İnsan İş Gücünün Artı-Değer Üretme Yeteneğinin Biyolojik Kökeni Üzerine

Bu Makalede Neler Öğreneceksiniz?
- Define human labor as a praxis involving both mental and physical components, influenced by encephalization quotient (EQ) and body characteristics like bipedalism.
- Explain surplus value generation through human labor, where average individuals produce energy exceeding their own needs, supporting multiple community members.
- Attribute increases in labor efficiency and energy production capacity to mental evolution, innovation ability, and brain development of Homo sapiens.
İnsanın iş faaliyeti “insan emeği” olur. İnsan emeği aslında zihinsel ve bedensel ikili bir faaliyettir, bir praksistir. Zihinsel bileşenini belirleyen ensefalizasyon katsayısıdır (EQ). Bedensel kısmını belirleyen ise BMR ile ölçebileceğimiz ve yaklaşık 3.5 milyon yıllık bir süreçte oluşan iki ayaklılığı, ellerini kullanışı ile tipik olan insan vücududur. Topluluk olarak yaşayan Homo Sapiens’in yaşamını sürdürebilmesi için gerekli besin bulma aktivitesi, beyinleşme oranının yükselmesi ile enerji üretim kapasitesi güvenlik aralığını genişleterek, topluluğun yaşamını dolayısıyla da bireyin yaşamını güvence altına almaktadır. İnsan emeği bir praksis olarak, zekâsıyla enerji tüketerek kullanım değerleri/metalar üretir. Üretim sürecinde objeye eklenen bir “değer”dir. Zihinsel bileşeni ile insanın iş faaliyeti, “insan emeği” değer yaratan bir öze sahiptir. Üretim sürecindeki birey hem kendisini yenilemek için gerekli değeri hem de iş faaliyetinin sonucunda bu değerden fazlasını ürettiği objeye ekler. Dunbar sayısı ve enerji üretim kapasitesi güvenlik aralığı arasında kurulabilecek bağıntı bize insan emeğinin çok önemli bir yönünü kavramımızı sağlamaktadır. Bu insan emeğinin en önemli özelliği olan “artı-değer” kavramıdır. Çağdaş insanda ortalama bir bireyin iş faaliyetinde üretebileceği enerji topluluktaki 2-3 kişinin enerji gereksinimini karşılayabilecek hale gelebilmektedir. İnsan emeği sadece toplumsal olarak kendisinin yaşamını sürdürmek için gerekli olanı üretmemektedir. Enerji üretim kapasitesi güvenlik aralığı nedeniyle belirli bir oranda fazlasını üretmektedir. Dolayısıyla bir bireyin iş faaliyeti değer olarak kendisine gerekli olandan fazlasını üretme yeteneğini içermektedir.
İnsan emeğinin verimliliğindeki artıştan, enerji üretim kapasitesi güvenlik aralığının genişlemesinden sorumlu olan bedensel değişimi ve daha belirleyici olarak ta zihinsel öğenin geçirdiği değişimdir. Homo Sapiens ile en yüksek EQ oranına ulaşan insan, insan emeğinin verimliliğini halen arttırmaya devam etmektedir. Bu insanın inovasyon, (yaratıcılık) yeteneği ile bağıntılıdır. İnsan emeğinin enerji üretim kapasitesi güvenlik aralığının, insanın inovasyon yeteneği ile genişlemiş olması beklenir. İnsan emeğinin enerji üretim kapasitesi üzerinde sadece enselalizasyon katsayısı değil, inovasyon yeteneğinin de bir katkıda bulunması gerekir. Bu inovasyon katsayısı niteliksel olarak iş faaliyetinin değeri üzerinde de etkilidir.
İnsanın yaşamını sürdürebilmesi için gerekli iş faaliyetlerinden yola çıktığımızda bu faaliyetin bir praksis olduğunu ve dolayısıyla zihinsel bir bileşeni bulunduğunu anlıyoruz. İnsanın beyinleşme katsayısı ve inovasyon yetisi ile bu faaliyetin, insan emeğinin kendisini yenilemek için gerekenden fazlasını üretebilecek bir güvenlik faktörü taşıdığını söyleyebiliriz.
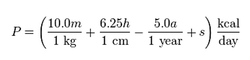
Bu durumda insan emeğinin ürettiği enerji (E) (Joule veya kalori olarak) bir fonksiyon ile [E=En×log(k×t),k⩾1E=En\times{log(k\times{t})}, k\geqslant1, t: saniye, En: Ensefalizasyon katsayısı, k: inovasyon katsayısı] ifade edilebilir. Hesaplanan bu değer bireyin basal metabolizması ve kendini yenilemesi/sürdürebilmesi için gerekli olan değerden fazladır.
Giriş
Bu denemenin amacı insan emeğinin kendisini yeniden üretebilmesi için gerekli olandan daha fazlasını üretebilme yeteneğinin kökeni ile ilgili düşünmek ve bu düşünceler ışığında bir hipotez oluşturmaktır.
Yukarıdaki sorunun aynı zamanda "İnsan işgücü ile yaşamını sürdürmek için gerekli olandan daha fazlasını ne zaman üretti?" sorusunu içerdiğinin farkındayız. Ayrıca bu sorularda doğru ve yerli yerinde kullanılmaz ise problem olmaya çok yatkın kavramlar bulunduğunun da farkındayız. Örneğin “insan emeği”, “insan iş gücü”, “üretmek” ve “değer” kavramları böylece ele alınmalıdır. Ancak soru içinde bir başka soruyu zaten barındırmaktadır “insanın kendisini üretebilmesi için gerekli olandan daha fazlası olan” ne olarak tanımlanmaktadır? Ayrıca insanı ne zaman “iş gücü” olarak tanımlayabiliriz? “İnsan ne zaman üretti?” sorusu da, sorunun içindeki sorulardan ilk akla gelenler olmaktadır.
Bu denemenin nedeni, işte bu kadar doğurgan sosyal bilimlerin bir sorusu üzerinde düşünmeye ve onu evirip çevirmeye doğa bilimleriyle uğraşanların cesaret etme hatasına düşmesidir denilebilir. Ancak yazarların bu cesareti nereden alındığı sorusunun yanıtı ise birincil olarak yazarların şimdiye kadar aklına takılan soruların neredeyse tümünün kendi boylarını aştığını fark ettiği yaşa gelmiş olmaları ile ikincil olarak onları cüretkârlaştıran klasikleşmiş eserlerin yazarlarıdır. Bu onları okuyucu gözünde affettirir mi bilemeyiz; ancak yine de Erwin Schrödinger’in “Yaşam Nedir?” adlı kitabındaki şu başlangıç sözlerini tüm insanları yüreklendirmesindeki başarısı nedeniyle aktararak denememize başlamak istiyoruz:
Bilim adamlarının kimi konuların bilgisine, kaynağından, baştan sona ve tamamıyla sahip olduğu ve bu nedenle, ustası olmadığı bir konuda çoğunlukla yazmamasının beklendiği sanılmıştır. Bu bir noblesse oblie (soyluluk borcu) sorunu kabul edilmiştir. Bugünkü amaç için soyluluktan vazgeçmek ve eğer varsa, minnet borcundan kurtulmuş olmak istiyorum. (Schrödinger E, 1999).
Nobel ödüllü bir fizikçinin böyle başlayan ve ardından “mazeretlerini” sıralayan, hepimize bir ders niteliğindeki yaklaşımı onaylamayan çok azdır sanırım. İtiraf etmeliyiz ki, bizim bu “kendi kendimi budalalaştırma riskini” göze almamızın bir mazereti yoktur ve sadece aklımıza düştüğü günden beri peşimizi bırakmayan bu soruyla ilgili düşüncelerimizi yazmak bizi bu karşı koyamadığımız kovalamaca dan özgürleştirebileceğine olan inancımız belki bizi bağışlatabilir.
Praksis Olarak İnsanın Üretim Süreci
İnek/koyun gibi hayvanların süt üretimi zihinsel bir süreç değildir. Yani örneğin hayvanın “anne sütünü” çocuğunu beslemesi için kullanması zihinsel bir süreç değildir. Aynı şey insan içinde –insan anne sütü içinde- geçerlidir (Anne sütü bankası veya anne sütünden dondurma yapıp satmayı düşünen ve gerçekleştiren insanın bu eyleminin karşıtı olarak). Ancak insanın “hayvan sütünü” çocuğunu veya kendisini beslemesi için kullanması zihinsel/düşünsel bir süreçtir/eylemdir, yani Paul Freire’in deyimi ile “praksis”dir. İnsan olarak bizler salt etkinlik varlığı olan hayvanlardan temel olarak iş süreçlerinde ayrılırız.
Hayvanlar dünyayı değerlendiremezler; dünyanın içine gömülüdürler. Onun aksine insanlar, dünyanın içinden doğrularak yüzeye çıkar, dünyayı nesnelleştirir, böylelikle onu anlayabilir, onu dönüştürebilirler. (Freire P, 1991)
İnsanın çalışmasının temel nedeni günlük yaşamsal gereksinimlerini karşılamaktır. Beslenme amaçlı faaliyetler tüm hayvanların olduğu gibi insanında var oluş sorunudur. Yaşamını sürdürebilmek için insanın beslenme gereksiniminin temel etkilerini termodinamiğin yasalarıyla açıklayabiliriz. Var olan bir düzenin, organizasyonun sürdürülebilmesi enerji gerektirir. Düzen karmaşıklaştıkça da düzenliliğin sürdürülebilmesi için gereken enerji miktarı artar. Doğa ve yaşam ise düzensizliğe doğru gitme eğilimi gösterir (Schrödinger E, 1999).
