Süper Emirci Polimerler: Bebek Bezleri O Kadar İdrarı Nasıl Emiyor?

- Çeviri
- Polimer Kimyası
Bu Makalede Neler Öğreneceksiniz?
- Define superabsorbent polymers as materials capable of absorbing and retaining large volumes of water and aqueous solutions, used in diapers, medical dressings, and controlled release environments.
- Explain modern superabsorbent polymers are made from partially neutralized, lightly cross-linked polyacrylic acid, forming rubbery gels containing up to 99% water by weight.
- Describe swelling mechanisms involving polymer backbone hydration and hydrogen bonding, which enable superabsorbent polymers to interact strongly with water molecules.
Süper emici polimerler, büyük hacimlerde su ve sulu çözeltileri emme ve tutma yeteneğine sahip malzemelerdir. Bu, onları bebek bezleri ve yetişkinler için inkontinans pedleri gibi su emici uygulamalarda, emici tıbbi pansumanlarda, menstrüasyon pedlerinde, tamponlarda ve kontrollü salım ortamında kullanım için ideal hale getirir.
İlk üretilen süper emiciler, kimyasal olarak modifiye edilmiş nişasta ve selüloz ile polivinil alkol (PVA), polietilen oksit (PEO) gibi tümü hidrofilik olan ve su için yüksek bir afiniteye sahip olan diğer polimerlerden yapılmıştır. Bu polimerler, kimyasal veya fiziksel olarak hafifçe çapraz bağlandıklarında suda şişebilir ama suda çözünmez hâle gelirler.
Günümüzün süper emici polimerleri, kısmen nötralize edilmiş, hafif çapraz bağlı poliakrilik asitten yapılmaktadır ve bunun en yüksek performans/maliyete oranına sahip olduğu bilinmektedir. Polimerler, hem kalite hem de ekonomik nedenlerle düşük katı seviyelerinde üretilir, kurutulur ve granüler beyaz katılar halinde öğütülür. Suda, bazı durumlarda ağırlıkça %99 kadarı su olabilen kauçuksu bir jele dönüşürler.
Süper Emici Polimerlerde Şişme Mekanizmaları
Süper emici polimerlerin sentezini tartışmadan önce, şişme nedenlerini anlamak gerekir. Şişme işleminde, tümü nihai şişme kapasitesine veya santrifüj tutma kapasitesine (bir santrifüjde yüzey suyu uzaklaştırıldığında bir süper emici polimerlerin serbest şişme koşulları altında tutabileceği, ağırlıkça %0.9 tuzlu su çözeltisi miktarı) katkıda bulunan çeşitli mekanizmalar vardır.

Süper emici polimerlerdeki "polimer omurga" hidrofilik, yani "su sever" yapıdadır, çünkü suyu seven karboksilik asit grupları (–COOH) içerir. Süper emici polimerlere su eklendiğinde bir polimer/çözücü etkileşimi olur; hidrasyon ve hidrojen bağlarının oluşumu bu etkileşimlerden ikisidir.
Hidrasyon
Bir çözünenin iyonlarının, bir çözücünün molekülleri ile etkileşimidir; yani COO- ve Na+ iyonları, polar (kutuplu) su moleküllerini çeker.

Hidrojen Bağları
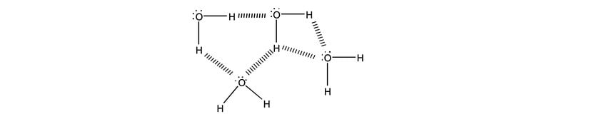
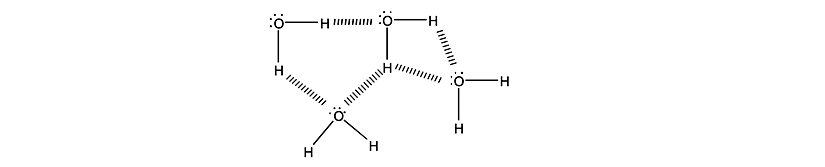
Hidrojen bağları, N, F ve O gibi küçük elektronegatif atomlara bağlı hidrojen atomlarına sahip moleküllerde meydana gelen moleküller arasındaki elektrostatik etkileşimlerdir.

