Bazı Aşıların Tetiklediği Nadir Kan Pıhtılaşmasına Karşı Yeni Bir Tedavi Geliştirildi!

- Basın Bildirisi
- İmmünoloji
- Kardiyovasküler Fizyoloji
Bu haber 4 yıl öncesine aittir. Haber güncelliğini yitirmiş olabilir; ancak arşivsel değeri ve bilimsel gelişme/ilerleme anlamındaki önemi dolayısıyla yayında tutulmaktadır. Ayrıca konuyla ilgili gelişmeler yaşandıkça bu içerik de güncellenebilir.
McMaster Üniversitesi Trombosit İmmünoloji Laboratuvarı'ndan (MPIL) araştırmacılar, aşıya bağlı kan pıhtılarından mustarip insanlar için hayat kurtaran yeni bir tedavi geliştirdiler. Araştırmacılar, aşı kaynaklı immün trombotik trombositopeni (VITT) ile mücadele etmek için pıhtılaşma önleyici ilaçlar ile yüksek dozlarda intravenöz immünoglobulin karışımı olan ikili bir tedavi öneriyorlar.
Tedavinin etkinliğini ilan eden makaleye göre çalışma, AstraZeneca (ChAdOx1 nCoV-19) aşısını olan ve ardından VITT geliştiren üç Kanadalı hasta üzerinde yapıldı.[1] Hastalardan ikisinin bacaklarında, üçüncüsünün ise beyin atardamarlarında pıhtılar oluşmuştu. Laboratuvarın bilimsel direktörü ve tıp doçenti olan Ishac Nazy, şöyle diyor:
VITT hastası olsaydınız, size artık bir tedavimiz olduğunu söyleyebilirdim. Testlerimizle doğru teşhis koyabiliyoruz, tedavi edebiliyoruz ve tedavinin nasıl çalıştığını tam olarak biliyoruz. Bizim işimiz, bu hastalığın mekanizmasını anlamak. Böylece teşhis ve hasta yönetimini iyileştirebiliriz. Bu çalışma, başarılı laboratuvar teşhisi ve hasta bakımını bir araya getiriyor. Bu, gerçek bir translasyon tıbbı yaklaşımıdır - ki yataktan başucuna kadar bu, bizim gerçek uzmanlık alanımızdır.