Düzensizlik sürekli arttığı için, entropiyi düşürme amacıyla, enerjiyi düşük entropi biçiminde (gıda, oksijen) alırız ve yüksek entropi biçiminde (ısı, karbondioksit) harcarız. Kendimizi canlı tutabilmek için entropi içeriğimizi düşük tutmamız gerekir. Yüksek entropi biçiminde çıkan enerjiyi atarız. Entropinin bedenimizde artmasına izin vermeyerek düzenimizi sürdürürüz. (Şenel, 2012).
Canlıların yaşamlarını sürdürmeleri için “beslenme” faaliyetlerinin sistemin bütünlüğü ve sürdürülebilmesi açısından aynı özelliği gösterdiğini söyleyebiliriz. Ancak özellikle hayvanların yaşamlarını sürdürmeye yönelik faaliyetleri ile insanların yaşamını sürdürmeye yönelik “çalışması”, faaliyetleri arasında fark yok mudur? Bu açıdan bilebildiğimiz en önemli fark insanın yaşamını sürdürmeye yönelik faaliyetlerinde “alet” kullanabilmesidir. Çeşitli hayvanlar zaman zaman basit araç ve gereci kullanabilmekte ve fiziksel kapasitelerini genişletebilmektedirler. Ancak insan yaygın olarak basitten karmaşığa alet kullanabilmekte, alet üretebilmekte ve bunu kendilerinden sonra gelenlere aktarabilmektedirler. Bu açıdan diğer hayvanların yapabildikleriyle arada gerek niceliksel gerekse de niteliksel büyük ve belirgin farklılıklar bulunmaktadır (Johnson-Frey SC, 2004). İnsanın geliştirdiği aletler diğer hayvanların kullandığı sopa, yaprak vb. basit araçlara göre insanın bedeninin fiziksel özelliklerini, çevresindeki nesnelerin özelliklerini ve faaliyetin gereksinimlerini kavramada derin bir kavrayış ve algılama yetisini geliştirdiğini göstermektedir (Povinelli DJ 2000). Geliştirilen aletlerin, araç gerecin ve bu araçları kullanım bilgilerini nesilden nesle aktarabilen tek türün H.sapiens olduğunu söyleyebiliriz (Tomasello M, 1999). İnsanın alet kullanabilmesi ve alet kullanımıyla ilgili aktarabilecek bir bilgisi olması özelliğinin insan beyninin özelleşmiş belirli bölgelerinin eseri olduğunu nörolojik hastalıklardan öğrenmekteyiz. Çeşitli lezyonlara bağlı olarak gelişen bilişsel hastalıklardan birisi “apraksi”dir (Campbell WW, 2008). Hastanın herhangi bir güç kaybı olmamasına rağmen daha önceden kullanabildiği aletleri, araç ve gereci kullanamaması, kullanım bilgisini aktaramaması, yanlış kullanmasıdır. Çok özel nörolojik hastalık tablosu olarak gözlenen bu durumda hastanın herhangi bir güçsüzlüğü, duysal kaybı olmamasına rağmen motor beceri (Yunanca praxis, “edim”) yerine getirilemez. Apraksinin farklı özelliklere sahip alt grupları bulunmaktadır. İdeomotor (motor) aprakside hasta karmaşık bir komutu (selamlamak, el sallamak, parmak şıklatma vb. hareketleri) etkilenen ekstremite veya her iki ekstremite de gerçekleştiremez. Hasta araç ve gereçlerin (çekiç, tornavida, anahtar, kerpeten, kazma, kürek, bıçak vb.) nasıl kullanılacağını hareketlerle gösteremez. Adeta aletlerin nasıl kullanıldığı bilgisini kaybetmiştir. Kimi hastalar ancak taklit olarak aletin nasıl kullanıldığını gösterebilir. Beyindeki bir lezyonun motor hareketle ilgili komutu kavrayan dilsel ve görsel beyin bölgeleri ile hareketi yerine getirecek motor merkezler arasındaki özel bağlantı yollarını veya merkezleri etkilemesi ile klinik tablonun ortaya çıktığı düşünülmektedir (Heilman KM ve Rothi LJG 2003).
Evrim Ağacı'nın çalışmalarına Kreosus, Patreon veya YouTube üzerinden maddi destekte bulunarak hem Türkiye'de bilim anlatıcılığının gelişmesine katkı sağlayabilirsiniz, hem de site ve uygulamamızı reklamsız olarak deneyimleyebilirsiniz. Reklamsız deneyim, sitemizin/uygulamamızın çeşitli kısımlarda gösterilen Google reklamlarını ve destek çağrılarını görmediğiniz, %100 reklamsız ve çok daha temiz bir site deneyimi sunmaktadır.
KreosusKreosus'ta her 50₺'lik destek, 1 aylık reklamsız deneyime karşılık geliyor. Bu sayede, tek seferlik destekçilerimiz de, aylık destekçilerimiz de toplam destekleriyle doğru orantılı bir süre boyunca reklamsız deneyim elde edebiliyorlar.
Kreosus destekçilerimizin reklamsız deneyimi, destek olmaya başladıkları anda devreye girmektedir ve ek bir işleme gerek yoktur.
PatreonPatreon destekçilerimiz, destek miktarından bağımsız olarak, Evrim Ağacı'na destek oldukları süre boyunca reklamsız deneyime erişmeyi sürdürebiliyorlar.
Patreon destekçilerimizin Patreon ile ilişkili e-posta hesapları, Evrim Ağacı'ndaki üyelik e-postaları ile birebir aynı olmalıdır. Patreon destekçilerimizin reklamsız deneyiminin devreye girmesi 24 saat alabilmektedir.
YouTubeYouTube destekçilerimizin hepsi otomatik olarak reklamsız deneyime şimdilik erişemiyorlar ve şu anda, YouTube üzerinden her destek seviyesine reklamsız deneyim ayrıcalığını sunamamaktayız. YouTube Destek Sistemi üzerinde sunulan farklı seviyelerin açıklamalarını okuyarak, hangi ayrıcalıklara erişebileceğinizi öğrenebilirsiniz.
Eğer seçtiğiniz seviye reklamsız deneyim ayrıcalığı sunuyorsa, destek olduktan sonra YouTube tarafından gösterilecek olan bağlantıdaki formu doldurarak reklamsız deneyime erişebilirsiniz. YouTube destekçilerimizin reklamsız deneyiminin devreye girmesi, formu doldurduktan sonra 24-72 saat alabilmektedir.
Diğer PlatformlarBu 3 platform haricinde destek olan destekçilerimize ne yazık ki reklamsız deneyim ayrıcalığını sunamamaktayız. Destekleriniz sayesinde sistemlerimizi geliştirmeyi sürdürüyoruz ve umuyoruz bu ayrıcalıkları zamanla genişletebileceğiz.
Giriş yapmayı unutmayın!Reklamsız deneyim için, maddi desteğiniz ile ilişkilendirilmiş olan Evrim Ağacı hesabınıza üye girişi yapmanız gerekmektedir. Giriş yapmadığınız takdirde reklamları görmeye devam edeceksinizdir.
İdeasyonel (kavramsal) aprakside ise hasta karmaşık motor becerileri (edimi) ayrı ayrı bileşenleriyle gerçekleştirebilir iken tüm bağıntılı süreci gerçekleştiremez. Örneğin arabayı kullanması istendiğinde arabanın kontak anahtarını çevirmeden direksiyona geçip arabayı sürmeye çalışır. Bir yazının nasıl postalanacağı sorusuna yazıyı zarfa koymadan zarfı kapatıp göndermeye kalkabilir. Sol posterior temporapariyetal bölge ve bağlantılarındaki hasarlanmalarda ortaya çıkan bir bulgudur (Heilman KM ve Rothi LJG 2003).
Bu temel iki grup apraksi ile birlikte Liepmann tarafından tanımlanan limb-kinetik, apraksi de bulunmaktadır. Ayrıca 1920'lerdeki Liepmann’ın tanımları dışında disosiasyon, kondüksiyon ve konseptüel apraksilerde tanımlanmıştır (Campbell WW, 2008). Burada diğer giyinme, konstrüksiyonel, bukkofasial apraksi olarak tanımlanan özel alt formlarından bahsetmek zorunlu olarak konunun dışında tutulmuştur. Ancak öğrenilmiş motor becerilerin gerçekleştirilmesi, alet ve araç gereç kullanma ile ilgili beynimizde özelleşmiş yapı ve yolların bağıntıların olduğunu güvenle söyleyebiliriz. Temel beyin yapıları olarak “alet kullanma” bilgi ve becerisini (praksi yeteneği), aletin işlevinin soyutlanmış bilgisi ile ilgili beyin/korteks bölümleri ve bu soyut bilginin motor becerimiz ile bağıntılı beceriye dönüştüren beyin/korteks bölümleri, bağlantı yolları olarak iki grupta incelenebileceğini söyleyebiliriz. Bunlara karşılık gelen alanlar supramarginal gyrus ve inferior parietal lobdaki heteromodal asosiasyon alanları ile motor işlevlerimizin temel yapılarından olan suplemantary motor alanlar olduğu bilinmektedir (Şekil 1).