Suda elektronegatif atom, hidrojenin elektronlarını molekülde bir dipol oluşturarak kendisine doğru çeken oksijendir. Pozitif hidrojen atomları, diğer su moleküllerindeki yalnız oksijen çiftlerine çekilir. Oksijenin iki yalnız elektron çifti vardır ve her biri diğer iki su molekülüne hidrojen bağı yapabilir.
Bu etkiler enerjiyi azaltır ve sistemin entropisini arttırır. Süper emici polimerlerin hidrofilik doğası nedeniyle, polimer zincirleri, belirli bir miktarda su içinde dağılma eğilimi gösterir, yani suda çözünmeye çalışırlar, bu da sistem için daha fazla sayıda konfigürasyona yol açar ve ayrıca entropiyi arttırır.
Süper Emici Polimerler Neden Suda Çözünmez?
Polimer zincirleri arasındaki çapraz bağlar üç boyutlu bir ağ oluşturur ve polimerin sonsuza kadar şişmesini, yani çözülmesini engeller. Bu, ağın elastik geri çekme kuvvetlerinden kaynaklanmaktadır ve zincirler başlangıçtaki sarmal durumlarından daha sert hale geldikçe, zincirlerin entropisinde bir azalma eşlik eder.

Artık geri çekilme kuvvetleri ile zincirlerin sonsuz seyreltme için şişme eğilimi arasında bir denge vardır. Çapraz bağlama derecesi, polimerin şişme seviyesi ve ağın gücü üzerinde doğrudan bir etkiye sahiptir, yani, "artan çapraz bağ yoğunluğu = azaltılmış şişme kapasitesi = artan jel kuvveti" şeklinde ifade edilebilir. Çapraz bağlamayı birazdan daha ayrıntılı olarak ele alacağız.
Aslında maddi destek istememizin nedeni çok basit: Çünkü Evrim Ağacı, bizim tek mesleğimiz, tek gelir kaynağımız. Birçoklarının aksine bizler, sosyal medyada gördüğünüz makale ve videolarımızı hobi olarak, mesleğimizden arta kalan zamanlarda yapmıyoruz. Dolayısıyla bu işi sürdürebilmek için gelir elde etmemiz gerekiyor.
Bunda elbette ki hiçbir sakınca yok; kimin, ne şartlar altında yayın yapmayı seçtiği büyük oranda bir tercih meselesi. Ne var ki biz, eğer ana mesleklerimizi icra edecek olursak (yani kendi mesleğimiz doğrultusunda bir iş sahibi olursak) Evrim Ağacı'na zaman ayıramayacağımızı, ayakta tutamayacağımızı biliyoruz. Çünkü az sonra detaylarını vereceğimiz üzere, Evrim Ağacı sosyal medyada denk geldiğiniz makale ve videolardan çok daha büyük, kapsamlı ve aşırı zaman alan bir bilim platformu projesi. Bu nedenle bizler, meslek olarak Evrim Ağacı'nı seçtik.
Eğer hem Evrim Ağacı'ndan hayatımızı idame ettirecek, mesleklerimizi bırakmayı en azından kısmen meşrulaştıracak ve mantıklı kılacak kadar bir gelir kaynağı elde edemezsek, mecburen Evrim Ağacı'nı bırakıp, kendi mesleklerimize döneceğiz. Ama bunu istemiyoruz ve bu nedenle didiniyoruz.
İyonik Polimerlerde Şişme
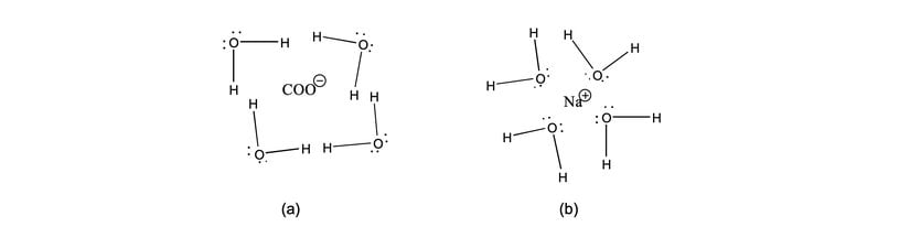
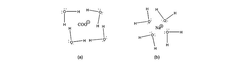
İyonik polimerler için basit karıştırmanın ötesinde başka bir çözücü/polimer etkileşimi vardır. Nötralize zincirler birbirini iten yükler içerir (Şekil 1). Negatif karboksilat grupları pozitif sodyum iyonları ile dengelendiğinden, genel elektriksel nötrlük korunur. Su ile temas ettiğinde sodyum iyonları hidratlanır (şekil 2b), bu da, suyun yüksek dielektrik sabiti nedeniyle, onların karboksilat iyonlarına olan çekiciliğini azaltır. Bu, sodyum iyonlarının ağ içinde serbestçe hareket etmesine izin verir ve bu da jel içindeki osmotik basınca katkıda bulunur. Bununla birlikte, mobil pozitif sodyum iyonları jeli terk edemezler çünkü polimer omurgası boyunca negatif karboksilat iyonlarına hala zayıf bir şekilde çekilirler ve bu nedenle yarı geçirgen bir zar tarafından tutulmuş gibi davranırlar. Dolayısıyla şişmenin itici gücü, jelin içindeki ve dışındaki osmotik basınç arasındaki farktır. Jelin dışındaki sodyum seviyesinin arttırılması, osmotik basıncı düşürecek ve jelin şişme kapasitesini azaltacaktır. Jelin maksimum şişmesi deiyonize suda gerçekleşir.
Süper Emici Polimerler İçin Test Sıvısı
İdrar gibi vücut sıvıları, saf suya kıyasla süper emicinin şişme kapasitesini azaltan sodyum gibi iyonlar içerir. Süper emici polimerlerin gerçek hayattaki uygulamasını, yani bir bebek bezinde daha yakından simüle etmek için, süper emiciler normal olarak bir salin solüsyonunda test edilir. Bu, uygulamada iyon konsantrasyonunun şişme kapasitesi üzerindeki etkilerini simüle eder.
Osmoz ve Osmotik Basınç
Osmoz ve osmotik basınç aşağıdaki gibi basit bir deneyle gösterilebilir.

