Yağmurda Koşarsanız Daha Mı Az Islanırsınız?

- Çeviri
- Klasik Fizik
Muhtemelen daha önce merak etmişsinizdir. Yağmurda koşan biri mi yoksa yürüyen biri mi daha çok ıslanır? Bilim insanları da bunu merak ettiler ve konuyu ele aldılar.
İşte sorunun özet bir analizi:
Formül kısmı
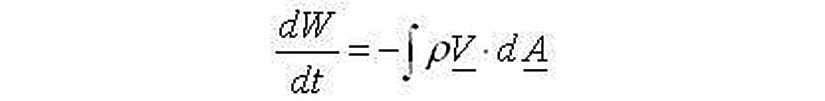
Hesapladık ve bir formül elde ettik. Resmî formül böyle bir şey gibi görünüyor:

Bu formül insana biraz gözdağı veriyor gibi görünüyor. Formüldeki dW/dt, ıslanıyor olduğunuz oran (vücudunuzda zaman başına yüklenen yağmur kütlesi). ρ ise yağmur yağışının yoğunluğu (atmosfer hacim birimindeki su kütlesi). V, size bağlı olan yağmurun hızı ve dA, vücut yüzeyinizin küçük bir parçasını temsil ediyor. Geniş "S" şekli, zaman başına toplam ıslaklık miktarını hesaplamak için tüm bu küçük vücut yüzeyi parçalarına düşen bütün yağmuru toplamanızı söylüyor. (Mızmız not: toplama sadece yağmurla karşılaşan vücut yüzeyleri üzerinden yapılmalıdır, yoksa eşitlik hatalı bir şekilde vücudunuzun içinden geçtiğini düşündüğü "eksi" yağmuru hesaplayacaktır.)
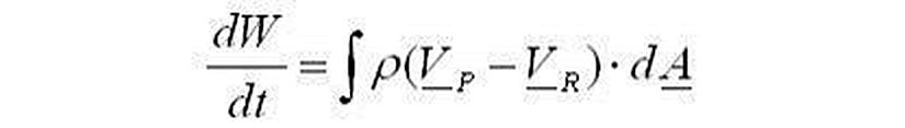
Yağmurun bağıl hızı, yağmurun hızına ve sizin hızınıza bağlıdır. Burada birinin yağmurda koşuyor olduğu ihtimalini ortaya atabiliriz. V, yani bağıl yağmur hızı, yağmurun gerçek hızının sizin vücut hızınızdan çıkarılmasına eşittir. Şimdi bunları yukarıdaki eşitliğe koyup şöyle yazabiliriz:

Burada VP, kişinin hızı ve VR ise yağmurun hızı. (Bunlar ters değil çünkü eksi işaretini çıkardık.)
Ne olmuş yani?
Aynen öyle! Böyle bir çözümün sahip olduğu sorun, tamamen doğru olması için tasarlanmışsa bile, kullanılmak için fazla karmaşık olması, çünkü kolayca hesaplanamıyor. Bir başlangıç yapmak gerekirse, insan bedeninin şekli çok karışıktır ve koşarken bütün parçaları farklı hareketler halindedir. Bazı cevaplar elde etmek için bazı varsayım ve tahminler yapılarak resmî çözüm basitleştirilmelidir. Fizikçiler bunu hep yaparlar ve adına "üçkağıtçılık" denir.
Yaklaşık bir çözüm
Eğlencenin başladığı yer burası. Yağmurda koşmanın ıslaklığı nasıl etkilediği hakkında biraz fikir edinmek için, bazı makul ve anlamlı basitleştirmeler yapmamız lazım.
