2. Dünya Savaşı Sırasında Paramiliter Bir Organizasyonda Görev Alan Kadınlarda, Üreme Süreci Hızlandı!

Bu haber 5 yıl öncesine aittir. Haber güncelliğini yitirmiş olabilir; ancak arşivsel değeri ve bilimsel gelişme/ilerleme anlamındaki önemi dolayısıyla yayında tutulmaktadır. Ayrıca konuyla ilgili gelişmeler yaşandıkça bu içerik de güncellenebilir.
Nature Communications'ta yayımlanan bir araştırmaya göre, II. Dünya Savaşı sırasında paramiliter bir organizasyonda görev alan kadınlar, üreme süreçlerini hızlandırdı. Araştırma; strese, travmaya ve büyük oranlarda ölüme maruz kalmanın kadınların üreme kararlarını değiştirebileceğine dair kanıtlar sunuyor. Finlandiya Turku Üniversitesi'nden Robert Lynch şunları söylüyor:
Ben evrimsel antropoloğum ve insanların herhangi bir süreç sırasında yaşanan koşullara nasıl uyum sağladığına dair sorular bu alanın merkezinde yer alıyor. Hepsinin merkezinde ise elbette üreme var. Bu yüzden, yüksek ölüm oranı ve strese maruz kalan kadınlar hakkında bu soruların bazılarına cevap vermeye yardımcı olabilecek veriler olabileceğini öğrendiğimde, doğal olarak bu durum hayli ilgimi çekti.
Çalışmada, Finlandiya'ya ait, II. Dünya Savaşı sırasındaki tahliyeler hakkında bilgiler sunan benzersiz bir veritabanı kullanıldı.
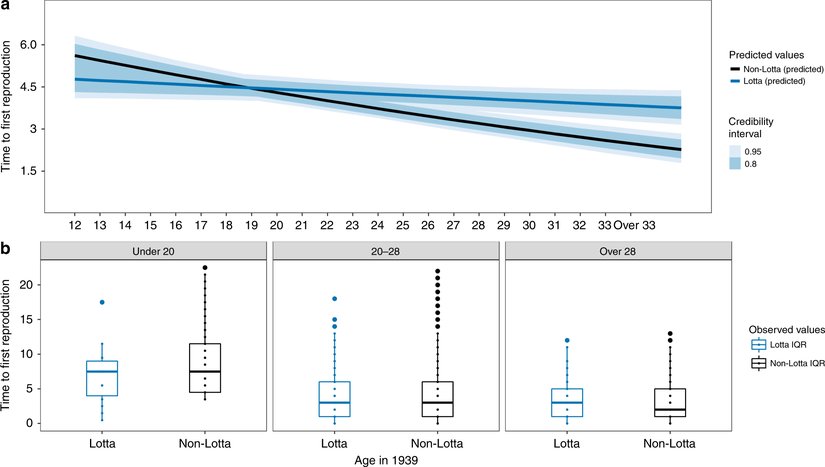
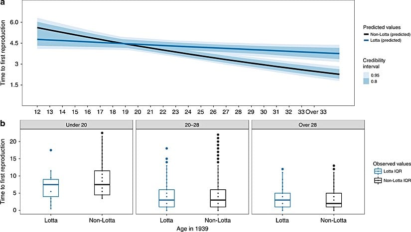
Sovyetler Birliği, 1939'da Finlandiya'yı işgal etti ve Karelya nüfusu, Batı Finlandiya'ya kaçtı. Ancak bu tahliyelerin yaklaşık %60'ı, 1942 ve 1944 yılları arasında Finlandiya tarafından geçici olarak yeniden ele geçirilen Karelya'ya geri döndü. 1968 ve 1970 yılları arasında, 300'den fazla kişi, tahliye edilen yaklaşık 250.000 Karelyalı ile görüşmeler gerçekleştirdi.
Bu görüşmeler; doğum yıllarına, doğum yerlerine, mesleklerine ve çocuklarının doğum yıllarına ilişkin kayıtları olan 37.613 kadını içeriyordu. Bu kadınların 4.000'inden fazlası; paramiliter Lotta Svärd örgütünün hemşireleri, hava saldırısı gözlemcileri, yemekhane görevlileri ve destek birliklerinde diğer yardımcı görevlerde bulunan üyeleri olarak listelendi. Bu kadınlar, 1939'da 12 ila 40 yaş arasındaydı.
Araştırmacılar; Lotta Svärd'a katılan genç kadınların savaş bittikten sonra ilk çocuklarına sahip olmak için daha az beklediklerini, doğum aralıklarının daha kısa ve paramiliter gruba katılmayan kadın meslektaşlarına kıyasla ömür boyu üreme şanslarının daha yüksek olduğunu buldu.

Lynch sözlerine şöyle devam ediyor:
Ortalama bir okuyucu, geçmiş evrimsel baskıların mevcut davranışları nasıl etkileyebileceğini anlar. Bu durumda; evrim, insanlar tehlikeli veya öngörülemeyen bir ortamda (örneğin yüksek ölüm oranı) büyüdüğünde daha fazla azaltma ilkesi uygulamayı (yani gelecekteki ödüller/güzel zamanlar için mevcut duruma katlanmayı, durumu değerlendirmeyi) tercih etmiş olabilir.