İnsanı diğer hayvanlardan ayrılan temel özelliklerinden birisinin “praksi” yeteneği olmasının insan beyninin gelişimi ile doğrudan bağıntılı bir özellik olduğunun kanıtı “apraksi” hastalarıdır. Hastaların beyninde “hareket tasarımları” (movement representations) kaybolmuş veya bozulmuştur. Praksikon (praxicons) olarak tanımlanan bu hareket sembol veya tasarımları beynin inferior parietal lobunda (angular gyrus) depolanmış olup, amaca yönelik hareketler için motor planın buradan okunup aktarıldığı düşünülmektedir (Heilman KM ve Rothi LJG 2003). Bu praksi modeli Şekil 1'de şematize edilmiştir (Jacobs DH et al. 1999).

“Apraksik” bir birey ne bir araç kullanabilir, fabrikada işçilik yapabilir, ne de tarlada veya çiftlikte çalışma faaliyetlerinde bulunabilir. Dolayısıyla işe yönelik faaliyetlerimizin, üretim süreciyle ilgili faaliyetlerimizin bir praksi olduğu, gerek zihinsel gerekse de eylemsel bir yön içerdiği her zaman temel nokta olarak ele alınmalıdır. Konunun bu şekilde kavranılması başlangıçtaki soruyu henüz çözmüş olmaktadır. Çünkü bir ölçüde “praksi” yeteneğimizin, “insan emeğinin kendisini yeniden üretebilmesi için gerekli olandan daha fazlasını üretebilmesini” nasıl sağladığı sorusunun yanıtını aramaktayız. Sorunun yanıtını ararken yeniden yaşamımızı sürdürebilmek için gerekli beslenmeye yönelik iş aktivitesinin özelliklerine dönmemiz gerekecektir.
Biyolojideki “Güvenlik Aralığı” Kavramı ve Enerji Gereksinimimiz
Beslenme sürecinde elde ettiğimiz enerji ile o enerjiyi tüketme sürecimiz arasında bir ilişki olması gerekir. Organizmamızın gereksindiği enerji yükü ile organizmanın tüketme kapasitesi arasındaki ilişkiyi güvenlik aralığı/faktörü kavramıyla anlayabiliriz.
Biyolojik sistemlerde fonksiyonel değişim bölgelerindeki önemli kavramlardan birisi güvenlik aralığı (güvenlik faktörü (safety factor) veya benzer bir anlamda güvenlik oranı) kavramıdır. Bir fonksiyonel değişimin gerçekleşmesi için gerekli niceliksel alt sınır ile niceliksel değişimin olabileceği üst sınır arasındaki orana güvenlik oranı veya güvenlik faktörü denilir. Aslında bu terim endüstriyel mühendislik kökenlidir ve bir sistemin yapısal kapasitesi ile anlık uygulanan yükün oranını tanımlar ve belirli bir tasarımın güvenilirliğinin ölçüsü olarak kullanılır (Diamond J, 2002).
Biyolojik sistemlerde bunun örnekleri çok sayıda ve oldukça çarpıcıdır. Örneğin motor son plak denilen sinir aksiyon potansiyelinin kas aksiyon potansiyeline dönüştürüldüğü özelleşmiş sinapslarda presinaptik taraftan salınan asetil kolin molekülleri postsinaptik tarafta oluşacak membran potansiyel değişiminin (depolarizasyonun) belirleyicileridir. Postsinaptik tarafta yani kasta aksiyon potansiyelinin oluşması açısından kas lifi membran potansiyelini eşik değere yükseltecek asetil kolin miktarı belirlidir. Presinaptik taraftan en azından bu belirli nicelikte asetil kolinin salınıp postsinaptik membrana ulaşması gereklidir. İşte güvenlik faktörü bu aşamada ortaya çıkmaktadır. Postsinaptik membranda aksiyon potansiyelinin oluşumu açısından gerekli olan yaklaşık 60.000 asetil kolin miktarından yaklaşık on kat fazla asetil kolin (600.000 asetil kolin molekülüne ulaşabilen) presinaptik membrandan salınmakta ve post sinapitk membrandaki hep veya hiç kanununa göre oluşacak uyarım farklı fizyolojik koşullar içinde garantiye alınmış olmaktadır. Motor son plak için insanda güvenlik faktörünün yaklaşık 10 olduğunu söyleyebiliriz (Sircar S, 2008).
Diğer bir örnek aksonal iletimin fizyolojisindeki belirleyici güvenlik faktörüdür. Aksonun nod olarak tanımlanan miyelin kılıfını oluşturan Schwan hücreleri arasındaki özelleşmiş bölgelerde aksonal membranın depolarizasyonu için gerekli eşik miktar 15 mV’luk bir depolarizasyondur. Bu membranı istirahat membran potansiyeli olan -70 mV’tan eşik değer olan -55 mV’a yükseltir. Eşik değere ulaşıldığında aksiyon potansiyeli oluşacak ve diğer noda aktarılarak aksonal iletim gerçekleşecektir. Nodda eşik değere ulaştıracak kapasitatif akımın gücü eşiğe getirmek için gerekli akım şiddetinden 2-3 kez yüksektir. Yani güvenlik faktörü 1'den büyüktür (Guyton AC, 2005).
Bazı biyolojik yapılarda hesaplanan güvenlik faktörleri ise insan pankreasının enzim salgılaması için 10, insan böbreğinde filtrasyon için 4.8, insan ince bağırsağında absorbsiyon için güvenlik faktörü 2’dir. Diğer canlılar ve farklı fonksiyonlar için güvenlik faktörüne bakıldığında 1.2 ile 10 arasında değiştiği saptanmıştır (Diamond J 1995). Bu oran mühendislik sistemleri için de geçerlidir. Farklı organ ve yapılarımızın neden belirli bir güvenlik faktörüne sahip olduğunu belirleyenin evrimsel geçmişimizle bağıntılı olduğunu söyleyebiliriz. Karmaşık sistemlerin birbirlerini etkileyen ve iç içe geçmiş özellikleri nedeniyle yapısal ve fonksiyonel bir uzlaşı ile belirlenen oran olduğu düşünülmektedir. Örneğin görme fonksiyonumuz için göz sinirinde sahip olduğumuz akson sayısı aynı nitelikte görme için gerekli olandan fazladır. Ancak güvenlik faktörünü belirleyen görme sinirinin olabileceği maksimum çaptır. Çok iyi bir görme keskinliği inanılmaz kalınlıkta ve yaşamla uyumsuz bir sinir yapısıyla gerçekleştirilemez. Buna rağmen güvenlik faktörü sayesinde yaşamsal önemde olan görme fonksiyonumuzda fark edilebilecek düzeyde kayıp olması için epey sayıda akson kaybetmiş olmamız gerekmektedir. Yine benzer şekilde günlük yaşam aktivitelerimizi sürdürmek için gerekli motor fonksiyonumuzu yürütecek kas lifi kapasitemiz kullandığımızdan birkaç kat fazladır. Güvenlik faktörü çok yüksek olsa aşırı hipertrofik bir kas yapısının avantajından daha fazla dezavantajı olabilecektir. Günlük gereksinimimiz için gerekli sınıra yakın minimum düzeyde kas kitlemiz olsa bu seferde günlük yaşamda beklemediğimiz yüklenme ve zorlanmalarla başa çıkamayıp yaşamımız tehlikeye düşebilecektir.
Hastalık olarak tanımlanan aslında fonksiyonel değişim bölgelerinde güvenlik faktörünün altına inildiği durumlardır. Örneğin Myastenia Gravis hastalığında motor son plakta postsinaptik tarafı aktive edilebilen asetil kolin reseptör sayısı asgari olan 60.000 molekülün altına düştüğü için kas aktivesi olamamakta ve kas güçsüzlüğü çıkmaktadır. Benzer şekilde bunamada bellek fonksiyonumuz için gerekli asgari nöron sayısının altına inilmiştir artık. Hâlbuki normal koşullarda bellek fonksiyonumuzu sürdürebilmek için gerekli olan alt sınırının çok üstünde nörona sahibiz (Kandel ER, 2013).
İnsanın yaşamını sürdürebilmesine yönelik günlük enerji bilançosunun böylesi bir güvenlik faktörü içermesi gerektiği gibi bunun hayvanların aynı amaçlı faaliyetlerinden farklılıklar göstermesi de beklenir. İnsanın faaliyetlerini “çalışma” yapan ile hayvanların faaliyetlerini “salt etkinlik” yapan özellik tanımlanmalıdır, olmalıdır.
Bazal Metabolizma Düzeyimiz (BMR) ve Güvenlik Aralığı
Bir insanın günlük yaşam aktivitesini sürdürmesi için gerekli enerji gereksinimi bireyin faaliyetlerine bağlıdır. Ancak en düşük fiziksel aktivitede bile organizmamızın bazal bir enerji gereksinimi bulunmaktadır. Bunun 1200-1500 kcal/gün olduğunu bilinmektedir. İnsanın bu enerjiye ulaşabilmesi elde edebilmesi için gerekli besin bulma aktivitesi onun yaşamı için gerekli asgari aktivite düzeyini belirleyecektir. Bunun cinsiyet, yaş ile değiştiğini rahatlıkla söyleyebiliriz. Ayrıca bazal enerji gereksinimi içinde bulunulan koşullar ve gebelik, hastalık gibi durumlara da bağlı olarak değişecektir. İnsanın toplam olarak ortalama yıllık 1 milyon kcal'lik besine gereksinimi olduğu ve yılda da yaklaşık 1 milyon kcal harcadığı hesaplanmıştır. Bu yaklaşık günlük 2800 kcal enerji gereksinimi anlamına gelir (Gluckman P, 2009).