Yukarıdaki örnekte, iki çözelti, suyun geçişine izin veren ancak tuzların geçişine izin vermeyen yarı geçirgen bir zar ile ayrılmıştır. Bu nedenle, çözeltilerin dengelenmesinin, yani tüm suyun tüm tuzuna sahip olmasının tek yolu, suyun zardan geçmesidir. Bu nedenle çözeltide, damıtılmış suyun zardan geçişini önlemek için üzerine uygulanması gereken basınç olan bir osmotik basınç kurulur.
Süper emici polimerleri yukarıdaki örnekle karşılaştırırsak, suyun tamamının zar boyunca hareket etmesini engelleyen kütleçekimi kuvveti, polimerin çözünmesini veya sonsuza kadar şişmesini önleyen çapraz bağa benzer. Osmotik basınç bir kuvvet olduğu için eşit ve zıt bir kuvvet tarafından üstesinden gelinebilir ve süper emici polimer yeterince sıkılırsa hiç şişmez, ancak bu kuvvetin büyük olması gerekir.
Özet
Polimer zincirlerini nötralize etmenin süper emici polimerin omotik basıncını ve dolayısıyla şişme kapasitesini arttırdığını biliyoruz. Ayrıca şişme kapasitesinin ağ içindeki çapraz bağlanma derecesi ile sınırlandırıldığını da biliyoruz, dolayısıyla ortaya çıkan şişme kapasitesi bu ikisinin birleşik bir etkisidir.
Süper Emici Polimerlerde Şişme Kapasitesi: Çapraz Bağlama ve Nötrleştirmenin Etkileri
Çapraz Bağlamanın Şişme Kapasitesi Üzerindeki Etkisi
Sabit bir nötralizasyon derecesi (Dn) için, bir süper emici polimerin kapasitesi, artan çapraz bağlayıcı oranı ile azalır (tuzlu çözelti içinde şiştiğinde).
Nötralizasyon derecesi değiştirildiğinde, eğriler benzer eğilimler gösterir; ancak eğimler değişir. Dn ne kadar yüksek olursa, eğri o kadar dik olur.
Polimerler deiyonize sudayken, CRC'de %0 ila %20 nötralizasyon derecesi arasında büyük bir fark vardır, ancak bu fark, nötralizasyon derecesi arttıkça daha az belirgindir.