Yağmurun dikey olarak yağdığını ve ayrıca kişinin dikey olarak koştuğunu varsayacağız. Karmaşık vücut şeklimizin sahip olduğu sorunun üstesinden gelmek için, kişimizi dikdörtgen bir blok olarak hayal edeceğiz; dik olarak duran bir ev tuğlası veya bir Minecraft insanı gibi. Bu "tuğlanın” daha küçük üst yüzeyi "a" bölgesi oluyor ve bizim tüm üst yüzeylerimizi temsil ediyor (kafa ve omuzları). Bu tuğlanın daha geniş ön yüzeyi ise "A" bölgesi oluyor ve bizim ön yüzeylerimizi temsil ediyor (göğüs, karın, kolların ön tarafı, bacakların ön tarafı vb.). Bu yakınlaştırma, bize mükemmel gerçeği vermeyecek fakat neler döndüğüne dair bazı fikirler sağlayabilir.
Bu bizim ilk "toplam ıslaklık" eşitliğimizi üretmemizi sağlıyor. İşte geliyor:
(Basitleştirilmiş) Toplam Islaklık Denklemi
Evrim Ağacı'nın çalışmalarına Kreosus, Patreon veya YouTube üzerinden maddi destekte bulunarak hem Türkiye'de bilim anlatıcılığının gelişmesine katkı sağlayabilirsiniz, hem de site ve uygulamamızı reklamsız olarak deneyimleyebilirsiniz. Reklamsız deneyim, sitemizin/uygulamamızın çeşitli kısımlarda gösterilen Google reklamlarını ve destek çağrılarını görmediğiniz, %100 reklamsız ve çok daha temiz bir site deneyimi sunmaktadır.
KreosusKreosus'ta her 50₺'lik destek, 1 aylık reklamsız deneyime karşılık geliyor. Bu sayede, tek seferlik destekçilerimiz de, aylık destekçilerimiz de toplam destekleriyle doğru orantılı bir süre boyunca reklamsız deneyim elde edebiliyorlar.
Kreosus destekçilerimizin reklamsız deneyimi, destek olmaya başladıkları anda devreye girmektedir ve ek bir işleme gerek yoktur.
PatreonPatreon destekçilerimiz, destek miktarından bağımsız olarak, Evrim Ağacı'na destek oldukları süre boyunca reklamsız deneyime erişmeyi sürdürebiliyorlar.
Patreon destekçilerimizin Patreon ile ilişkili e-posta hesapları, Evrim Ağacı'ndaki üyelik e-postaları ile birebir aynı olmalıdır. Patreon destekçilerimizin reklamsız deneyiminin devreye girmesi 24 saat alabilmektedir.
YouTubeYouTube destekçilerimizin hepsi otomatik olarak reklamsız deneyime şimdilik erişemiyorlar ve şu anda, YouTube üzerinden her destek seviyesine reklamsız deneyim ayrıcalığını sunamamaktayız. YouTube Destek Sistemi üzerinde sunulan farklı seviyelerin açıklamalarını okuyarak, hangi ayrıcalıklara erişebileceğinizi öğrenebilirsiniz.
Eğer seçtiğiniz seviye reklamsız deneyim ayrıcalığı sunuyorsa, destek olduktan sonra YouTube tarafından gösterilecek olan bağlantıdaki formu doldurarak reklamsız deneyime erişebilirsiniz. YouTube destekçilerimizin reklamsız deneyiminin devreye girmesi, formu doldurduktan sonra 24-72 saat alabilmektedir.
Diğer PlatformlarBu 3 platform haricinde destek olan destekçilerimize ne yazık ki reklamsız deneyim ayrıcalığını sunamamaktayız. Destekleriniz sayesinde sistemlerimizi geliştirmeyi sürdürüyoruz ve umuyoruz bu ayrıcalıkları zamanla genişletebileceğiz.
Giriş yapmayı unutmayın!Reklamsız deneyim için, maddi desteğiniz ile ilişkilendirilmiş olan Evrim Ağacı hesabınıza üye girişi yapmanız gerekmektedir. Giriş yapmadığınız takdirde reklamları görmeye devam edeceksinizdir.

Buradaki W, "toplam ıslaklık" (vücudunuzdaki toplam yağmur suyu kütlesi), ρ ise önceden olduğu gibi yağmur yağışının yoğunluğu, a, bizim tepe yüzey alanımız ve A, ön yüzey alanımız. VR ve VP, sırasıyla yağmurun ve kişinin hızları ve t, yağmurda harcanan süre.