Bir insanın günlük aktivitesi ile yaşamını sürdürebilmesi için gerekli besin miktarının ne kadarını karşılayabilir? Bu çok karmaşık ve çok faktörlü bir soru olarak görülebilir. Ancak toplumsal bir varlık olmamız nedeniyle bir bireyi değil de onu temsil eden günlük “ortalama insan” enerjisi ve ortalama insan aktivitesi olarak sorunu ele alabiliriz.
Yaşamın sürdürülmesi için gereksinim duyulan bazal/ortalama enerji miktarı üzerinde epey çalışma yapılmıştır (Henry C 2005). İlk çalışmaların 1783'te Lavoisier ile başladığını belirtelim. Burada literatürdeki çalışmaları özetlemek amaçlanmamıştır ancak tarihsel olarak en önemli adım 1919’da Harris-Benedict eşitliğinin geliştirilmesi olduğunu belirtmeliyiz. Bu formüle göre erkekler için BMR:

Kadınlar için BMR ise:

Bu formüle dayanarak 55 yaşındaki 59 kg ve 168 cm boyundaki bir kadın için BMR 1272 kcal/gün veya 61.3 watt kcal/sa olarak hesaplanabilir (Haris and Benedict 1919).
1984 Harris-Benedict eşitliği gözden geçirilmiş ve yeni formül kullanılmaya başlanılmıştır. Buna göre erkekler için BMR:

Kadınlar için ise:

olarak değiştirilmiştir. 1990 ise Mifflin ve arkadaşlarının hesapladığı BMR ise:

S değeri erkeler için s +5, kadınlar için ise −161’dir. Bu formüle göre ise yukarıdaki örnek kadının BMR si 1204 kcal/gün'dür (Mufflin 1990).
Bireyin fiziksel aktivite düzeyine bağlı olarak BMR değerindeki değişim 1.2 ile 1.9 ile çarpımı aralığında olduğu belirlenmiştir. Aşağıdaki BMR değerleri ise Dünya sağlık örgütü (WHO), FAO ve UNU (United Nations University Joints)’in 1985 deki 7173 kişilik BMR data değerlendirmesi ile Henry CJK’nin 2005 deki 10552 kişilik BMR data değerlendirmesine dayandırılmıştır (CJK Henry 2005). Bu çalışmalara göre; 35 yaşında 50 kg ağırlığında ve 1.6 m boyundaki köyde yaşayan bir bayanın 24 saatlik bazal metabolize oranı 1176 kcal’dir. Aynı bayanın günlük iş aktivitesi ile ortalama toplam metabolik gereksinimi 2063 kcal’dir.
Orta derecede aktivitesi olan 25 yaşında 58 kg ağırlığında 1.61 m boylu ve vücut kitle indeksi 22.4 olan bir çiftçinin günlük bazal metabolizma oranı 1560 kcal iken günlük aktivitesi için gereken toplam enerji metabolik yükü 2780 kcal'dir.
Aynı bilgi kaynağına dayanarak 35 yaşında ağır iş yapan 65 kg ağırlığında ve 1.72 m boyundaki vücut kitle indeksi 22 olan bir erkek işçinin günlük basal metabolizma oranı 1635 kcal iken bu işçinin günlük aktivitesi için gerekli toplam enerji miktarı ise 3490 kcal olarak hesaplanabilir.
Bu örnekler için hesaplandığında ilk olguda bazal metabolizmaya ek olarak 887 kcal’lik bir enerji gereksinimi vardır. İkinci olguda ise 1220 kcal’lik bir enerji gereksinimi ile son ağır iş işçisinde ise 1855 kcal’lik bir ek enerji gereksinimi bulunmaktadır. Yani organizmanın canlılığını ve varlığını sürdürmesi için gerekli olan 1176-1635 kcal’lik enerjiye ek olarak yapılan günlük aktivitenin düzeyine bağlı olacak şekilde 887-1855 kcal’lik bir ek enerji gereksinimi de bulunmaktadır. Toplam olarak bakıldığında ise 2000-3500 kcal arasında değişen bir günlük enerji gereksinimi olduğunu söyleyebiliriz. Bu nokta aslında günlük enerji gereksinimi açısından yükü göstermektedir. Şimdi soruna güvenlik faktörü açısından bakacak olursak bu enerji yükünü kaldırmada organizmanın kapasitesi ne kadardır sorusuna yanıt vermemiz gerekmektedir. Yani aynı bireylerin vücutlarının enerji gereksinimini karşılama kapasitesi ne kadardır? Soruyu tersten sormak mümkündür ancak konumuz açısından bir katkısı olmayacaktır. Yani günlük enerji gereksinim yükü belirtilen sınırlarda olan vücudumuzun metabolik enerji tüketme kapasitesi ne kadardır? Bunun tüketilen besin miktarı ve enerjisi ile günlük yapılabilecek aktivite üst sınırı ile belirlenebileceğini söyleyebiliriz. Ancak asıl sormak istediğimiz soru bu değildir. Asıl soru yukarıdaki örneklerle ele alırsak günlük BMR’si 1176-1635 kcal arasında olan bu bireylerin gereksindikleri enerjiyi elde edebilmek için gösterebildikleri “iş” aktivitesinin kapasitesi ne kadardır? Bireyler hiçbir iş aktivitesi göstermezlerse de organizmanın 1200-1500 kcal dolayında enerjiye gereksinimi vardır. Ayrıca organizma için gerekli enerjiyi sağlamaya yönelik iş aktivitesi arttıkça enerji gereksinimi de artmakta ve 3500 kcal’ye ulaşmaktadır. Yani enerji gereksiniminizi sağlamak için iş aktivitenizi arttırdıkça gereksinim duyduğunuz enerji miktarı da artmaktadır. Daha öncede bahsettiğimiz gibi bireyin fiziksel aktivite düzeyine bağlı olarak BMR değerindeki değişim 1.2 ile 1.9 ile çarpımı aralığındadır. Bu zorlukları da içine alarak sorunun yanıtını nerede aramalıyız? Tek tek birey olarak iş aktivitesini değerlendirmenin yanlış olacağını en başta söylemiştik. Toplumsal bir varlık olmamız nedeniyle “iş aktivitesi” toplumsal bir aktiviteye dönüşmekte ve ortalamalar ile değerlendirmek gerekmektedir. Ancak sanırım bu sorunun yanıtını sadece toplumsal bir varlık olarak ele almakla değil aynı zamanda türümüzün yani Homo sapiens olarak evrimsel geçmişimizde arayabilir, gelişme sürecimize bakarak bulabiliriz.
Evrimsel Bakış Açısıyla BMR
Değişik türler için BMR’nin hesaplanması sorunu 1930’larda biyolog Max Kleiber tarafından ele alınmış ve bulguları Kleiber Yasası olarak tanımlanmıştır (Kleiber 1947). Bu yasa temel olarak allometrik yaklaşıma dayanan bir çözümlemedir ve genel olarak bir türün BMR sinin logaritmik skala ile o türün ortalama ağırlığının ¾ üssü kadar olduğunu tanımlamaktadır. Yani türün ortalama BMR sinin logaritmasi ile türün ortalama ağırlığının logaritmasi arasında doğrusal bir ilişki bulunmaktadır. Kleiber’in 1947’de yayınlanan orijinal çizimi (Şekil 2)’de gösterilmiştir. İnsanları ve primatları da içerecek şekilde diğer memelileri değerlendirdiğinizde eğim yüksek düzeyde korelasyon göstermektedir.

Kleiber yasası türün metabolik hızının/oranının formülünü BMR=70×M0.75BMR=70\times{M^{0.75}} olarak tanımlamaktadır. Buna göre 65 kg’lık bir insanın bu formüle göre hesaplanan metabolik hızı 1602.4 kcal/gün'dür. Oxford eşitliliği aracılığıyla ölçülen basal metabolik hızı ise 1635 kcal /gün'dür. Farklı kökenli bu iki değerin bir birine yakınlığı dikkati çekicidir. Eğer bu yaklaşımı doğru olarak kabul edersek türümüzün gereksindiği enerjiyi sağlayabilmek için göstereceği “bazal aktivitenin” sınırı konusunda güvenebileceğimiz bir bilgimiz var demektir.
Altmış beş kilogramlık bir erkek birey hiçbir iş aktivitesi göstermeseydi gereksindiği enerji miktarı 1635 kcal/gündür. Halbuki ortalama ağır bir iş aktivitesi gösteren bir birey olarak 3500 kcal lik enerjiye karşılık gelecek “iş” üretmesi gerekmektedir.
Türümüzün ilk oluşumundaki süreçte BMR’mizin 65 kg için 1600 kcal düzeyinde olduğunu ve enerji gereksinimini karşılayacak iş üretme kapasitemizin de bundan fazla veya ancak buna yakın olduğunu söyleyebiliriz. Eğer biyolojik güvenlik aralığının 1.2 alt sınırı dikkate alınacak olur ise türümüzün başlangıcında BMR'mizin 65 kg. bir birey için 1900 kcal kapasitesi düzeyinde olmalıdır. Bunun altında olamaz çünkü 1900 kcal altındaki kapasite durumunda organizma temel enerji gereksinimlerini karşılayamadığı durumlara düşme olasılığı artacak ve düşük güvenlik aralığı nedeniyle yaşam mücadelesini sürdüremeyecektir. Ayrıca biliyoruz ki 150.000 yıl önceki atalarımız günde yaklaşık 20-25 km yer değiştirmek ve av peşinde koşmak zorunda oldukları oldukça güç koşullarda yaşıyorlardı. Burada yeni bir soru doğmaktadır; türümüz 65 kg.lık bir erkek birey için ortalama 1600 kcal’lik BMR'yi gerçekleştirmek için 1900 kcal iş kapasitesinden bugün için hesaplayabildiğimiz en az 3500 kcal’lik metabolizma hızını gerçekleştirebilecek iş kapasitesine nasıl geldi? Yani enerji gereksinimini karşılayabilmek açısından organizmanın BMR yükü ile enerji üretme kapasitesi arasındaki ilişki, güvenlik faktörü/güvenlik aralığı türümüzün başlangıcı ile günümüz arasında nasıl değişti?
