Bu Makalede Neler Öğreneceksiniz?
- Ortalama değer teoremi, sürekli ve diferansiyellenebilir bir fonksiyonun kapalı [a,b] aralığında, fonksiyonun uç noktalarını birleştiren sekant doğrusuna paralel en az bir teğet doğrusu olduğunu garanti eder.
- Teorem, gerçek hayattan örnekle açıklanabilir; örneğin bir aracın ortalama hızına eşit hızda en az bir kez hareket ettiği bir an mutlaka vardır.
- Ortalama değer teoremi, sayısal analiz gibi alanlarda, belirli aralıkta istenen değerin varlığını garanti ederek uygulanan yöntemlerin doğruluğunu ve koşullarını belirlemede önemli bir araçtır.
Ortalama değer teoremi matematiksel olarak bir eğri üzerinde alınan bir aralıkta, fonksiyonun uç noktalarını birleştiren doğruya (sekant doğrusuna, kirişe) paralel, fonksiyonun en az bir teğet doğrusu (tanjant doğrusu) olduğunu ifade eder. Bu teorem, özellikle nümerik analiz gibi alanlarda, uygulanan metodun çalışması için gerekli koşulları belirtmede sıklıkla kullanılır.
Gündelik bir örnekle ortalama değer teoremini açıklamak daha kolaydır: Bir araçta olduğunuzu ve uzun bir yolculuğa çıktığınızı düşünün. Yolculuk boyunca aracınız hızlanacak ve yavaşlayacaktır. Dolayısıyla zaman içerisinde farklı hız değerlerinde olacaksınız. Fakat bir saatin sonunda eğer 50 kilometre yol aldıysanız ortalama değer teoremi, yolculuk sırasında en az bir kere saatte 50 kilometre hıza ulaşmış olduğunuzu söyler.
:sharpen(0.5,0.5,true)/old%2Fcontent_media%2Fe664e03cf668789ac11e73a1a39701a0.jpeg)
Figür 1, yukarıda verdiğimiz matematiksel ifadeyi bize görsel olarak açıklar. [a,b] aralığında bulunan bir eğri için ortalama türev, fonksiyonun uç noktalarını birleştiren doğrudur. Yani f(a) ve f(b) arasında çizdiğimiz doğru, ortalama bir değişimi ifade eder. Teoremin bize dediği şey ise bu eğrinin en az bir teğet doğrusunun (tanjantının), bu doğruya paralel olması gerektiğidir.
Burada matematiksel olarak teğet olan bu noktanın yatay eksendeki değeri c'nin (a,b) aralığına düşmesi gerektiğini görürüz. Bu da kullanacağımız teoremlerde belirlediğimiz bir aralık içerisinde istenen bir değerin, bu aralıkta kalmasını sağlayan koşulu bize sunmuş olur.
Burada fonksiyonun sürekli bir fonksiyon olması gerektiğine dikkat ediniz. Eğer belirli aralıkta fonksiyon sürekli değilse o aralıkta bu değere en az bir kere ulaşacağını garantileyemez.
Daha teknik bir ifadeyle ortalama değer teoremi, eğer f fonksiyonu [a,b] kapalı aralığında sürekli bir fonksiyonsa ve (a,b) açık aralığında diferansiyellenebiliyorsa; o halde (a,b) açık aralığında öyle bir c noktası vardır ki c noktasının tanjantı, (a, f(a)) ve (b, f(b)) noktalarının sekant doğrusuna paraleldir. Bunu biraz daha anlaşılır bir biçimde açıklamaya çalışalım.
Ortalama Değer Teoreminin Matematiksel İfadesi
Eğer f fonksiyonu [a,b] kapalı aralığında sürekli ve a<b olduğu (a,b) açık aralığında diferansiyellenebilir bir fonksiyonsa (a,b) açık aralığında aşağıdaki koşulu sağlayan bir c değeri bulunur.
:sharpen(0.5,0.5,true)/old%2Fcontent_media%2F24b9f1bb1b630c24911018e833ac7da1.png)
:sharpen(0.5,0.5,true)/old%2Fcontent_media%2Fc598ec3d85e9cbe143479fab99beea31.png)
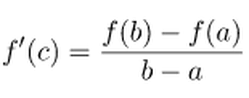
Burada eşitliğin sağındaki ifade, bizim sekant doğrumuzu ifade eder (doğrunun eğimini). f(b)-f(a) ifadesi dikey eksendeki değişim olan Δy'dir. b-a ifadesi ise yatay eksendeki değişim olan Δx'dir. Böylelikle, fonksiyonun uç noktalarını birleştiren doğru denklemini yazmış oluruz.