Tüm Reklamları KapatBu davranış; evlenip evlenmeyeceğiniz, ne zaman evleneceğiniz, çocuk sahibi olup olmayacağınız ve kaç çocuğunuz olacağı gibi kişinin yaşam yörüngesinde önemli yere sahip olan durumlarda büyük değişikliklere neden olabilir. Bunlar sıradan, önemsiz etkiler değildir. Bu etkileri temel yaşam öyküsü özelliklerinde ölçecek olursak; bunun riskten kaçınma, sosyallik veya cinsel gelişim hızı gibi önemsediğimiz diğer birçok davranış üzerinde de büyük etkileri vardır.
II. Dünya Savaşı sırasındaki bu durum, çoğu özelliği benzer iki kadın grubunun bir faktörle bölündüğü bir "doğal deney"i temsil ediyordu: kadınların Lotta Svärd'a katılıp katılmadıkları faktörü.

Lynch şöyle açıklıyor:
Düşük ölüm oranıyla karşılaşarak yaşayan kişiler genelde kendilerine ve hayat kalitelerini artırmaya yönelik yatırımlar yapıyor. Savaş hali gibi durumlar deneyimlemiş ve yüksek ölüm oranlarıyla karşılaşmış kişiler ise daha erken çocuk sahibi olmak ve geniş aileler kurmak istiyor. Çalışmamızı; biri organizasyonda görevli olan ve diğeri olmayan olmak üzere iki kız kardeş kümeleri üzerinde yaptık, buna ek olarak görevli kadının savaş öncesi ve sonrası üreme zamanlarını test ettik.
Evrim Ağacı'ndan MesajEvrim Ağacı'nın çalışmalarına Kreosus, Patreon veya YouTube üzerinden maddi destekte bulunarak hem Türkiye'de bilim anlatıcılığının gelişmesine katkı sağlayabilirsiniz, hem de site ve uygulamamızı reklamsız olarak deneyimleyebilirsiniz. Reklamsız deneyim, sitemizin/uygulamamızın çeşitli kısımlarda gösterilen Google reklamlarını ve destek çağrılarını görmediğiniz, %100 reklamsız ve çok daha temiz bir site deneyimi sunmaktadır.
KreosusKreosus'ta her 50₺'lik destek, 1 aylık reklamsız deneyime karşılık geliyor. Bu sayede, tek seferlik destekçilerimiz de, aylık destekçilerimiz de toplam destekleriyle doğru orantılı bir süre boyunca reklamsız deneyim elde edebiliyorlar.
Kreosus destekçilerimizin reklamsız deneyimi, destek olmaya başladıkları anda devreye girmektedir ve ek bir işleme gerek yoktur.
PatreonPatreon destekçilerimiz, destek miktarından bağımsız olarak, Evrim Ağacı'na destek oldukları süre boyunca reklamsız deneyime erişmeyi sürdürebiliyorlar.
Patreon destekçilerimizin Patreon ile ilişkili e-posta hesapları, Evrim Ağacı'ndaki üyelik e-postaları ile birebir aynı olmalıdır. Patreon destekçilerimizin reklamsız deneyiminin devreye girmesi 24 saat alabilmektedir.
YouTubeYouTube destekçilerimizin hepsi otomatik olarak reklamsız deneyime şimdilik erişemiyorlar ve şu anda, YouTube üzerinden her destek seviyesine reklamsız deneyim ayrıcalığını sunamamaktayız. YouTube Destek Sistemi üzerinde sunulan farklı seviyelerin açıklamalarını okuyarak, hangi ayrıcalıklara erişebileceğinizi öğrenebilirsiniz.
Eğer seçtiğiniz seviye reklamsız deneyim ayrıcalığı sunuyorsa, destek olduktan sonra YouTube tarafından gösterilecek olan bağlantıdaki formu doldurarak reklamsız deneyime erişebilirsiniz. YouTube destekçilerimizin reklamsız deneyiminin devreye girmesi, formu doldurduktan sonra 24-72 saat alabilmektedir.
Diğer PlatformlarBu 3 platform haricinde destek olan destekçilerimize ne yazık ki reklamsız deneyim ayrıcalığını sunamamaktayız. Destekleriniz sayesinde sistemlerimizi geliştirmeyi sürdürüyoruz ve umuyoruz bu ayrıcalıkları zamanla genişletebileceğiz.
Giriş yapmayı unutmayın!Reklamsız deneyim için, maddi desteğiniz ile ilişkilendirilmiş olan Evrim Ağacı hesabınıza üye girişi yapmanız gerekmektedir. Giriş yapmadığınız takdirde reklamları görmeye devam edeceksinizdir.