Ensefalizasyon Katsayısı ve Bir Praksis Olarak İnsan Emeği
Hayvanların yaşamsal gereksinimlerini karşılama çabası bir “çalışma” değildir. Ayrıca onlar bir ürün üretmek amacı taşımazlar. Süt-bal onların amaçları değil biyolojik yapıları gereği olan çıktılardır.
Hayvanlar çalışmadıkları için aşmaları olanaksız bir ortam içinde yaşarlar. Bu nedenle her hayvan türü kendisiyle uyumlu bir ortamda yaşar (Freire P, 1991).
Arının (bal üreten arının), ineğin (süt üreten inekten) yaşamını sürdürmek için sürdürdüğü faaliyetlerden, insanın yaşamsal gereksinimlerini karşılayabilmesi için yaptığı üretim faaliyetlerinin ne farkı vardır? Üretimden neyi kastediyoruz?
İnsanlar, salt etkinlik varlıkları olan hayvanlardan praksis varlıkları olmalarıyla ayrılır (Freire P, 1991).
İnsanın dünyayı nesnelleştirmek ve dünyayı anlamak zorunluluğu vardır ki bu bir zihinsel bir süreçtir. İnsanın emeğiyle dünyayı dönüştürebilmesi için bu zihinsel süreç gereklidir. İnsanın yaşam gereksinimlerini karşılamaya yönelik çalışma faaliyetleri eylemden ve düşünceden oluşur; bu bir praksistir; dünyanın dönüştürülmesidir.
Yani insan faaliyetleri kuram ve praksistir; düşünce ve eylemdir (Freire P,1991).
Dolayısıyla insanın besin gereksinimlerini karşılamaya yönelik iş faaliyetlerinin altında yatan zihinsel faktör konunun en başında ele alındığı gibi insan beyninin eseridir. Günümüz insanı yani Homo sapiens’in praksis yeteneğini kazandığı sürecin gözden geçirilmesi ve iş sürecinin özellikleriyle ilgili ip uçları bulunması gerekir. Türümüzün günlük bazal enerjisini karşılamaya yönelik faaliyetinde türümüzün beyinleşme “ensefalizasyon” sürecinin ayrıcı bir yeri olmalıdır.
Australopithecus africanus’un 400 cc’ye ulaşan beyin kapasitesi ile bugünkü Homo sapiens’in 1450 cc’ye ulaşan beyin hacminin öyküsü ile insanın bu iş faaliyetinin öyküsünde çakışmalar, paralellikler bulunmaktadır (Gluckman P 2009).
Günümüz beyin yapısı ile günlük enerji gereksiniminin en önemli bir kısmını beynimizin faaliyetlerine, zihinsel süreçlerimize ayırıyoruz. Yeni doğan döneminde bu oran inanılamayacak bir düzeyde yüzde seksenlerdedir, yani yeni doğan-bebeklik döneminde insan yavrusu günlük enerji girdisinin %80'ini beyinsel aktivitesi için kullanmaktadır. Halbuki beynimiz vücut ağırlığımızın yaklaşık %2'sini oluşturmaktadır. Erişkin bir bireyde beyin günlük enerji gereksiniminin %20'si beynimizin faaliyetlerine aktarılır (Gluckman P, 2009). Bu neredeyse ağır iş işçisinin günlük çalışması için kullandığı enerji miktarı kadardır (Henry CJK, 2005). Bu açıdan İnsan beyninin maliyeti çok yüksektir denilebilir. İnsanlaşma sürecinin başında yaklaşık dörtte bir küçük beyinle başladığımız düşünülür ise aralarında doğrusal bir oran olduğunu varsaydığımızda beynimizin aktivitesi için BMR in yaklaşık %5-6'ı kadar bir enerji gereksinimi olmasını bekleyebiliriz. Bu da yaklaşık 80 kcal’lik bir enerji düzeyidir. İnsanlaşma süreci beyin kapasitesini arttırdıkça enerji bilançosunda epey açık vermiş görünüyor. Ancak bugüne baktığımızda beynimizin bu negatif bilançoya neden olan enerji gereksinimini karşılayacak avantajlar yaratmış olması gerekmektedir ki, neslimiz tükenmemiş ve bugünkü 7 milyarı bulan bir nüfusa ulaşmış durumdayız.
Enerji bilançosundaki açığı kapatmak için geliştirebileceği stratejiler konusunda farklı hipotezler mevcuttur (Sherman T, 2013). Örneğin yüksek maliyetli bir başka organın küçülmesi, bir ölçüde bir uzlaşı. Gerçekten de insanlaşma süreci mide bağırsak sistemimizde önemli değişmelerle paralel seyretmiştir. Bitki ağırlık beslenen primatlardan çok daha kısa bağırsak sistemine sahibiz (Gluckman P, 2009). Çevre ve beslenme ile ilgili adaptasyonlarımızda bu süreçte katkıda bulunmuş olmalıdır. Ancak bağırsaklarımızın kısalmasıyla bu açık kapanacak gibi değildir. Beyinin bazal gereksinim olan 1600 kcal’lik enerji gereksinimine katkısı olması gerekmektedir. İnsanlaşma sürecinin beyindeki değişimiyle izlenebilecek gelişiminin Homo cinsinin BMR ile enerji üretebilme kapasitesi arasındaki güvenlik oranını arttırması beklenir.
İnsanlaşma süreci ile beyinin gelişimi süreci arasında doğrudan bir bağıntı vardır. Bu bağıntıyı bir ölçüde “Beyinleşme oranı” (Enselalizasyon Katsayısı) ile tanımayabiliriz. Ensefalizasyon katsayısı beyin ağırlığının beden ağırlığına bölünmesi ile elde edilen bir orandır. Memeliler için kullanılan en yaygın formül EQ=(BeyinAg˘ırlıg˘ı)/0.12×(BedenAg˘ırlıg˘ı)2/3EQ=(Beyin Ağırlığı)/0.12\times{(Beden Ağırlığı)^{2/3}}'tür (Jerison 1973, Martin 1984, Schoeneman 2004).
Tablo 1'de hominidlerin EQ gelişimini gösterilmiştir. Bir Afrika filinin EQ'su 0.64 düzeyinde iken maymunların 1-2 arasında yunusların ise 2-4 arasında değişebilmektedir.

Beyinleşme oranı şempanzelerde 2.0 iken, Australopithecus africanus’da 2.5’a, Homo erectus’ta 3.3’e ve nihayet Homo sapiens’te 5.8’e ulaşmaktadır.
Bu denemenin temel hipotezi olan “enerji yükü ve kapasitesi güvenlik faktörünün” Australopithecus africanus’ta olabilecek en alt sınırı 1.2 den başlayıp, beyin hacminin artmasıyla Homo habilis, Homo erectus ve Homo sapiens hattıyla homonidlerde yükselmiş olmasıdır. Enerji yükü ve kapasitesi arasındaki güvenlik oranı hipotezimizin doğru olduğunu varsayar isek bu durumda güvenlik faktörünün Australopithecus africanus’ta 1.2 iken Homo erectus’ta 1.58 ve Homo sapiens’te 2.78 olmasını bekleyebiliriz ki bu durumda BMR si 1600 kcal olan 65 kilo ağırlığındaki bir erkek bireyin yaklaşık 4450 kcal’lik bir kapasiteye sahip olması anlamına gelir. Bu değer yukarıda ortalama insan değerleri üzerinden bulunan 3500 kcal ile karşılaştırılabilir. Güvenlik kavramı açısından bakılırsa bulunan değer bir üst sınırı belirtmektedir ve dolayısıyla bulunduğu gibi ortalama değerden fazla olması beklenirdi. Ayrıca bu üretilebilecek üst enerji değeri ise bireyin ortalama 8 saat çalıştığı varsayımı ile bulunan 3500 kcal’den fazla olması çalışma süresinin fazla olduğu durumdaki enerji üretme kapasitesini de açıklar. Yani çok farklı kökenli ve kaynaklı bilgiler insanın iş faaliyeti, bazal metabolizması ve güvenlik oranı, faktörü kavramlarıyla yan yana getirdiğinde geçmiştekini açıklayacak elimizde bulgular olmasa dahi bugünkü hesaplanan ve ölçülen değerlerle uyumlu görünmektedir.
