Nişasta Nedir?
Nişasta bir Glukoz polisakkaritidir. Bitkilerde Depo Polisakkariti olarak iş görür. Depo Polisakkaritleri, hücre enerjiye ihtiyacı olduğunda Glukoza parçalanır ve Glukoz enerji için kullanılır.[1]
:sharpen(0.5,0.5,true)/content%2F5b48abec-1b12-4c4d-a518-d65e751c7dff.jpeg)
Nişasta bitkilerde lökoplast ismi verilen bir tür plastidlerde depolanır. Lökoplastlar bitkilerin ışık görmeyen bölgelerinde ve meristem hücrelerinde bulunur.
Şekil 1'de görmüş olduğunuz Nişasta, patates nişastasıdır. Patates nişastası, genellikle elipsoid, konkoid, nadir olarak ise küre biçiminde karşımıza çıkar.
:sharpen(0.5,0.5,true)/content%2F0941083c-0d1f-4f67-95b9-84c0f0d51ce7.jpeg)
Nişastanın Yapısı
Amiloz, 1-4 glikozidik bağlı glukoz polisakkaritidir. Dallanmamış bir yapıdadır. Nişastanın Amiloz kısımları suda rahatlıkla çözünür.
:sharpen(0.5,0.5,true)/content%2Fda678989-2321-41ea-b177-62d9d9c76633.jpeg)
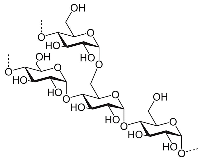
Amilopektin ise, hem 1-4, hem de 1-6 glikozidik bağlı glukoz polisakkaritidir. Dallanmış bir yapıya sahiptir ve nişastanın Amilopektin kısımları suda çözünemez.[2]
:sharpen(0.5,0.5,true)/content%2F4c722e4f-75ca-4228-bcac-edef57097cdb.jpeg)
Doğal nişastanın %10-20'si amiloz içerirken, %80-90'si amilopektindir.[3]
Nişastanın Temel Farkları
Nişasta, ökaryotlarda, arkelerde ve bakterilerde kullanılan Glikojenden, aynı monosakkaritten ibaret olmalarına rağmen, fizikokimyasal olarak çok farklıdır. Bunun sebebi moleküler yapılarında gizlidir.
Glikojenin aksine Nişastanın dallanmış kısımları, kümelenmiş haldedir. Bu da daha uzun linear glukoz zincirleri oluşmasına sebep olur. Bu yapı, çift sarmallar oluşturabilir ve suyu uzaklaştırır. Tam da bu yüzden Nişasta, Glikojene kıyasla daha zor çözünür.[4]
:sharpen(0.5,0.5,true)/content%2F2c26fd3d-e049-49c8-8d49-e17d35fec647.png)
Bir Yapı Polisakkariti olan Selüloz ise, direkt olarak yapıdaki Glukoz türü ile Nişastadan ayrışır. Nişasta için kullanılan Glukoz, α-Glukoz iken, Selüloz için kullanılan Glukoz, β-Glukoz'dur. β-Glukoz'ların oluşturduğu 1-4 Glikozidik Bağ sonucu, Selülozdaki her Glukoz molekülü, komşusuna göre baş aşağı durumdadır.
Bu durum sonucu Hidroksil grupları da Nişastadaki gibi tek bir düzlemde olmak yerine, farklı düzlemlerde bulunurlar. Bunun sonucu, selüloz polimerleri üst üste yığılarak, Hidrojen Bağları sonucu güçlü bir yapı oluşturabilirler. Bu yapıya Mikrofibril denmektedir. Selüloz polimeri dallanmamaktadır.[1]
:sharpen(0.5,0.5,true)/content%2Fe932f90f-5861-4d2a-9341-736050080c1e.jpeg)
:sharpen(0.5,0.5,true)/content%2Ffd0ecf16-f43e-42f8-8315-dfd79395ed66.jpeg)
:sharpen(0.5,0.5,true)/content%2F2df071d2-5a46-4b52-86c2-29a6dea0560b.jpeg)
- 4
- 2
- 1
- 0
- 0
- 0
- 0
- 0
- 0
- 0
- 0
- 0
- ^ a b L. A. Urry, et al. (2021). Campbell Biology. ISBN: 9780136486879.
- ^ Yazar Yok, Khan Academy. Khan Academy. Alındığı Tarih: 5 Aralık 2024. Alındığı Yer: Khan Academy | Arşiv Bağlantısı
- ^ R. PAWAR, et al. Polysaccharides As Carriers Of Bioactive Agents For Medical Applications. Alındığı Tarih: 5 Aralık 2024. Alındığı Yer: Science Direct | Arşiv Bağlantısı
- ^ H. Brust, et al. (2020). Starch And Glycogen Analyses: Methods And Techniques. Biomolecules, sf: 1020. doi: 10.3390/biom10071020. | Arşiv Bağlantısı
Evrim Ağacı'na her ay sadece 1 kahve ısmarlayarak destek olmak ister misiniz?
Şu iki siteden birini kullanarak şimdi destek olabilirsiniz:
kreosus.com/evrimagaci | patreon.com/evrimagaci
Çıktı Bilgisi: Bu sayfa, Evrim Ağacı yazdırma aracı kullanılarak 07/02/2026 05:30:52 tarihinde oluşturulmuştur. Evrim Ağacı'ndaki içeriklerin tamamı, birden fazla editör tarafından, durmaksızın elden geçirilmekte, güncellenmekte ve geliştirilmektedir. Dolayısıyla bu çıktının alındığı tarihten sonra yapılan güncellemeleri görmek ve bu içeriğin en güncel halini okumak için lütfen şu adrese gidiniz: https://evrimagaci.org/s/18824
İçerik Kullanım İzinleri: Evrim Ağacı'ndaki yazılı içerikler orijinallerine hiçbir şekilde dokunulmadığı müddetçe izin alınmaksızın paylaşılabilir, kopyalanabilir, yapıştırılabilir, çoğaltılabilir, basılabilir, dağıtılabilir, yayılabilir, alıntılanabilir. Ancak bu içeriklerin hiçbiri izin alınmaksızın değiştirilemez ve değiştirilmiş halleri Evrim Ağacı'na aitmiş gibi sunulamaz. Benzer şekilde, içeriklerin hiçbiri, söz konusu içeriğin açıkça belirtilmiş yazarlarından ve Evrim Ağacı'ndan başkasına aitmiş gibi sunulamaz. Bu sayfa izin alınmaksızın düzenlenemez, Evrim Ağacı logosu, yazar/editör bilgileri ve içeriğin diğer kısımları izin alınmaksızın değiştirilemez veya kaldırılamaz.