Miyopluk, Yüksek Bilişsel Faaliyetle İlişkili Olabilir mi?
 
            
          
    
    
  Bu haber 4 yıl öncesine aittir. Haber güncelliğini yitirmiş olabilir; ancak arşivsel değeri ve bilimsel gelişme/ilerleme anlamındaki önemi dolayısıyla yayında tutulmaktadır. Ayrıca konuyla ilgili gelişmeler yaşandıkça bu içerik de güncellenebilir.
Miyop hastalığı, son yıllarda görülme sıklığının daha da arttığı, potansiyel halk sağlığı sorunlarından biridir.[1], [2] Miyopi, göz küresinin normalden fazla uzaması ve buna bağlı olarak korneanın daha fazla ışığı kırması ile meydana gelir. Miyop hastalığı kalıtsal olabileceği gibi, çevresel faktörlerden de kaynaklanabilir. Şu anda Dünya nüfusunun %23'ünün miyop olduğu tahmin edilmektedir. Bu oranın 2050 yılına kadar iki katına çıkacağı öngörülmektedir.[3], [4] Ayrıca miyopi, özellikle de yüksek miyopi, katarakt, glokoma gibi ciddi rahatsızlıklara yol açabilir.[5]

Miyop hastalığı ile bilişsel faaliyetler arasındaki ilişki, son yıllarda bilim insanlarının dikkatini çekmektedir. Elbette ilk etapta göz kusurları ile bilişsel faaliyet arasında ne gibi bir ilişki bulunabileceği anlaşılamayabilir. Bilim insanlarını bu ilişkiyi araştırmaya iten nedenlerden biri, aslında halk arasında yaygın olarak görülen "Dereceli gözlük kullanan insanlar, ortalamadan daha zeki olabilir." şeklindeki görüşün temel nedenini anlamaktı. Gelin bu iddiayı test etmek için yapılan ve 1 milyondan fazla katılımcının dahil olduğu bir çalışmaya yakından bakalım.
Miyopi ve Bilişsel Faaliyetler Üzerine Bir Çalışma
Miyopi ve bilişsel faaliyetler arasındaki ilişkiyi inceleyen çalışmalar, bu iki değişken arasında pleyotropik bir ilişki ihtimali üzerinde durmaktadır. Pleyotropi, bir genin birden fazla özelliği aynı anda etkileyebilmesi demektir; dolayısıyla araştırmacılar, miyopiye sebep olan genlerin, aynı zamanda bilişsel faaliyetleri olumlu yönde pekiştirici etkisi olabileceğine yönelik tartışmalı bir görüş öne sürmektedirler. Öne sürülen bu tartışmalı iddialar, yapılan farklı çalışmalarca da sorgulanmaya devam etmektedir.
Miyopi genellikle çocukluk çağlarında görülmeye başlandığı için, araştırmalar da genellikle çocuk ve ergen odaklı ilerlemiştir.[6], [7] Tüm bu çalışmalara rağmen, yalnızca 1 makalede bilişsel faaliyet ile miyopi arasında anlamlı bir ilişkinin var olduğu bulgulanabilmiştir. Bu ikili arasındaki ilişkiyi inceleyen diğer çalışmalarda ise herhangi bir anlamlı bir ilişki gözlemlenememiştir.[8], [9]