Teoremin bize söylediği şey, bu doğruya paralel, bu aralıkta tanımlı en az bir tane teğet (tanjant) doğrusu olması gerektiğidir. Bir fonksiyonun o noktasındaki teğet doğrusunun eğimi, o noktasındaki türevi olarak tanımlandığına göre, (a,b) aralığında bulunan bu c noktası için üstteki eşitlik sağlanır (f'(x) değeri (x,f(x)) noktasındaki teğetin eğimini verir).
Ek Bilgiler
Ortalama değer teoremi, verilen aralıkta, kiriş doğrusuna paralel en az bir tane teğet doğrusu olması gerektiğini söyler fakat bunun kaç tane olduğu ile ilgili bir şey ifade etmez. Eğer eğrimiz, kiriş doğrusunun kendisi ise bu durumda kiriş üzerindeki her nokta istenilen özelliğe sahiptir. Aynı zamanda ortalama değer teoremi, varlığını ima ettiği c noktasının nasıl bulunduğu hakkında da bir bilgi vermez. Basit fonksiyonlarda c kolaylıkla hesaplanabilir görünür fakat pratik değildir.
Bu yüzden ortalama değer teoremi, tek başına pek fazla anlam ifade etmez. Fakat kullanacağınız teoremde, gerekli koşulların betimlenmesi için çok iyi bir araç sunar. Bu yüzden min-max teoremi (extreme value theorem) ve ara değer teoremi (intermediate value theorem) gibi varlık teoremleri sınıfının bir üyesidir.
Evrim Ağacı'nın çalışmalarına Kreosus, Patreon veya YouTube üzerinden maddi destekte bulunarak hem Türkiye'de bilim anlatıcılığının gelişmesine katkı sağlayabilirsiniz, hem de site ve uygulamamızı reklamsız olarak deneyimleyebilirsiniz. Reklamsız deneyim, sitemizin/uygulamamızın çeşitli kısımlarda gösterilen Google reklamlarını ve destek çağrılarını görmediğiniz, %100 reklamsız ve çok daha temiz bir site deneyimi sunmaktadır.
KreosusKreosus'ta her 50₺'lik destek, 1 aylık reklamsız deneyime karşılık geliyor. Bu sayede, tek seferlik destekçilerimiz de, aylık destekçilerimiz de toplam destekleriyle doğru orantılı bir süre boyunca reklamsız deneyim elde edebiliyorlar.
Kreosus destekçilerimizin reklamsız deneyimi, destek olmaya başladıkları anda devreye girmektedir ve ek bir işleme gerek yoktur.
PatreonPatreon destekçilerimiz, destek miktarından bağımsız olarak, Evrim Ağacı'na destek oldukları süre boyunca reklamsız deneyime erişmeyi sürdürebiliyorlar.
Patreon destekçilerimizin Patreon ile ilişkili e-posta hesapları, Evrim Ağacı'ndaki üyelik e-postaları ile birebir aynı olmalıdır. Patreon destekçilerimizin reklamsız deneyiminin devreye girmesi 24 saat alabilmektedir.
YouTubeYouTube destekçilerimizin hepsi otomatik olarak reklamsız deneyime şimdilik erişemiyorlar ve şu anda, YouTube üzerinden her destek seviyesine reklamsız deneyim ayrıcalığını sunamamaktayız. YouTube Destek Sistemi üzerinde sunulan farklı seviyelerin açıklamalarını okuyarak, hangi ayrıcalıklara erişebileceğinizi öğrenebilirsiniz.
Eğer seçtiğiniz seviye reklamsız deneyim ayrıcalığı sunuyorsa, destek olduktan sonra YouTube tarafından gösterilecek olan bağlantıdaki formu doldurarak reklamsız deneyime erişebilirsiniz. YouTube destekçilerimizin reklamsız deneyiminin devreye girmesi, formu doldurduktan sonra 24-72 saat alabilmektedir.
Diğer PlatformlarBu 3 platform haricinde destek olan destekçilerimize ne yazık ki reklamsız deneyim ayrıcalığını sunamamaktayız. Destekleriniz sayesinde sistemlerimizi geliştirmeyi sürdürüyoruz ve umuyoruz bu ayrıcalıkları zamanla genişletebileceğiz.