Nötralizasyonun Şişme Kapasitesi Üzerindeki Etkisi
Çapraz bağlayıcı seviyesi sabitlenirse ve tuz çözeltisinde şişme yapılırsa, şişme derecesi nötralizasyon derecesi ile artar.

Eğrilerin eğimleri artık artan çapraz bağlayıcı ile azalmaktadır. TMPTA gibi belirli çapraz bağlayıcılar daha az çözünür hale gelir ve bu nedenle yüksek Dn'de daha az verimli hale gelir, bu nedenle bu, tahmin edilen CRC değerinden daha yüksek bir değere yol açacaktır.
Jellerin Değişen Nötralizasyon Derecesi ve Çapraz Bağlayıcı Seviyelerindeki Davranışına İlişkin Teoriler
- Flory'nin Teorisi – CRC, artan nötralizasyon derecesi ve azalan çapraz bağlayıcı seviyesi ile monoton olarak artar.
- Hasa'nın modeli – Karşı iyon yoğunlaşması (aşağıdaki nota bakınız), nötralizasyon derecesinin kritik bir değere ulaştığını ve bundan sonra şişmenin değişmediğini, yani bir platoya ulaşıldığını tahmin eder.
- Konak'ın modeli – CRC'ye karşı nötralizasyon derecesi eğrisinde bir maksimumun var olduğunu ve bundan sonra şişmenin geri döneceğini tahmin eder.
Bunlar, aşağıdaki çizelgede görsel olarak gösterilmiştir.

Not: Karşı iyon yoğunlaşması modeli: Nötralizasyon derecesi belirli bir değeri aştığında, serbest iyonlar polimer zincirleri üzerinde yoğunlaşacaktır, yani osmotik basınca katkıda bulunan iyonların sayısı belirli bir değerden sonra artmayacaktır. Dolayısıyla bu değerden sonraki şişme oranı tahmin edildiği kadar yüksek olmayacaktır.