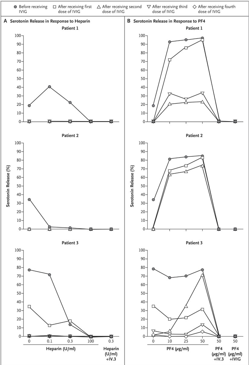
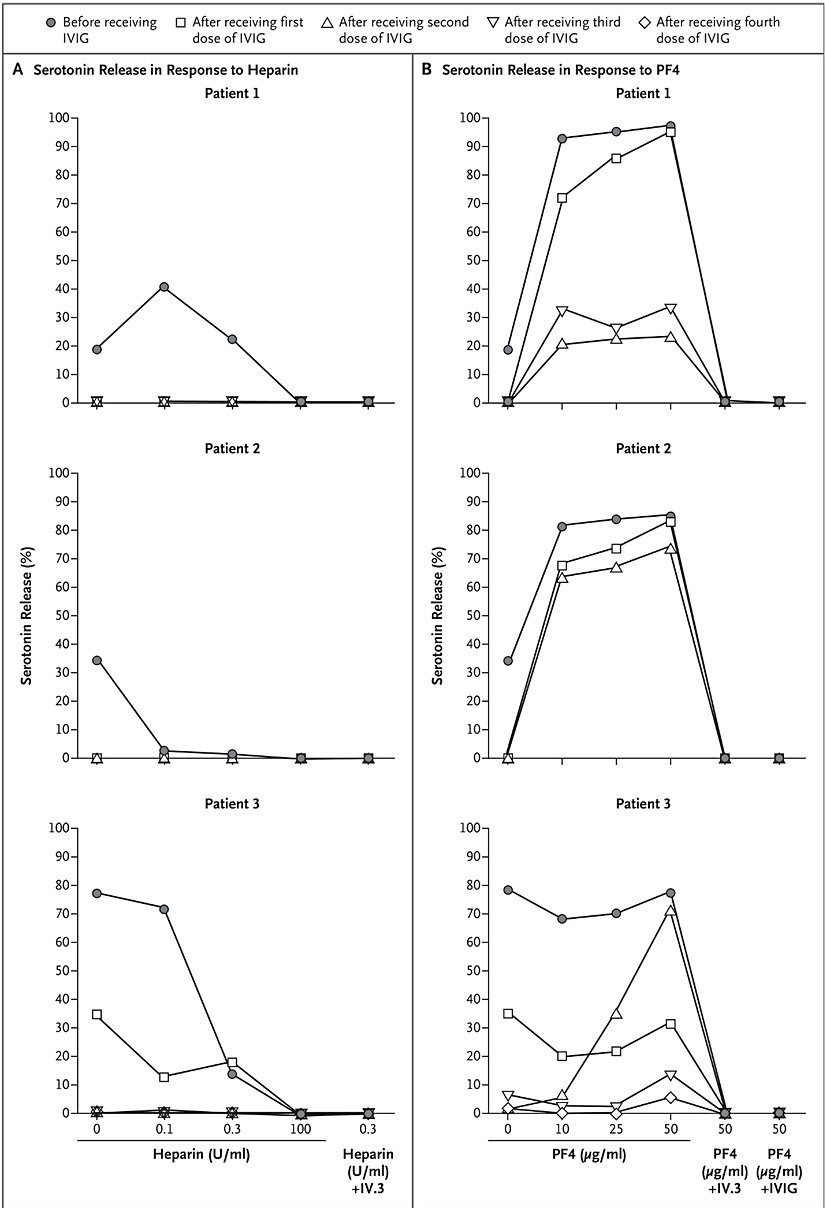
Antikorlar, trombosit faktörü 4 (PF4) adı verilen bir kan proteinine saldırdığında VITT adı verilen bu hastalık ortaya çıkar ve bu, kandaki trombositlerin aktivasyonu ile sonuçlanır. Bu da trombositlerin bir araya toplanmasına ve pıhtı oluşturmasına neden olur.

Tedaviden sonra hastalardan alınan kan örnekleri, vakaların tamamında antikor aracılı trombosit aktivasyonunun azaldığını gösterdi. Bu, tedavinin etkinliğini gösteriyor.
Birçok VITT vakası aslında genç insanları etkilese de bu çalışmadaki hastalar 55 yaş ve üstü bireylerdi. Ancak Nazy ve MPIL'deki meslektaşları, kişinin yaşı ne olursa olsun VITT'in nadir görülen bir hastalık olduğunu söylüyor.
Laboratuvardaki bilim insanları arasında tıp profesörleri Donald Arnold ve John Kelton ile patoloji ve moleküler tıp profesörü Ted Warkentin yer alıyor. Ekip, yeni ürettikleri VITT testini ve tedavisini, heparin kaynaklı trombositopeni (HIT) ile ilgili önceki araştırmalarını temel alarak tasarladılar.

İki hastalık benzer olsa da, VITT'i saptamak için standart bir HIT antikor testinin kullanılması yanlış negatif sonuçlar verebilir. Bu nedenle bilim insanları, COVID-19 aşısı olan hastalarda nadiren de olsa görülen VITT'e özgü antikorları tespit etmek için HIT testini değiştirmeye karar verdiler.
Hastadan alınan kan numuneleri üzerinde sonradan yapılan laboratuvar testleri sayesinde uzmanlar, kan seyreltici ilaçlarla birlikte yüksek dozlarda immünoglobulin kullanmanın, trombosit aktivasyonunu nasıl durdurduğunu ve pıhtı oluşumunu nasıl durdurduğunu ortaya koydu.