Giriş yapmayı unutmayın!Reklamsız deneyim için, maddi desteğiniz ile ilişkilendirilmiş olan Evrim Ağacı hesabınıza üye girişi yapmanız gerekmektedir. Giriş yapmadığınız takdirde reklamları görmeye devam edeceksinizdir.
Özellikle sayısal analiz (nümerik analiz) ile ilgili ders alanlar bu teoremle sık karşılaşırlar. Çünkü sayısal analizde belirli bir aralıkta sayısal değeri tespit etmeye çalışırken o aralıkta ilgili bir değerin bulunacağını bilmek önemlidir.
Evrim Ağacı'nda tek bir hedefimiz var: Bilimsel gerçekleri en doğru, tarafsız ve kolay anlaşılır şekilde Türkiye'ye ulaştırmak. Ancak tahmin edebileceğiniz gibi Türkiye'de bilim anlatmak hiç kolay bir iş değil; hele ki bir yandan ekonomik bir hayatta kalma mücadelesi verirken...
O nedenle sizin desteklerinize ihtiyacımız var. Eğer yazılarımızı okuyanların %1'i bize bütçesinin elverdiği kadar destek olmayı seçseydi, bir daha tek bir reklam göstermeden Evrim Ağacı'nın bütün bilim iletişimi faaliyetlerini sürdürebilirdik. Bir düşünün: sadece %1'i...
O %1'i inşa etmemize yardım eder misiniz? Evrim Ağacı Premium üyesi olarak, ekibimizin size ve Türkiye'ye bilimi daha etkili ve profesyonel bir şekilde ulaştırmamızı mümkün kılmış olacaksınız. Ayrıca size olan minnetimizin bir ifadesi olarak, çok sayıda ayrıcalığa erişim sağlayacaksınız.
Makalelerimizin bilimsel gerçekleri doğru bir şekilde yansıtması için en üst düzey çabayı gösteriyoruz. Gözünüze doğru gelmeyen bir şey varsa, mümkünse güvenilir kaynaklarınızla birlikte bize ulaşın!
Bu makalemizle ilgili merak ettiğin bir şey mi var? Buraya tıklayarak sorabilirsin.
Soru & Cevap Platformuna Git- 6
- 4
- 3
- 0
- 0
- 0
- 0
- 0
- 0
- 0
- 0
- 0
- Mathworld Wolfram. Mean-Value Theorem. Alındığı Tarih: 4 Ağustos 2023. Alındığı Yer: Mathworld Wolfram | Arşiv Bağlantısı
- R. A. Adams. (2017). Calculus: A Complete Course. ISBN: 9780134154367. Yayınevi: Pearson Education Australia. sf: 136-138.
- T. Öziş. (Ders Notu). Ege Üniversitesi Matematik Bölümü Nümerik Analiz Ders Notları.
Evrim Ağacı'na her ay sadece 1 kahve ısmarlayarak destek olmak ister misiniz?
Şu iki siteden birini kullanarak şimdi destek olabilirsiniz:
kreosus.com/evrimagaci | patreon.com/evrimagaci
Çıktı Bilgisi: Bu sayfa, Evrim Ağacı yazdırma aracı kullanılarak 31/01/2026 10:09:55 tarihinde oluşturulmuştur. Evrim Ağacı'ndaki içeriklerin tamamı, birden fazla editör tarafından, durmaksızın elden geçirilmekte, güncellenmekte ve geliştirilmektedir. Dolayısıyla bu çıktının alındığı tarihten sonra yapılan güncellemeleri görmek ve bu içeriğin en güncel halini okumak için lütfen şu adrese gidiniz: https://evrimagaci.org/s/12913
İçerik Kullanım İzinleri: Evrim Ağacı'ndaki yazılı içerikler orijinallerine hiçbir şekilde dokunulmadığı müddetçe izin alınmaksızın paylaşılabilir, kopyalanabilir, yapıştırılabilir, çoğaltılabilir, basılabilir, dağıtılabilir, yayılabilir, alıntılanabilir. Ancak bu içeriklerin hiçbiri izin alınmaksızın değiştirilemez ve değiştirilmiş halleri Evrim Ağacı'na aitmiş gibi sunulamaz. Benzer şekilde, içeriklerin hiçbiri, söz konusu içeriğin açıkça belirtilmiş yazarlarından ve Evrim Ağacı'ndan başkasına aitmiş gibi sunulamaz. Bu sayfa izin alınmaksızın düzenlenemez, Evrim Ağacı logosu, yazar/editör bilgileri ve içeriğin diğer kısımları izin alınmaksızın değiştirilemez veya kaldırılamaz.