Süper Emici Polimer Üretiminde Nötralizasyon Yöntemleri
Çoğu süper emici polimerin imalatında izlenebilecek iki yol vardır. Prosesin nötralizasyon aşaması, polimerizasyondan önce monomer solüsyonunda (nötralizasyon-öncesi) veya poliakrilik asit jeli üzerinde (nötralizasyon-sonrası) gerçekleştirilebilir.
- Nötralizasyon-öncesi yöntem, monomerin nötralizasyonu sıvı fazda (genellikle sodyum veya potasyum hidroksit çözeltisi ile) gerçekleşebildiğinden, bu teknik açıdan en kolay olanıdır. Bazı çapraz bağlayıcı türlerinin çözünürlüğü, monomer çözeltisinin pH'ından etkilenir, bu nedenle, süper emiciler üretmek için işlem türünü seçerken bu dikkate alınması gereken önemli bir faktördür.
- Nötralizasyon-sonrası yöntem, katı bir jelin, normal olarak, sodyum karbonat gibi katı bir nötrleştirici madde veya sodyum hidroksit gibi sıvı bir nötrleştirici madde ile karıştırılmasını gerektirir. Katıları karıştırmak sıvılara göre daha zordur ve daha fazla enerji gerektirir. Sert karıştırma koşulları, polimer zincirlerinin kırılmasına ve polimerin performansının düşmesine neden olabilir. Nötralize edici ajanın eksik katılımı da performansa zarar verebilir. Bunlar, önceden nötralize edilmiş bir süreç seçerken dikkate alınması gereken faktörlerdir.
Her iki yöntemin de avantajları ve dezavantajları vardır ancak her ikisi de doğru koşullarda kaliteli süper emici polimerler üretebilir. Yöntem seçimine, işleme ve kurutma yöntemleri aracılığıyla polimerizasyon sonrası çalışmanın dikkatli bir şekilde değerlendirilmesi eşlik etmelidir.
Süper Emici Polimerlerde Çapraz Bağlama
Çoğu süper emici polimerde iki ana çapraz bağlama türü vardır:
- Yığın veya çekirdek çapraz bağlama: Normalde süper emici üretiminin polimerizasyon aşaması sırasında gerçekleşir.
- Yüzey çapraz bağlama: Polimerin basınç profiline karşı emilimini artıran daha yeni bir işlemdir.
Çekirdek Çapraz Bağlama
Çapraz bağlama, moleküllerin birleştirilmesidir. Genellikle iki veya daha fazla makromolekülün daha küçük bir molekülle birleştirilmesidir. Süper emiciler durumunda en önemli tip ve en yaygın olanı kovalent çapraz bağdır. Süper emici polimer imalatında en yaygın çapraz bağlayıcı türleri, iki veya daha fazla polimerize edilebilir çift bağ içeren organik moleküllerdir. Bu moleküller, polimerizasyon reaksiyonu sırasında büyüdükçe polimer zincirlerinin omurgasına dahil edilir.

Çapraz bağlayıcıların polimere dahil edilmesini ve bunların polimer omurgası boyunca dağılımını birkaç faktör belirler.
Reaktivite Oranları
Reaktivite oranları, reaksiyon bileşenlerinin her birinin birbiriyle reaksiyona girme afinitesinin bir ölçüsüdür, yani bir akrilik asit molekülü, örneğin kendisi gibi biriyle mi yoksa bir çapraz bağlayıcı molekül gibi başka bir şeyle mi reaksiyona girmeyi tercih eder. SAP'ler söz konusu olduğunda iki genel durum vardır:
- Nötralizasyon öncesi polimer: akrilik asit, sodyum akrilat, çapraz bağlayıcı
- Nötralizasyon sonrası polimer: akrilik asit, çapraz bağlayıcı
Çapraz bağlayıcı yüksek bir reaktivite oranına sahipse, bunun çoğu polimerizasyonun erken aşamalarında tüketilecek ve sonraki aşamalarda yapılan herhangi bir polimer zincirinin çapraz bağlanma ve ekstrakte edilebilir zincirler olarak sonuçlanma olasılığı daha düşük olacaktır. Düşük reaktivite oranlarına sahip çapraz bağlayıcılar, zıt eğilime sahiptir. Çapraz bağlayıcı veya çapraz bağlayıcı karışımı seçimi, nihai polimer ağının yapısını belirler.
Ekstrakte Edilebilirler
Genellikle polimer ağına dahil olmayan düşük molekül ağırlıklı polimer zincirlerine çözünür veya ekstrakte edilebilir fraksiyon denir. Bu zincirler, polimer fazla sıvı içinde şiştiğinde polimerden kolayca çıkarılabilir, bu nedenle ekstrakte edilebilirler adı verilir. Çözünür polimerin derecesi, ürünün optimum çapraz bağlayıcı seviyesini ve performansını belirlemede önemlidir. Çok az çapraz bağlayıcı ve polimer, yüksek bir şişme kapasitesine, basınca karşı düşük mukavemete ve yüksek ekstrakte edilebilirliğinden dolayı yapışkan bir hissine sahip olacaktır, çok fazlası da, düşük ekstrakte edilebilirlik, düşük yapışkanlık ancak düşük bir şişme kapasitesi verecektir. Ekstrakte edilebilenler ve şişme kapasitesi verilerinin kullanılması, polimerin kalitesinin optimize edilmesinde faydalıdır.
Bazı Yaygın Çapraz Bağlayıcı Türleri

