A Quantitative Dti Study. Brain Research, sf: 58-64. doi: 10.1016/j.brainres.2013.07.036. | Arşiv Bağlantısı
- T. J. Cicero, et al. (2017). Increased Use Of Heroin As An Initiating Opioid Of Abuse. Elsevier BV, sf: 63-66. doi: 10.1016/j.addbeh.2017.05.030. | Arşiv Bağlantısı
- R. G. Carlson, et al. (2016). Predictors Of Transition To Heroin Use Among Initially Non-Opioid Dependent Illicit Pharmaceutical Opioid Users: A Natural History Study. Drug and Alcohol Dependence, sf: 127-134. doi: 10.1016/j.drugalcdep.2015.12.026. | Arşiv Bağlantısı
- T. J. Cicero, et al. (2014). The Changing Face Of Heroin Use In The United States: A Retrospective Analysis Of The Past 50 Years. JAMA Psychiatry, sf: 821-826. doi: 10.1001/jamapsychiatry.2014.366. | Arşiv Bağlantısı
- Drug Abuse. Heroin Effects | Short Term, Long Term & Side Effects. (1 Temmuz 2022). Alındığı Tarih: 25 Temmuz 2022. Alındığı Yer: Drug Abuse | Arşiv Bağlantısı
Evrim Ağacı'na her ay sadece 1 kahve ısmarlayarak destek olmak ister misiniz?
Şu iki siteden birini kullanarak şimdi destek olabilirsiniz:
kreosus.com/evrimagaci | patreon.com/evrimagaci
Çıktı Bilgisi: Bu sayfa, Evrim Ağacı yazdırma aracı kullanılarak 08/10/2025 09:28:30 tarihinde oluşturulmuştur. Evrim Ağacı'ndaki içeriklerin tamamı, birden fazla editör tarafından, durmaksızın elden geçirilmekte, güncellenmekte ve geliştirilmektedir. Dolayısıyla bu çıktının alındığı tarihten sonra yapılan güncellemeleri görmek ve bu içeriğin en güncel halini okumak için lütfen şu adrese gidiniz: https://evrimagaci.org/s/12165
İçerik Kullanım İzinleri: Evrim Ağacı'ndaki yazılı içerikler orijinallerine hiçbir şekilde dokunulmadığı müddetçe izin alınmaksızın paylaşılabilir, kopyalanabilir, yapıştırılabilir, çoğaltılabilir, basılabilir, dağıtılabilir, yayılabilir, alıntılanabilir. Ancak bu içeriklerin hiçbiri izin alınmaksızın değiştirilemez ve değiştirilmiş halleri Evrim Ağacı'na aitmiş gibi sunulamaz. Benzer şekilde, içeriklerin hiçbiri, söz konusu içeriğin açıkça belirtilmiş yazarlarından ve Evrim Ağacı'ndan başkasına aitmiş gibi sunulamaz. Bu sayfa izin alınmaksızın düzenlenemez, Evrim Ağacı logosu, yazar/editör bilgileri ve içeriğin diğer kısımları izin alınmaksızın değiştirilemez veya kaldırılamaz.