Burada işleyeceğimiz çalışmanın amacı da, miyopi ile bilişsel faaliyet arasında gerçekten anlamlı bir ilişkinin olup olmadığı üzerinedir.
Çalışma Tasarımı
Çalışma, İsrail'de zorunlu askerlik görevinde bulunan; yaş ortalaması genellikle 17 olan katılımcıları kapsamaktadır. Nüfus temelli kesitsel bir çalışmayı içeren bu çalışma, 1993-2012 yılları arasında, askerlik sicil kaydında kayıtlı olan katılımcılardan oluşturmaktadır.
Çalışma 2020 yılında yayınlamış olsa da, katılımcılardan alınan veriler 1993-2012 yılları arasında toplanmıştır. Bunun nedeni, 2013'ten 2020'ye kadarki süreçte, nüfusta yaşanan değişimler sonucu yüksek miyopi oranına sahip Ortodoks Yahudi nüfusunun çoğunluk haline gelmesidir. Yani bir başka deyişle, 2013-2020 yılları arasındaki nüfus değişimlerinde Ortodoks Yahudi nüfusu, genel nüfusun %82'lik bir bölümünü oluşturacak duruma gelmiştir.[10]
Verileri derlenen toplam katılımcı sayısı 1.312.176 olsa da; askerlik görevinden muaf tutulan, çeşitli cerrahi müdahaleler geçirmiş, genel olarak genetik eğilimleri tam olarak tespit edilemeyen katılımcılar, bu çalışmanın dışında tutulmuştur. Çalışma dışı tutulan katılımcılardan sonra, geriye kalan örneklem büyüklüğü tam olarak 1.022.425 kişi olmuştur. Çalışma, İsrail Savunma Kuvvetleri Etik Komitesi tarafından da onaylanmıştır.
Katılımcılara Uygulanan Görme Testleri
Her bir katılımcının görme keskinliğinin belirlenebilmesi için, uzmanlar tarafından Snellen Çizelgesi ile görme testleri uygulandı. Yardım olmadan görme keskinliğine tabi tutulan katılımcıların her biri için gözün gelen ışığı kırma dereceleri ölçüldü. Pearson korelasyonu ile gerçekleştirilen çalışmada, katılımcıların miyopi olmaya yatkınlığı gibi ihtimaller de değerlendirildi.
Bilişsel Değerlendirme Testleri
Katılımcılar, bilişsel işlevlerinin değerlendirildiği bir dizi testten geçti. Bilişsel değerlendirme testleri 4 alt testten oluşuyordu. Bunlardan ikisi sözel zekayı; diğer ikisi ise sözel olmayan aritmetik zekayı değerlendiren testlerdi. Buraya değinmekte yarar görüyoruz: katılımcıların bilişsel testlerden geçtiği Cognitive Function Score (CFS), güvenilirliği bakımından Wechsler Yetişkin Zeka Ölçeği ile oldukça benzerdir. Dolayısıyla referans kabul edilen testler, uluslararası hakemli çalışmalarda yetkinliğini kanıtlamış aşamalardan oluşan testlerdir.[11]
Çalışmanın Sonuçları