Praksis Olarak İnsanın “İş” Faaliyeti
İnsanın “iş kapasitesinin” insan emeğine dönüşmesini sağlayan zihinsel süreçtir. Hominidlerin başlangıcında 400 cc’lik beyin hacminden yaklaşık 1450 cc’lik beyin hacmine veya diğer bir deyişle 2.5 EQ’dan (beyinleşme oranından) 5.8 EQ’ya yükselmesi ile beyin işlevi için gerekli enerji açığını bilişsel yeteneklerinin iş faaliyetlerine aktarılması ve insan emeğine dönüşmesi, yani hayvanların besin bulma etkinliğinden hominidlerde bir praksise dönüşmesine borçlu olduğunu söylemeliyiz. İnsanlaşma sürecinde yaşamını sürdürmek için gerekli, zorunlu olan besinlerini bulma sürecine zihinsel katkının etkisiyle insanın iş faaliyeti insan emeğine dönüşmüştür. Belki de örnek olarak verilebilecek en önemli dönüşümlerden birisi ateşin besinlerin/etin pişirilmesinde kullanılmasıdır. İnsan dışındaki hiçbir hayvanda ateşin bu şekilde kullanımını görmüyoruz (Asimov I, 2006). Homo erectus dönemine rastlayan bu zihinsel katkı ile insanın iş faaliyetindeki enerji üretme kapasitesi sıçramıştır. Avlanma araç ve gereçlerinin, aletlerin geliştirilmesi aynı bazal metabolizma ile daha fazla besin yani enerji elde etme kapasitesini arttırmıştır. Neolitik devrim ile tarıma geçilmesi zihinsel bir sürecin ürünüdür. Hayvancılığa geçiş besin bulmaya yönelik iş faaliyetlerinde çok büyük bir sıçramadır ve kesinlikle zihinsel bir üründür. Yine en başta bahsettiğimiz inek-koyun sütünün insanın besin gereksinimi için kullanılması ve hayvana bu amaçla bakılması zihinsel bir buluştur, sıçramadır. Yerleşik tarıma geçiş 12.000 yıl öncesine denk gelmektedir ki bu dönem Homo sapiens’in yaklaşık 5.8’lik EQ‘ya çoktan ulaşmış olduğu dönemdir. Dolayısıyla insanın besin bulmaya yönelik iş faaliyetini bir praksis olarak algılamamız zor olmayacaktır.
Bu iş faaliyetinin iki bileşeni bulunmaktadır; Birincisi zihinsel bileşenidir. Yani dünyanın ve çevrenin algılanması, değerlendirilmesi ve yorumlanması sürecidir. Bu yorumlama süreci çeşitli çıkarsamalarla devam edebilir ki tümüne bir şekilde “düşünme süreci” de diyebiliriz. Praksisin ikinci öğesi ise eylemdir, yani bedensel olarak yapılan faaliyettir. Tüm bedenin, kasların, algı organlarının, duyuların yani organizmanın bütün olarak katılması gereken bir süreçtir. Praksis yeteneğimiz en azından konuşma ve düşünme yeteneğimiz kadar özelleşmiş olduğunu apraksik hastaların bulgularından çıkarsayabiliyoruz. Araç gereçlerin kullanılabilmesi, okun, çekicin belirli bir amaç için kullanılabilmesi, avlanılacak hayvanın peşinden koşulması, yakalanması, taşınması, derisinin soyulması, pişirilmesi, paylaşılması vs.. hep bu özelleşmiş beyinsel yeteneğin eseridir. Hayvanın sütünün sağılması, pişirilmesi, saklanması, hayvanın beslenmesi, otlatılması, su verilmesi, hayvanın diğer avcılardan korunması vb. gibi zihinsel ve eylemsel bu iki bileşen sayesinde insanın iş faaliyeti diğer canlıların besin bulma etkinliklerinden ayrılır. İnsanın iş faaliyeti “insan emeği” olur. Yani insan emeği aslında zihinsel ve bedensel ikili bir faaliyettir. Bir praksistir. Zihinsel kısmı olmaz ise “iş” gerçekleşemez. Bedensel kısmı olmaz ise “iş” yine gerçekleşemez. Zihinsel bileşenini belirleyen ensefalizasyon katsayısıdır (EQ). Bedensel kısmını belirleyen ise BMR ile ölçebileceğimiz ve yaklaşık 3.5 milyon yıllık bir süreçte oluşan iki ayaklılığı, ellerini kullanışı ile tipik olan insan vücududur.
İnsan emeğinin praksis olmasının ve dolayısıyla onun zihinsel kısmının varlığının gereken önemde ele alınmadığını söyleyebiliriz. Gündelik işlerin tümünde en basitinden başlayarak zihinsel bir yön bulunmaktadır. Basit bir işçilik bile kürek kullanmak, kazma kullanmak gibi aslında zihinsel süreçler ile geliştirilmiş olan kürek, kazma, çekiç gibi araç gerecin kullanımını gerektirmektedir. Yani o basit iş süreci bile ensefalizasyon sürecine paralel seyreden ve örneğin kazmanın ilk kullanımındaki zihinsel buluşun katkısıyla yapılmaktadır. Bedensel olarak sürece katkıda bulunulduğu için zihinsel olarak binlerce yıl önce yapılmış sıçrama yaşama geçirilmektedir. El arabası ile yük taşımadan tutunda daha karmaşık süreçlere doğru gittikçe zihinsel katkı oran ve düzeyi katlanır ve insanın bedensel aktivitesinin ürünü praksis olması nedeniyle BMR için gerekli olandan daha fazlasını günlük aktivite içinde “üretmesini” sağlar.
İş sürecinin praksis olması onun zihinsel kısmının yaratıcılık ürünleriyle dolu olması anlamına da gelir. Zihinsel olarak iş sürecindeki tarihsel her sıçrama aşaması bir ölçüde yaratma aşamasıdır. İş faaliyeti içinde de her seferinde bu tekrarlanır. Bir bakıma şöyle diyebiliriz ateşi ilk kez eti pişirmede kullanmayı düşünme sıçramasının yaratıcı öğesini günümüzde her yemek pişirişimizde kullanmaktayız.
Dunbar Sayısı ve Güvenlik Aralığı
İnsan toplumsal bir varlıktır, diğer bir deyişle “sosyal bir hayvandır”. Atalarımız, hominidler de toplumsal varlıklardı. İnsanın beyinleşme oranı ile toplumsallaşması arasında da bir ilişki olduğu Dunbar tarafından gösterilmiştir (Dunbar R, 2008). Farklı primat türlerinde ortalama grup büyüklüğü ile beyinleşme oranının bir başka eşdeğeri kabul edilebilecek neokorteks oranı arasında doğrusal bir ilişki mevcuttur. Yani beynimizin bilişsel işlevleri için belirleyici olan katmanı neokorteks büyüdükçe toplumsal yaşamı oluşturan birey sayısı artmaktadır. Tarım öncesi insan gruplarının yaklaşık 50-150 kişilik bireylerden oluşan gruplar halinde yaşadığı bulunmuştur. İnsanlar gruplar halinde yaşamaya uyarlanmışlardır. Dunbar sayısı olarak bilinen 150 bireylik gruplar da bu bulgulara dayandırılmıştır (Gluckman P, 2009).
Yaklaşık 50-150 bireyden oluşan bir Homo sapiens grubunun içinde demografik olarak birkaç katmanın bulunması gerektiği açıktır. Örneğin iki cinsiyetin dağılımı, yeni doğanlar ve dolayısıyla anneler, süt emziren anneler, hamile olan bayanlar, yaşlılar, hastalık veya sakatlığı bulunanlar ve de erişkin, iş faaliyetine katılabilme potansiyeline sahip olan erkek ve kadınlar. Anne ve çocuklar ile yaşlıların besin bulmaya yönelik, üretici iş faaliyetine katılamayacağını söyleyebiliriz. Hele uzun bebeklik dönemiyle diğer hayvanlardan hatta primatlardan ayrılan hominidler ve Homo sapiens için bu besin gereksinimleri karşılanması gerekecek bireylerin sayısı ve süresinin artması anlamına gelir. Dolayısıyla topluluğun tümü veya ortalamasını ele alırsak, bir bireyin kendisinin yaşamını sürdürmesi için gereken asgari besin gereksiniminin sağlanması topluluğun yaşamını sürdürmeye yetmeyecektir. Yani BMR ve enerji karşılama kapasitesi güvenlik aralığı 1 olduğu durumda birey yaşamını sürdürse bile topluluğun yaşamını sürdürmesi olanaksızdır. Dolayısıyla güvenlik aralığıyla ilgili oranın >1 olması gerekmektedir. Bu oranın en alt sınırı 1.2 olduğunu kabul ettiğimizde 100 kişilik bir topluluk için en fazla 17 bireylik bir kapasitesi olabilecektir (Dunbar sayısı 100 olarak alındığında). Yukarıda bu sayının Homo erectus için 1.5 olabileceğini hipotezimizden hesaplamıştık. Bu durumda 100 bireylik bir topluluk için sınır daha da gelişmiş olacak ve 66 bireyin iş faaliyeti ile topluluğun yaşamını sürdürmesi mümkün olacaktır.
Sosyal bir varlık olmak üretici faaliyette bulunan bireylerin sadece kendisi için değil topluluğun belirli bir (zorunlu) oranında enerji gereksinimlerini karşılayabilecek kapasiteye sahip olmasını gerektirmektedir. Eğer enerji kapasitesi güvenlik faktörü hominidlerde beyinleşme oranı ile doğru orantılı ise Homo sapiens’te bu oranın daha öncede hesaplandığı gibi 2.78’e yükselmiş olması beklenebilir. Bu oran ile 35 kişinin üretici faaliyeti ile tüm toplumun enerji gereksinimi için gerekli enerji üretilebilir hale gelmektedir. Bunun ne kadar büyük bir oran olduğu açıktır. Otuz beş bireyin üretici faaliyeti 65 bireyin ihtiyaçlarını karşılayabilecek verimliliktedir denilebilir. Bu oranlarda üst sınırları değerlendirdiğimiz, göz önüne aldığımız veya hesapladığımız dikkate alınmalıdır. Ortalama değerleri bulma şansımız olsaydı tüm topluluk için bir bireyin üretici faaliyetindeki enerji üretim kapasite güvenlik oranının 2.78’in altında olmasını bekleriz.