Eşitliğe bakarsak, yağmurun hızı, yağmur yoğunluğu ve vücutlarımızın boyutu hakkında yapacak pek fazla şeyimiz olmadığı açık (zayıflamak haricinde). Toplam ıslaklık denkleminde doğrudan kontrol edebileceğimiz nicelikler sadece t (yağmurda geçirilen zaman) ve VP (ne kadar hızlı koşuyor olduğumuz).
Eşitlik epey açık bir şekilde şunları yaparsak en fazla ıslanacağımızı söylüyor: Yağmurda uzun bir süre kalmak (bu şaşırtıcı değil) ve/veya çok hızlı koşmak.
O halde bu çözümlemeye göre, hızlı koşmak aslında bizi daha ıslanmış yapıyor; gerekçe ise "yağmur alanı" boyunca ön yüzeyinizi hareket ettirerek, giderken su topluyor olmanız.
Bu arada eğer gerçekten ıslanmak isterseniz, denklem size, etrafta bir manyak gibi koştururken yağmur altında uzun bir süre kalmanızı öneriyor.
Yine de bundan daha fazlası var. Hızlı koşmak kötü bir fikir gibi görünse de, ya sığınaklara doğru koşarsak ve elbette koşarak yağmurda harcanan zamanı en aza indirirsek? Bu mantıklı bir nokta ve ilk eşitliği hatalı olarak gösteriyor; fakat aslında iyi.
Bunun sebebi, eşitliğin sığınak ihtimali hakkında hiçbir şey "bilmemesi". Basit bir şekilde, eğer yağmurdaysanız, yapılacak en iyi şeyin olduğunuz yerde durmak olduğunu söylüyor. Ancak sığınak fikrini ona sunarak, ek öğüt alabiliriz.
Yağmur başladığı zaman, en yakındaki sığınağı belirlediğinizi ve ona doğru koştuğunuzu varsayalım. Eğer sığınağa olan uzaklık D ise, o halde yağmurda harcanan zaman (üstteki eşitlikte t) D/VP olacaktır.
Eğer bunu "toplam ıslaklık" eşitliğine ekleyip t ile yer değiştirirsek, "düzenlenmiş ve basitleştirilmiş toplam ıslaklık eşitliği" elde ederiz ve bu eşitlik şimdi D sığınağına olan uzaklığı içeriyor:

İşte bunu elde ettik; ıslanmaktan kaçınmak için daha fazla matematiksel nasihat. Çünkü bu eşitlikte VP ile bölme yaptığımız için, mevcut bir sığınak olduğunu kabul edersek hızımızı en yükseğe çıkarmak, şimdi iyi bir fikir olarak ortaya çıkıyor.
O zaman yağmurda koşmalı mıyım yoksa koşmamalı mıyım?
Yağmur yağmaya başladığı zaman, önce en yakın sığınağı belirleyin ve sonra ona koşabildiğiniz kadar hızlı koşun.
Bu dikkate değerdir, çünkü çoğu insanın yaptığı kesinlikle bu! Matematiğin gücü nihayet içimizi rahatlattı; şu otobüs durağına, dükkân gölgeliğine veya rastgele bir dükkana koştuğumuz (ve göz gezdiriyor taklidi yapmaya başladığımız) zaman, kesinlikle doğru olanı yapıyoruz!
Yine de Road Runner için kötü haberler var; eşitliğin gösterdiğine göre en düşük W = ρAD değeri ile ne kadar hızlı koşarsanız koşun ıslanıyorsunuz.
Not: Eğer yağmur bir açıyla yağıyorsa, toplam ıslaklığınızı doğru bir yönde koşarak azaltmak mümkün. Maalesef bu, en yakın sığınak yönüne denk gelmeyebilir. Eğer bunun hakkında endişelenirseniz, daha sonraki bir bölümde bununla ilgilenebiliriz.