Katılımcılar arasında genel miyopi görülme sıklığı; %19.9 hafif miyopi, %9.4 orta miyopi, %2.9 yüksek miyopi olmak üzere genel toplam oran %32.2 idi. Miyopi, kadınlarda erkeklere oranla daha fazla görüldü (%34.2'ye %30.6). (Evet, İsrail'de diğer bazı ülkelerde olduğu gibi kadınlar da mecburi askerlik görevini yerine getiriyorlar; ancak erkekler gibi 3 yıl değil 2 yıl hizmette bulunuyorlar.[12]) Miyopi görülme oranı, Etiyopya gibi sosyoekonomik durumu zayıf olan ülkelerden gelen katılımcılarda daha düşüktü.
Aslında maddi destek istememizin nedeni çok basit: Çünkü Evrim Ağacı, bizim tek mesleğimiz, tek gelir kaynağımız. Birçoklarının aksine bizler, sosyal medyada gördüğünüz makale ve videolarımızı hobi olarak, mesleğimizden arta kalan zamanlarda yapmıyoruz. Dolayısıyla bu işi sürdürebilmek için gelir elde etmemiz gerekiyor.
Bunda elbette ki hiçbir sakınca yok; kimin, ne şartlar altında yayın yapmayı seçtiği büyük oranda bir tercih meselesi. Ne var ki biz, eğer ana mesleklerimizi icra edecek olursak (yani kendi mesleğimiz doğrultusunda bir iş sahibi olursak) Evrim Ağacı'na zaman ayıramayacağımızı, ayakta tutamayacağımızı biliyoruz. Çünkü az sonra detaylarını vereceğimiz üzere, Evrim Ağacı sosyal medyada denk geldiğiniz makale ve videolardan çok daha büyük, kapsamlı ve aşırı zaman alan bir bilim platformu projesi. Bu nedenle bizler, meslek olarak Evrim Ağacı'nı seçtik.
Eğer hem Evrim Ağacı'ndan hayatımızı idame ettirecek, mesleklerimizi bırakmayı en azından kısmen meşrulaştıracak ve mantıklı kılacak kadar bir gelir kaynağı elde edemezsek, mecburen Evrim Ağacı'nı bırakıp, kendi mesleklerimize döneceğiz. Ama bunu istemiyoruz ve bu nedenle didiniyoruz.
19 yıllık verileri kapsayan bu çalışmada (1993-2012), 1993 yılından 2012'ye kadarki süreçte miyopi görülme oranı %26.9'dan %33'e yükselmişti. Tek değişkenli analiz sonuçları, sosyoekonomik durum, eğitim düzeyi, yaş, cinsiyet ve boy oranlarının, miyopi ile orantılı olduğunu gösterdi. Bilişsel yetenek ölçüm testlerinden olan CFS de, tek değişkenli regresyon analizinde miyopi ile tutarlılık gösterdi.
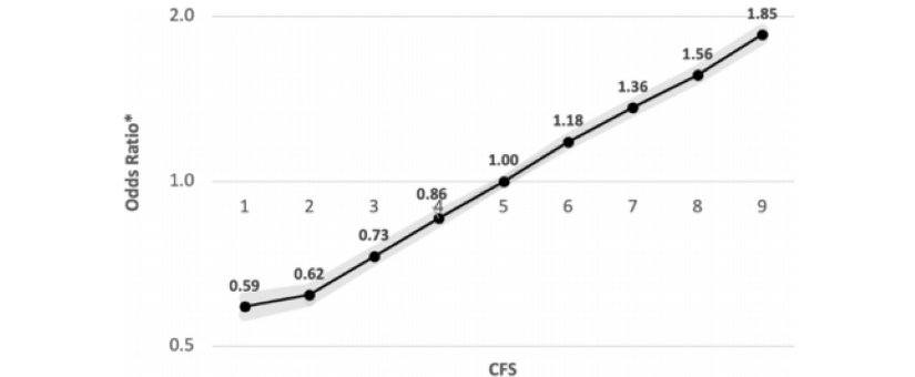
Çok değişkenli regresyon analiz sonuçları da CFS ölçümleri ile miyopi arasında anlamlı bir tutarlılık gösterdi. Bir başka deyişle, bilişsel yetiler ile miyopi arasında anlamlı bir ilişki bulgulandı. Öyle ki, miyopi görülme olasılığı, yüksek CFS skorlarına sahip katılımcılarda 1.85 kat iken; en düşük CFS skorlarında bu oran 0.59 olarak bulgulandı. Ayrıca ileri düzey CFS skorları ile orta düzey CFS skorları arasında da miyopi görülme sıklığı arasında anlamlı bir fark vardı. Tüm bunları aşağıdaki tabloda daha net görebiliriz.