Bu iki gruptan biri savaşta görev almış, diğeri almamış kişilerden oluşuyordu ve her iki grup da savaş sonrası aynı ortamda yaşamaya devam ettiler. İrdelenmesi gereken en önemli durumlardan biri, bunun tam olarak nasıl gerçekleştiğidir. Daha yüksek ölüm oranına veya strese maruz kalma, üreme zamanlamasını nasıl etkiler? Hızlandırılmış üreme ile sonuçlanan davranışsal değişimin yaklaşık nedenlerini tam olarak bilmiyoruz (örneğin, riskten kaçınma).
Çalışmanın günümüz için de etkileri olabileceği iddia ediliyor. Lynch sözlerini şöyle sonlandırıyor:
Bu bulgu ve bunun gibi diğer çalışmaların mevcut pandemi için etkileri olabilir. Bu elbette bir spekülasyon, ancak bu zamanın çocukları COVID-19 kaynaklı ‘sersemletici’ ölüm oranlarıyla ilgili haberlere veya kendi aile bireylerinin ölümlerine maruz kalıyorsa, bu grup için yetişkinliğe ulaştıklarında daha hızlı üremelerine neden olabilecek davranışsal tepkiler bekleyebiliriz.
Evrim Ağacı'nda tek bir hedefimiz var: Bilimsel gerçekleri en doğru, tarafsız ve kolay anlaşılır şekilde Türkiye'ye ulaştırmak. Ancak tahmin edebileceğiniz gibi Türkiye'de bilim anlatmak hiç kolay bir iş değil; hele ki bir yandan ekonomik bir hayatta kalma mücadelesi verirken...
O nedenle sizin desteklerinize ihtiyacımız var. Eğer yazılarımızı okuyanların %1'i bize bütçesinin elverdiği kadar destek olmayı seçseydi, bir daha tek bir reklam göstermeden Evrim Ağacı'nın bütün bilim iletişimi faaliyetlerini sürdürebilirdik. Bir düşünün: sadece %1'i...
O %1'i inşa etmemize yardım eder misiniz? Evrim Ağacı Premium üyesi olarak, ekibimizin size ve Türkiye'ye bilimi daha etkili ve profesyonel bir şekilde ulaştırmamızı mümkün kılmış olacaksınız. Ayrıca size olan minnetimizin bir ifadesi olarak, çok sayıda ayrıcalığa erişim sağlayacaksınız.
Makalelerimizin bilimsel gerçekleri doğru bir şekilde yansıtması için en üst düzey çabayı gösteriyoruz. Gözünüze doğru gelmeyen bir şey varsa, mümkünse güvenilir kaynaklarınızla birlikte bize ulaşın!
Bu makalemizle ilgili merak ettiğin bir şey mi var? Buraya tıklayarak sorabilirsin.
Soru & Cevap Platformuna Git- 18
- 17
- 6
- 4
- 2
- 1
- 1
- 1
- 1
- 0
- 0
- 0
- Çeviri Kaynağı: PsyPost | Arşiv Bağlantısı
Evrim Ağacı'na her ay sadece 1 kahve ısmarlayarak destek olmak ister misiniz?
Şu iki siteden birini kullanarak şimdi destek olabilirsiniz:
kreosus.com/evrimagaci | patreon.com/evrimagaci
Çıktı Bilgisi: Bu sayfa, Evrim Ağacı yazdırma aracı kullanılarak 08/10/2025 07:39:52 tarihinde oluşturulmuştur. Evrim Ağacı'ndaki içeriklerin tamamı, birden fazla editör tarafından, durmaksızın elden geçirilmekte, güncellenmekte ve geliştirilmektedir. Dolayısıyla bu çıktının alındığı tarihten sonra yapılan güncellemeleri görmek ve bu içeriğin en güncel halini okumak için lütfen şu adrese gidiniz: https://evrimagaci.org/s/8866
İçerik Kullanım İzinleri: Evrim Ağacı'ndaki yazılı içerikler orijinallerine hiçbir şekilde dokunulmadığı müddetçe izin alınmaksızın paylaşılabilir, kopyalanabilir, yapıştırılabilir, çoğaltılabilir, basılabilir, dağıtılabilir, yayılabilir, alıntılanabilir. Ancak bu içeriklerin hiçbiri izin alınmaksızın değiştirilemez ve değiştirilmiş halleri Evrim Ağacı'na aitmiş gibi sunulamaz. Benzer şekilde, içeriklerin hiçbiri, söz konusu içeriğin açıkça belirtilmiş yazarlarından ve Evrim Ağacı'ndan başkasına aitmiş gibi sunulamaz. Bu sayfa izin alınmaksızın düzenlenemez, Evrim Ağacı logosu, yazar/editör bilgileri ve içeriğin diğer kısımları izin alınmaksızın değiştirilemez veya kaldırılamaz.
This work is an exact translation of the article originally published in PsyPost. Evrim Ağacı is a popular science organization which seeks to increase scientific awareness and knowledge in Turkey, and this translation is a part of those efforts. If you are the author/owner of this article and if you choose it to be taken down, please contact us and we will immediately remove your content. Thank you for your cooperation and understanding.