Not 2: Alternatif olarak, matematiği boş verin ve bir şemsiye alın.
Evrim Ağacı'nda tek bir hedefimiz var: Bilimsel gerçekleri en doğru, tarafsız ve kolay anlaşılır şekilde Türkiye'ye ulaştırmak. Ancak tahmin edebileceğiniz gibi Türkiye'de bilim anlatmak hiç kolay bir iş değil; hele ki bir yandan ekonomik bir hayatta kalma mücadelesi verirken...
O nedenle sizin desteklerinize ihtiyacımız var. Eğer yazılarımızı okuyanların %1'i bize bütçesinin elverdiği kadar destek olmayı seçseydi, bir daha tek bir reklam göstermeden Evrim Ağacı'nın bütün bilim iletişimi faaliyetlerini sürdürebilirdik. Bir düşünün: sadece %1'i...
O %1'i inşa etmemize yardım eder misiniz? Evrim Ağacı Premium üyesi olarak, ekibimizin size ve Türkiye'ye bilimi daha etkili ve profesyonel bir şekilde ulaştırmamızı mümkün kılmış olacaksınız. Ayrıca size olan minnetimizin bir ifadesi olarak, çok sayıda ayrıcalığa erişim sağlayacaksınız.
Makalelerimizin bilimsel gerçekleri doğru bir şekilde yansıtması için en üst düzey çabayı gösteriyoruz. Gözünüze doğru gelmeyen bir şey varsa, mümkünse güvenilir kaynaklarınızla birlikte bize ulaşın!
Bu makalemizle ilgili merak ettiğin bir şey mi var? Buraya tıklayarak sorabilirsin.
Soru & Cevap Platformuna Git- 2
- 1
- 1
- 1
- 0
- 0
- 0
- 0
- 0
- 0
- 0
- 0
- Çeviri Kaynağı: BBC | Arşiv Bağlantısı
Evrim Ağacı'na her ay sadece 1 kahve ısmarlayarak destek olmak ister misiniz?
Şu iki siteden birini kullanarak şimdi destek olabilirsiniz:
kreosus.com/evrimagaci | patreon.com/evrimagaci
Çıktı Bilgisi: Bu sayfa, Evrim Ağacı yazdırma aracı kullanılarak 10/10/2025 12:37:39 tarihinde oluşturulmuştur. Evrim Ağacı'ndaki içeriklerin tamamı, birden fazla editör tarafından, durmaksızın elden geçirilmekte, güncellenmekte ve geliştirilmektedir. Dolayısıyla bu çıktının alındığı tarihten sonra yapılan güncellemeleri görmek ve bu içeriğin en güncel halini okumak için lütfen şu adrese gidiniz: https://evrimagaci.org/s/5222
İçerik Kullanım İzinleri: Evrim Ağacı'ndaki yazılı içerikler orijinallerine hiçbir şekilde dokunulmadığı müddetçe izin alınmaksızın paylaşılabilir, kopyalanabilir, yapıştırılabilir, çoğaltılabilir, basılabilir, dağıtılabilir, yayılabilir, alıntılanabilir. Ancak bu içeriklerin hiçbiri izin alınmaksızın değiştirilemez ve değiştirilmiş halleri Evrim Ağacı'na aitmiş gibi sunulamaz. Benzer şekilde, içeriklerin hiçbiri, söz konusu içeriğin açıkça belirtilmiş yazarlarından ve Evrim Ağacı'ndan başkasına aitmiş gibi sunulamaz. Bu sayfa izin alınmaksızın düzenlenemez, Evrim Ağacı logosu, yazar/editör bilgileri ve içeriğin diğer kısımları izin alınmaksızın değiştirilemez veya kaldırılamaz.
This work is an exact translation of the article originally published in BBC. Evrim Ağacı is a popular science organization which seeks to increase scientific awareness and knowledge in Turkey, and this translation is a part of those efforts. If you are the author/owner of this article and if you choose it to be taken down, please contact us and we will immediately remove your content. Thank you for your cooperation and understanding.