Sonuç ve Dikkat Edilmesi Gerekenler
Çalışma, 19 yıllık bir araştırmayı kapsayan; 1.022.425 katılımcının tek tek genetik özelliklerinin de değerlendirmeye alınması bakımından oldukça dikkate değerdir. Sonuçların bu denli gözle görülür bir farkla ortaya çıkması da önemlidir.
Ancak araştırmacıların da hemfikir oldukları üzere; genel bilişsel yetiler (zeka) ile miyopi arasında doğrudan bir ilişkinin varlığı, daha çok irdelenmesi gereken bir olaydır. Çünkü miyopi gelişim sırasında oluşan hatalardan kaynaklanabileceği gibi, tür içi genetik varyasyonların düzeyi gibi herhangi bir faktörün de etkisiyle yayılmış olabilir. Bu yüzden konu, daha fazla araştırılmaya muhtaçtır. Daha da önemlisi bu araştırmanın bulguladığı sonuçlar, farklı çalışmalarda bulgulanamamıştır; dolayısıyla sonuçların evrenselliği tartışmalıdır.[13]
Çalışma korelasyon temelli bir araştırmayı baz alması dolayısıyla da sorgulanmaya açıktır. Çünkü korelasyon, nedensellik için yeterli değildir. Ancak elbette nedenselliğe giden yolda, korelasyonlar yol gösterici olmaktadır ve ne yazık ki miyopi ile bilişsel kapasite arasındaki nedenselliği gösterecek etik bir deney tasarlamak neredeyse imkansızdır. Dolayısıyla daha dikkatli incelemeler yapıp, aceleci genellemeden her zaman uzak durulmalıdır.
Evrim Ağacı'nda tek bir hedefimiz var: Bilimsel gerçekleri en doğru, tarafsız ve kolay anlaşılır şekilde Türkiye'ye ulaştırmak. Ancak tahmin edebileceğiniz gibi Türkiye'de bilim anlatmak hiç kolay bir iş değil; hele ki bir yandan ekonomik bir hayatta kalma mücadelesi verirken...
O nedenle sizin desteklerinize ihtiyacımız var. Eğer yazılarımızı okuyanların %1'i bize bütçesinin elverdiği kadar destek olmayı seçseydi, bir daha tek bir reklam göstermeden Evrim Ağacı'nın bütün bilim iletişimi faaliyetlerini sürdürebilirdik. Bir düşünün: sadece %1'i...
O %1'i inşa etmemize yardım eder misiniz? Evrim Ağacı Premium üyesi olarak, ekibimizin size ve Türkiye'ye bilimi daha etkili ve profesyonel bir şekilde ulaştırmamızı mümkün kılmış olacaksınız. Ayrıca size olan minnetimizin bir ifadesi olarak, çok sayıda ayrıcalığa erişim sağlayacaksınız.
Makalelerimizin bilimsel gerçekleri doğru bir şekilde yansıtması için en üst düzey çabayı gösteriyoruz. Gözünüze doğru gelmeyen bir şey varsa, mümkünse güvenilir kaynaklarınızla birlikte bize ulaşın!
Bu makalemizle ilgili merak ettiğin bir şey mi var? Buraya tıklayarak sorabilirsin.
Soru & Cevap Platformuna Git- 42
- 24
- 16
- 8
- 7
- 5
- 4
- 1
- 0
- 0
- 0
- 0
- Türev İçerik Kaynağı: BMC Public Health | Arşiv Bağlantısı
- ^ K. M. Williams, et al. (2015). Increasing Prevalence Of Myopia In Europe And The Impact Of Education. Ophthalmology, sf: 1489-1497. doi: 10.1016/j.ophtha.2015.03.018. | Arşiv Bağlantısı
- ^ I. G. Morgan, et al. (2018). The Epidemics Of Myopia: Aetiology And Prevention. Progress in Retinal and Eye Research, sf: 134-149. doi: 10.1016/j.preteyeres.2017.09.004. | Arşiv Bağlantısı
- ^ B. A. Holden, et al. (2016). Global Prevalence Of Myopia And High Myopia And Temporal Trends From 2000 Through 2050. Elsevier BV, sf: 1036-1042. doi: 10.1016/j.ophtha.2016.01.006. | Arşiv Bağlantısı
- ^ C. J. Chen, et al. (1985). Genetic And Environmental Effects On The Development Of Myopia In Chinese Twin Children. Ophthalmic paediatrics and genetics. | Arşiv Bağlantısı