Süper Emici Polimerlerin Yüzey Çapraz Bağlanması
Tarihsel olarak, yüzey işlemi olmayan ve düşük dahili çapraz bağlamaya sahip süper emici polimerlerin yüksek şişme kapasiteleri gösterme eğiliminde olduğu ancak basınca karşı zayıf emilim gösterdiği bilinmektedir. Çekirdek çapraz bağlamayı azaltarak, yani çapraz bağlama yoğunluğunu azaltarak süper emici polimerlerin şişme kapasitesini geliştirmek, jelin çözünür polimer içeriğindeki eşlik eden artışla sınırlıdır. Benzer şekilde, kapasitedeki artış, süper emici polimer yük altındayken, örneğin bir bebek bezinde otururken sıvı alımında bir azalmaya yol açacaktır (bunun nedeni jeldeki daha düşük elastik beş kuvvetidir). Bu, süper emici polimerler üzerine bir basınç uygulandığında sıvının bu alanlarda etkili bir şekilde emilmediği anlamına gelir. Ayrıca, yarı şişmiş jel üzerindeki basınç, jel yatağına daha fazla sıvının girmesini ve alttaki kuru süper emici polimerler tarafından emilmesini önleyen bölgede (normal olarak süper emici polimer granüllerinin geri kalanına sıvı tedarik edecek olan partiküller arasındaki boşluklar ve kanallar, jel partiküllerinin deformasyonu nedeniyle kapatılır) bir tıkanıklığa neden olabilir. Bu fenomene jel blokajı denir ve bebek bezlerinin sızmasına neden olur. Bu nedenle, geleneksel araçlar (çekirdek çapraz bağlayıcısının düşürülmesi) kullanılarak şişme kapasitesinin arttırılması, yük altında kapasitede genel bir azalmaya yol açar.
Basınca karşı emilimin ve süper emici polimerlerin şişme hızının iyileştirilmesi, partiküllerin yüzeyinin çapraz bağlanmasıyla elde edilebilir. Post çapraz bağlama normalde, sürecin son aşaması olarak, kurutulmuş, öğütülmüş ve boyutlandırılmış süper emici polimer üzerinde gerçekleştirilir. Parçacıklara bir çapraz bağlama çözeltisi uygulanır ve daha sonra normal olarak ısıtma yoluyla "kürlenir". Çapraz bağlamayı gerçekleştiren kimyasallar genellikle, örneğin gliserin gibi polihidrik alkoller gibi polimer omurgası üzerindeki karboksil gruplarıyla reaksiyona girebilen en az iki fonksiyonel gruba sahiptir.
Bu işlemin sonucu, çekirdek-kabuk partikülü olarak tanımlanabilecek olanı veren partiküllerin yüzeyindeki çapraz bağlanma yoğunluğunda bir artıştır. Parçacığın çekirdeği, hafif çapraz bağlı polimerdir ve kabuk, yüzeydeki daha yüksek çapraz bağlanma yoğunluğunu temsil eder. Bu, aşağıdaki şekilde görsel olarak açıklanmıştır.