Özet olarak, topluluk olarak yaşayan Homo sapiens’in yaşamını sürdürebilmesi için gerekli besin bulma aktivitesi, beyinleşme oranının yükselmesi ile enerji üretim kapasitesi güvenlik aralığını genişleterek, topluluğun yaşamını dolayısıyla da bireyin yaşamını güvence altına almaktadır. Dunbar sayısı ve enerji üretim kapasitesi güvenlik aralığı arasında kurulabilecek bağıntı bize insan emeğinin çok önemli bir yönünü kavramımızı sağlamaktadır. Bu beklide insan emeğinin en önemli özelliği olan “artı-değer” kavramıdır.
Bir Praksis Olarak İnsan Emeği, Dunbar Sayısı ve “Artı-Değer”
İnsanın üretici iş faaliyetinin bir praksis olduğunu yukarıda gözden geçirdik ve vurguladık. İnsanın iş faaliyeti bu nedenle insan emeği olarak adlandırabileceğimiz bir şekilde hayvanların örneğin şempanzelerin besin bulma faaliyetlerinden ayrılmaktadır. İnsan emeğinin zihinsel bileşeni beyinleşme oranı ile bağıntılı olması gerektiğini de yukarıda ele alınmış ve destekleyen bulgulardan bahsetmiştik. İnsanın iş faaliyetiyle ilgili enerji üretim kapasitesi güvenlik aralığının beyinleşme oranındaki artış ile mümkündür. Çağdaş insana yani Homo sapiens ulaştığımızda güvenlik aralığı 1.2 ile 2.78 arasında kalır ise ortalama bir bireyin iş faaliyetinde üretebileceği enerji topluluktaki 2-3 kişinin enerji gereksinimini karşılayabilecek hale gelebilmektedir. İşte bu farka yani kişinin kendisinin yaşamını sürdürebilmek ve yeniden üretmek için gerekli olandan daha fazlasını üretme kapasitesine ulaşmış oluyoruz böylece. Bununla özel bir fenomeni tanımlayan ekonominin en önemli tanımlarından birisine, “artı-değer” kavramına ulaşabiliriz.
Artı-Değer: Zihinsel Bir Süreçle Edinilen/Eklenen Değer
İnsanın kendi yaşamını sürdürmek için gerekli olandan daha fazlasını üretebilme kapasitesini bir değer olarak tanımlayabilmek için insan emeğinin bir değer olarak tanımlanması gerekmektedir. İnsan emeği bir değer midir?
“Değer” teriminin iktisattan etiğe geçmiş bir terim olduğu söylenir. Gerçekten de değer şimdiye kadar ortaya konmuş ekonomik görüşlerin belli başlı kavramlarından birisidir. Ne var ki bu “değer”in değerlerle herhangi bir ilgisi yoktur, değerlendirmelerin ortaya çıkardığı değerle de ancak dolaylı bir ilgisi vardır. İktisadın bir kavramı olarak değer, ancak “biçilen değer”le yani özel değer yargılarıyla şeylere biçilen “değerle” bir paralellik gösterir. (...)
İktisadın bir terimi olarak “değer” insan emeğinin ürünüyle, nesnelerle ve parayla ilgilidir; kullanım ve değişim değeri” anlamında kullanılır. Bir nesnenin-ve bu nesnenin bir mal olması veya bir mal sayılması şarttır- “kullanım değerinde” onun maddi bir ihtiyacı karşılaması bakımından faydası kastedilir; değişim değerinden ise onun satın alabileceği başka şeyler-para olgusunu da hesaba katarsak- fiyatı anlaşılır (Kuçuradi İ, 1971).
Tüm Reklamları Kapat
Burada kullanım ve değişim değeri ile bir malın değerini tanımlamadan önce “insan emeğinin değeri” kavramını ele almak zorundayız. Bu konuda sözü ustasına bırakırsak eğer; “Demek ki bir kullanım değeri ya da mal, yalnızca, onda soyut insan emeğinin nesnelleşmiş ya da cisimleşmiş olması nedeniyle bir değere sahiptir. Öyleyse onun değerinin büyüklüğü nasıl ölçülür? Onun içerdiği “değer yaratıcı öz’ün, yani emeğin miktarıyla. Emeğin niceliği, süresi ile ölçülür ve emek zamanın ölçeği de saat, gün vb. gibi belli zaman birimleridir.” (Marx K, 1867, Çev. 2011) Yani insan emeğinin miktarıyla bağıntılı olarak değer yaratıcı bir öze sahip olduğunu söylemek yanlış değildir. Ve hatta soyut insan emeğinin bir praksis olduğunu da söylemek mümkündür. Zihinsel bileşeni ile insanın iş faaliyeti, “insan emeği” değer yaratan bir öze sahiptir. Bir değerdir! Bugün çevremizde doğayı değiştirerek, zihinsel ve bedensel aktivite ile yapılmış ne görüyorsak onlar insan emeğinin bu değer yaratan özünün eseridir. İnsan emeği sadece toplumsal olarak kendisinin yaşamını sürdürmek için gerekli olanı üretmemektedir. Enerji üretim kapasitesi güvenlik aralığı nedeniyle belirli bir oranda fazlasını üretmektedir. Dolayısıyla bir bireyin iş faaliyeti değer olarak kendisine gerekli olandan fazlasını üretme yeteneğini içermektedir. İnsan emeğini bir değer kategorisi içinde ele alırsak bu fazlalığının da kendi başına bir değer olması gerekir. Ekonomideki “artı-değer” kavramı ile bu “fazla”nın eş değer kavramlar olduğu tartışılabilir. İnsan emeği bir praksis ise artı-değerde bir praksistir, praksis sonucudur. Böyle bakınca insanın kendini yeniden üretmek için gerekli olanı aynı zamanda tükettiği de dikkate alınır ise yani yılda bir milyon kilokaloriye gereksinimi olan insan bu enerjiye karşılık gelen faaliyette bulunacak ancak bunu da tüketecektir. Öyleyse etrafımızda gördüğümüz insan ve insan tarafından üretilmiş, yaratılmış her şeyin bu “fazla-değer”, “artı-değer” ile olduğunu söylemek gerekir.
Bir Değer Olarak İnsan Emeği ve Bir Değer Olarak “Mal”
Yaşadığımız çağda, toplumsal olarak iktisadın kullandığı artı-değer olarak tanımı yukarıda kullanılandan şüphesiz farklıdır. Biyolojik bir kavramdan toplum bilimsel bir kavrama geçişin doğrudan olmasını beklememeliyiz. Ancak aralarında ilişki olduğunu ileri sürmekteyiz bu denemede.
İş günü boyunca işçinin yarattığı değer iki kısma ayrılmaktadır; Bir yanda ona ücret şeklinde ödenen değer, öte yanda kapitalistin ele geçirdiği ek-değer ya da artı-değer.” “Kapitalist toplumda iş gücü diğer mallar gibi bir maldır, gerçekte bir malın değeri içerdiği emek miktarıyla belirlenmiştir” (Denis H, 1965). Yani metanın, malın değeri içerdiği insan emeği miktarıyla belirlenir. İlk bakışta insana öyle gelebilir ki bir metanın değeri tamamıyla göreli bir şeydir ve meta başka metalarla olan ilişkileri içinde düşünülmedikçe değeri saptanamaz. (...)
Metaların değişim değerleri bu nesnelerin toplumsal işlevlerinden başka bir şey olmadığından ve değişim değerlerinin metaların doğal nitelikleri ile ortak hiçbir yanı bulunmadığından ilkin şunu sormalıyız: Bütün metaların ortak toplumsal tözü nedir? Emektir. (Marx-Engels, çev. 1976).
Tüm Reklamları Kapat
Dolayısıyla şunları diyebiliriz:
Malın, emek içerdiği içindir ki bir değeri vardır, ve içerdiği iş (emek) süresiyle ölçülür. (...) Fiyatlar, malların değerinin yani içerdiği emeğin yansımalarından başka bir şey değildir. (...) Bir metanın değeri, onun üretimi sırasında harcanmış emek miktarı ile belirlenir. (...)Değerin özünü oluşturacak emek, eşit insan emeğidir, aynı insan emek gücü harcamasıdır. (...) Çeşitli mallar arasında nicelik ilişkisi kurulabilmesinin sebebi hepsinin emek içermesidir. (Denis H, 1965)
Şunları eklemek de mümkündür:
Geçmiş devirlerde bu değer biçmeler nasıl yapıldı? Malların değerinin sosyal bakımdan belirlenişinde genellikle bu malların üretimi için gerekli emek göz önünde tutuluyordu. (...) Malların üretimi için sosyal bakımdan gerekli süre, belli sosyal çevreye oranla, normal şartlarda bir ustalık ve yoğunlukta yapılan her işin gerektirdiği süredir (Marx K, 1867 çev 2011).
İnsanlaşma sürecinde bir praksis olarak insan emeği objeleri-ürünleri değiştirme aşamasına ulaşmadan önce de değer üretiyordu. Milyonlarca yıl süren Oldowan ve Acheulean taş endüstrisi döneminde insan emeğinin ürettikleri avlanmada-besinleri işlemede, besin bulma faaliyetlerinde kullanılan araç gereçler bu emeğin ürünleridir. O zamanki üretilen değer ile şimdi üretilen değerin özünde türdeş olduğunu kabul edebiliriz. Değişim kapitalist toplum öncesinde de ilkel topluluklar içinde de olduğuna göre malların değişiminde özdeşlik sağlayan insan emeğinin değeri olduğu söylenebilir.