- ^ S. Saw, et al. (2005). Myopia And Associated Pathological Complications. Ophthalmic and Physiological Optics, sf: 381-391. doi: 10.1111/j.1475-1313.2005.00298.x. | Arşiv Bağlantısı
- ^ S. J. Cohn, et al. (1988). Myopia And Intelligence:a Pleiotropic Relationship?. Human Genetics, sf: 53-58. doi: 10.1007/BF00451456. | Arşiv Bağlantısı
- ^ A. Verma, et al. (2015). A Novel Review Of The Evidence Linking Myopia And High Intelligence. Journal of Ophthalmology, sf: 1-8. doi: 10.1155/2015/271746. | Arşiv Bağlantısı
- ^ A. Mirshahi, et al. (2016). Myopia And Cognitive Performance: Results From The Gutenberg Health Study. Investigative Ophthalmology & Visual Science, sf: 5230-5236. doi: 10.1167/iovs.16-19507. | Arşiv Bağlantısı
- ^ M. C. Nadell, et al. (2006). The Relationship Between Intelligence And The Refractive State In A Selected High School Sample. Ovid Technologies (Wolters Kluwer Health), sf: 321-326. doi: 10.1097/00006324-195806000-00005. | Arşiv Bağlantısı
- ^ D. Bez, et al. (2019). Association Between Type Of Educational System And Prevalence And Severity Of Myopia Among Male Adolescents In Israel. JAMA Ophthalmology, sf: 887-893. doi: 10.1001/jamaophthalmol.2019.1415. | Arşiv Bağlantısı
- ^ J. Rabinowitz, et al. (2002). Cognitive And Behavioural Functioning In Men With Schizophrenia Both Before And Shortly After First Admission To Hospital. Royal College of Psychiatrists, sf: 26-32. doi: 10.1192/bjp.177.1.26. | Arşiv Bağlantısı
- ^ Wikipedia, et al. Women In The Israel Defense Forces. (18 Mart 2021). Alındığı Tarih: 18 Mart 2021. Alındığı Yer: Wikipedia | Arşiv Bağlantısı
- ^ M. J. Hirsch. (2006). The Relationship Between Refractive State Of The Eye And Intelligence Test Scores. Ovid Technologies (Wolters Kluwer Health), sf: 12-21. doi: 10.1097/00006324-195901000-00003. | Arşiv Bağlantısı
Evrim Ağacı'na her ay sadece 1 kahve ısmarlayarak destek olmak ister misiniz?
Şu iki siteden birini kullanarak şimdi destek olabilirsiniz:
kreosus.com/evrimagaci | patreon.com/evrimagaci
Çıktı Bilgisi: Bu sayfa, Evrim Ağacı yazdırma aracı kullanılarak 31/10/2025 11:38:24 tarihinde oluşturulmuştur. Evrim Ağacı'ndaki içeriklerin tamamı, birden fazla editör tarafından, durmaksızın elden geçirilmekte, güncellenmekte ve geliştirilmektedir. Dolayısıyla bu çıktının alındığı tarihten sonra yapılan güncellemeleri görmek ve bu içeriğin en güncel halini okumak için lütfen şu adrese gidiniz: https://evrimagaci.org/s/10270
İçerik Kullanım İzinleri: Evrim Ağacı'ndaki yazılı içerikler orijinallerine hiçbir şekilde dokunulmadığı müddetçe izin alınmaksızın paylaşılabilir, kopyalanabilir, yapıştırılabilir, çoğaltılabilir, basılabilir, dağıtılabilir, yayılabilir, alıntılanabilir. Ancak bu içeriklerin hiçbiri izin alınmaksızın değiştirilemez ve değiştirilmiş halleri Evrim Ağacı'na aitmiş gibi sunulamaz. Benzer şekilde, içeriklerin hiçbiri, söz konusu içeriğin açıkça belirtilmiş yazarlarından ve Evrim Ağacı'ndan başkasına aitmiş gibi sunulamaz. Bu sayfa izin alınmaksızın düzenlenemez, Evrim Ağacı logosu, yazar/editör bilgileri ve içeriğin diğer kısımları izin alınmaksızın değiştirilemez veya kaldırılamaz.
 
             
             
       
           
                 
                   
                   
                   
                   
                   
                   
                   
                   
                   
                   
                   
                  