Süper emici polimer partikülleri üzerindeki yüzey kaplamasının manipülasyonu, ürünün özelliklerini uyarlamada önemli adımlardan biridir. İyi kalitede bir baz polimer ile (yani düşük ekstrakte edilebilir, düşük kalıntı ve istenen kapasite), polimere birçok farklı performans özelliği kazandırmak için farklı tiplerde kaplama çözeltisi ve çapraz bağlayıcı uygulanabilir.
Sonuç ve Özet
Süper emici polimerler artık özel kimyasaldan özel eşyaya hızla ilerleyen, olgun bir üründür. Son 30 yılda bebek bezi ve yetişkin inkontinans endüstrilerinde devrim yarattı ve artık her gün milyonlarca insan tarafından kullanılan bir malzeme haline geldi.
Evrim Ağacı'nda tek bir hedefimiz var: Bilimsel gerçekleri en doğru, tarafsız ve kolay anlaşılır şekilde Türkiye'ye ulaştırmak. Ancak tahmin edebileceğiniz gibi Türkiye'de bilim anlatmak hiç kolay bir iş değil; hele ki bir yandan ekonomik bir hayatta kalma mücadelesi verirken...
O nedenle sizin desteklerinize ihtiyacımız var. Eğer yazılarımızı okuyanların %1'i bize bütçesinin elverdiği kadar destek olmayı seçseydi, bir daha tek bir reklam göstermeden Evrim Ağacı'nın bütün bilim iletişimi faaliyetlerini sürdürebilirdik. Bir düşünün: sadece %1'i...
O %1'i inşa etmemize yardım eder misiniz? Evrim Ağacı Premium üyesi olarak, ekibimizin size ve Türkiye'ye bilimi daha etkili ve profesyonel bir şekilde ulaştırmamızı mümkün kılmış olacaksınız. Ayrıca size olan minnetimizin bir ifadesi olarak, çok sayıda ayrıcalığa erişim sağlayacaksınız.
Makalelerimizin bilimsel gerçekleri doğru bir şekilde yansıtması için en üst düzey çabayı gösteriyoruz. Gözünüze doğru gelmeyen bir şey varsa, mümkünse güvenilir kaynaklarınızla birlikte bize ulaşın!
Bu makalemizle ilgili merak ettiğin bir şey mi var? Buraya tıklayarak sorabilirsin.
Soru & Cevap Platformuna Git- 2
- 1
- 1
- 0
- 0
- 0
- 0
- 0
- 0
- 0
- 0
- 0
- Çeviri Kaynağı: Zefat Academic College | Arşiv Bağlantısı
- F. L. Buchholz, et al. (1997). Modern Superabsorbent Polymer Technology. ISBN: 978-0-471-19411-8. Yayınevi: Wiley-VCH.
Evrim Ağacı'na her ay sadece 1 kahve ısmarlayarak destek olmak ister misiniz?
Şu iki siteden birini kullanarak şimdi destek olabilirsiniz:
kreosus.com/evrimagaci | patreon.com/evrimagaci
Çıktı Bilgisi: Bu sayfa, Evrim Ağacı yazdırma aracı kullanılarak 09/10/2025 18:17:45 tarihinde oluşturulmuştur. Evrim Ağacı'ndaki içeriklerin tamamı, birden fazla editör tarafından, durmaksızın elden geçirilmekte, güncellenmekte ve geliştirilmektedir. Dolayısıyla bu çıktının alındığı tarihten sonra yapılan güncellemeleri görmek ve bu içeriğin en güncel halini okumak için lütfen şu adrese gidiniz: https://evrimagaci.org/s/11158
İçerik Kullanım İzinleri: Evrim Ağacı'ndaki yazılı içerikler orijinallerine hiçbir şekilde dokunulmadığı müddetçe izin alınmaksızın paylaşılabilir, kopyalanabilir, yapıştırılabilir, çoğaltılabilir, basılabilir, dağıtılabilir, yayılabilir, alıntılanabilir. Ancak bu içeriklerin hiçbiri izin alınmaksızın değiştirilemez ve değiştirilmiş halleri Evrim Ağacı'na aitmiş gibi sunulamaz. Benzer şekilde, içeriklerin hiçbiri, söz konusu içeriğin açıkça belirtilmiş yazarlarından ve Evrim Ağacı'ndan başkasına aitmiş gibi sunulamaz. Bu sayfa izin alınmaksızın düzenlenemez, Evrim Ağacı logosu, yazar/editör bilgileri ve içeriğin diğer kısımları izin alınmaksızın değiştirilemez veya kaldırılamaz.
This work is an exact translation of the article originally published in Zefat Academic College. Evrim Ağacı is a popular science organization which seeks to increase scientific awareness and knowledge in Turkey, and this translation is a part of those efforts. If you are the author/owner of this article and if you choose it to be taken down, please contact us and we will immediately remove your content. Thank you for your cooperation and understanding.