Yani bu yöntem, araştırmacıların sürecin mekanizmasını tam olarak keşfetmelerini mümkün kıldı. Nazy, sözlerini net bir şekilde bitiriyor:
Trombosit aktivasyonuna ve pıhtılaşmaya yol açan mekanizmayı artık anlamayı başardık.
Evrim Ağacı'nda tek bir hedefimiz var: Bilimsel gerçekleri en doğru, tarafsız ve kolay anlaşılır şekilde Türkiye'ye ulaştırmak. Ancak tahmin edebileceğiniz gibi Türkiye'de bilim anlatmak hiç kolay bir iş değil; hele ki bir yandan ekonomik bir hayatta kalma mücadelesi verirken...
O nedenle sizin desteklerinize ihtiyacımız var. Eğer yazılarımızı okuyanların %1'i bize bütçesinin elverdiği kadar destek olmayı seçseydi, bir daha tek bir reklam göstermeden Evrim Ağacı'nın bütün bilim iletişimi faaliyetlerini sürdürebilirdik. Bir düşünün: sadece %1'i...
O %1'i inşa etmemize yardım eder misiniz? Evrim Ağacı Premium üyesi olarak, ekibimizin size ve Türkiye'ye bilimi daha etkili ve profesyonel bir şekilde ulaştırmamızı mümkün kılmış olacaksınız. Ayrıca size olan minnetimizin bir ifadesi olarak, çok sayıda ayrıcalığa erişim sağlayacaksınız.
Makalelerimizin bilimsel gerçekleri doğru bir şekilde yansıtması için en üst düzey çabayı gösteriyoruz. Gözünüze doğru gelmeyen bir şey varsa, mümkünse güvenilir kaynaklarınızla birlikte bize ulaşın!
Bu makalemizle ilgili merak ettiğin bir şey mi var? Buraya tıklayarak sorabilirsin.
Soru & Cevap Platformuna Git- 7
- 1
- 0
- 0
- 0
- 0
- 0
- 0
- 0
- 0
- 0
- 0
- ^ A. Bourguignon, et al. (2021). Adjunct Immune Globulin For Vaccine-Induced Thrombotic Thrombocytopenia. New England Journal of Medicine. doi: 10.1056/NEJMoa2107051. | Arşiv Bağlantısı
Evrim Ağacı'na her ay sadece 1 kahve ısmarlayarak destek olmak ister misiniz?
Şu iki siteden birini kullanarak şimdi destek olabilirsiniz:
kreosus.com/evrimagaci | patreon.com/evrimagaci
Çıktı Bilgisi: Bu sayfa, Evrim Ağacı yazdırma aracı kullanılarak 22/10/2025 19:18:07 tarihinde oluşturulmuştur. Evrim Ağacı'ndaki içeriklerin tamamı, birden fazla editör tarafından, durmaksızın elden geçirilmekte, güncellenmekte ve geliştirilmektedir. Dolayısıyla bu çıktının alındığı tarihten sonra yapılan güncellemeleri görmek ve bu içeriğin en güncel halini okumak için lütfen şu adrese gidiniz: https://evrimagaci.org/s/10563
İçerik Kullanım İzinleri: Evrim Ağacı'ndaki yazılı içerikler orijinallerine hiçbir şekilde dokunulmadığı müddetçe izin alınmaksızın paylaşılabilir, kopyalanabilir, yapıştırılabilir, çoğaltılabilir, basılabilir, dağıtılabilir, yayılabilir, alıntılanabilir. Ancak bu içeriklerin hiçbiri izin alınmaksızın değiştirilemez ve değiştirilmiş halleri Evrim Ağacı'na aitmiş gibi sunulamaz. Benzer şekilde, içeriklerin hiçbiri, söz konusu içeriğin açıkça belirtilmiş yazarlarından ve Evrim Ağacı'ndan başkasına aitmiş gibi sunulamaz. Bu sayfa izin alınmaksızın düzenlenemez, Evrim Ağacı logosu, yazar/editör bilgileri ve içeriğin diğer kısımları izin alınmaksızın değiştirilemez veya kaldırılamaz.