Yalnızca önemli bir fark kapitalist toplumda sadece insan emeğinin yarattığı objeler, ürünler değil artık “İnsan Emeği”nin kendiside bir mal haline dönüştürülmesidir. İnsan emeğinin mal haline dönmesi insan emeğindeki değer yaratan faktörlerin ne olduğunu daha da gizleyebilmiştir. Çünkü insan bir yaratan olmaktan çıkıp sıradan, fiyatı olan bir aracı/araç haline gelmiştir. Ve bugün çok derin olarak yaşadığımız yabancılaşma kavramının altında yatan bir ölçüde bu gerçektir. Hâlbuki en basitinden en karmaşığına kadar insan emeği, içerdiği zihinsel bileşen olmadan hiçbir değer üretemez. Bedensel olarak yapılabilecekleri teknolojinin geliştirilmesiyle diğer araç ve gereçlere makinelere yaptırmak mümkün olmasına rağmen değeri yaratan o araç gereçlerin kendisi değil praksis olarak sürece katılan insan emeğidir.
İnovasyon ve Ensefalizasyon (Beyinleşme) Katsayıları
Üretime yönelik iş faaliyetlerinde evrimsel olarak insanın gelişimi boyunca beyinleşme oranının nasıl arttığından yukarıda bahsetmiştik. İnsan emeğinin verimliliğinin artışında bir praksis olarak zihinsel bileşeninin belirleyici olduğunu söyleyebiliriz. Çünkü bedensel yetenek ve yapı olarak hominidler iki ayaklılık, ellerin kullanımı ve iskelet yapısında bunlarla uyumlu değişimler dışında belirleyici değişimler yaşamamıştır (Gluckman 2009). İnsan emeğinin verimliliğindeki artıştan, enerji üretim kapasitesi güvenlik aralığının genişlemesinden sorumlu olan bedensel değişimden ziyade zihinsel öğenin olduğu açıktır. Homo sapiens ile en yüksek EQ oranına ulaşan insan, insan emeğinin verimliliğini halen arttırmaya devam etmektedir. On iki bin yıl öncesi tarım ve hayvancılık ardından şehirleşme, bilimin olağanüstü gelişimi, makineleşme ve son olarak dijitalleştirilmiş bilginin kullanılması ile olağanüstü bir zihinsel bileşen katkısı ile karşı karşıyadır. Bunun insanın inovasyon, (yaratıcılık) yeteneği ile bağıntılı olduğunu söyleyebiliriz.
En erken modern H. sapines’ler yiyecek peşinde koşan hareketli küçük gruplar olarak yaşadılar. Çevrelerini etkileyen ekolojik değişimler varsa, yeni yiyecek kaynakları bulmak için yer değiştirdiler. Popülasyon büyüdükçe gittikçe daha geniş coğrafik alanlara dağıldılar ve uyum göstermek zorunda oldukları ortamlar daha da çeşitli hale geldi. Fakat H. sapiens ateş, alet, giysi ve konut yapımı aracılığıyla çevresini kontrol edebilme yeteneği kazandı. İnsanı bu kadar etkin genelci bir tür yapmış ve halen yapmakta olan şey, onun bu inovasyon yeteneğidir. (Gluckman P, 2009).
Beynin yapısı, beyinsel kapasitemiz son 150.000 yıl içinde değişmez iken aynı zihinsel kapasite ile dil, bilim gibi kültürel kalıtımın birikimleri ile insan emeğinin zihinsel bileşeni belirleyici bir şekilde gelişmektedir. Dolayısıyla insan emeğinin enerji üretim kapasitesi güvenlik aralığının insanın inovasyon yeteneği ile genişlemiş olması beklenebilir. Diğer bir deyişle insan emeğinin enerji üretim kapasitesi üzerinde sadece ensefalizasyon katsayısı değil, inovasyon yeteneğinin de bir katsayı ile katkıda bulunması gerekir. Bu inovasyon katsayısı niteliksel olarak iş faaliyetinin değeri üzerinde de etkilidir.
Kalifiye işçinin her iş saati, ürünlerin değerlerinin yaratılmasında kalitesiz işçinin iş saatinden daha ağır basar. (...) Ortalama emekten daha üstün ya da daha karmaşık her emek, üretimi daha çok emek sürecini gerektiren ve bundan dolayı da daha büyük bir değeri olan iş gücünün sarf edilmesidir. (...)
Karmaşık emek (skilled labour, kalifiye emek) basit emeğin sadece bir kuvvetidir, daha doğrusu çoğaltılmış emekten başka bir şey değildir. Öyle ki belli miktardaki bir karmaşık emek daha büyük miktardaki bir basit emeğe tekabül eder. (...)
Tüm Reklamları Kapatİnovasyon katsayısı emeğin verimliliğini arttırmakta ve objelerin üretimi için gerekli süreyi kısaltmakta, “emeği çoğaltmaktadır”. Kapitalist ekonominin gelişimi boyunca, malların büyük çoğunluğunun değeri aşağı yukarı devamlı şekilde azalmıştır. Emeğin verimliliğini arttıran teknik gelişmeden dolayı, belirli bir objeyi üretmek için daha az emek süresi gerekmektedir. (...) Bir metanın değer büyüklüğü, o metada gerçekleşen emeğin miktarıyla doğru orantılı, üretkenliğiyle ters orantılı olarak değişir (Karl M, 1867, çev 2011).
İnsan Emeğinin Üretici Özelliği Dışındaki Diğer Özellikleri
Kapitalist toplumda malların metalaşmasına ek olarak insan emeğinin de metalaşması insan emeğinin üretim yeteneği dışındaki özelliklerinin de değeriyle ilgili algıyı etkilemiştir. İnsanın iş faaliyetinin üretim süreci ile ilgili olanına üretici emek, değer yaratan (ekonomik anlamda) emek denilebilir ancak insanın iş faaliyetleri arasında çocuklarına bakmak, zorunlu olduğu sosyal ilişkiler geliştirmek, yardımlaşmak, barınak koşullarını geliştirmek, eğitmek, öğrenmek, öğretmek vb. sosyal ve bireysel faaliyetleri “fayda yaratan” emek olarak tanımlanabilir. Bunlar bir ölçüde “hizmet” faaliyetleridir. Ancak belirleyici olanın üretim süreciyle ilgili olan iş faaliyeti olduğu da açıktır. Çünkü bu yapılmadığında topluluğun yaşamını sürdürmesi olanaksızdır. Ancak Dunbar sayısıyla sürece baktığımızda topluluğun yaşamını sürdürebilmesi için 1.2-3 güvenlik aralığının sağladığı bir olanakta topluluğun kimi bireylerinin zamanlarını topluluğun kendi iç gelişimi ve iyiliği için ayırabilmesidir. Eğitim ve öğretim gibi faaliyetlerin, çocuk bakımıyla ilgili faaliyetlerin insan emeğinin beyinleşme oranındaki artışla geliştirdiği “fazla”lıkların topluma katkısı olarak değerlendirebiliriz.
İnsan Emeğinin Artı-Değer Üretimi ile İlgili Bir Formülasyon
İnsanın yaşamını sürdürebilmesi için gerekli iş faaliyetlerinden yola çıktığımızda bu faaliyetin bir praksis olduğunu ve dolayısıyla zihinsel bir bileşeni bulunduğunu anlıyoruz. İnsanın beyinleşme katsayısı ve inovasyon yetisi ile bu faaliyetin, insan emeğinin kendisini yenilemek için gerekenden fazlasını üretebilecek bir güvenlik faktörü de taşıdığını söyleyebiliriz. İş faaliyeti belirli bir sürede yapılan faaliyettir. Günün tümünde yapılamaz. İnsanın biyolojik sınırlılıkları nedeniyle günlük belirli ritimler içinde ve ancak sınırlı bir sürede gerçekleştirilebilir. Acaba bu süre üretim ilişkisini tanımlayan bir formülasyon mümkün müdür?
Teorik olarak böylesi bir formülü tanımlamak mümkün görünüyor.
Toplumsal olarak gerekli emek-zamanı, herhangi bir kullanım değerini, toplumun o sıradaki normal üretim koşulları altında ortalama toplumsal hüner derecesi ve emek yoğunluğuyla elde edebilmek için gerekli olan emek-zamanıdır.” “Bütün metalar, değerler olarak yalnızca belirli miktardaki donmuş emek-zamanıdır (Marx K, 1867, çev 2011).
Dolayısıyla zaman ekseninde beyinleşme ve inovasyon katsayılarını içeren bir formülasyon yapabiliriz. İnsanın üretim süreci açma-kapama gibi çalışmayacağına göre faaliyetin başlaması ile logaritmik olarak artan ve kesilmesi ile yine logaritmik olarak azalan ve günlük ortalama çalışma süresi boyunca üretilen enerji miktarıyla ifade etmek mümkündür. Bu durumda insan emeğinin ürettiği enerji, Joule veya kalori = En*Log (k*t) ,k≥1, t;sn., En; Ensefalizasyon katsayısı, k; inovasyon katsayısı.
Bu durumda aşağıdakine benzer bir grafik elde edebiliriz (Şekil 3).

Bu grafikte X ekseninde saniye olarak iş faaliyetinin süresi gösterilmektedir. Y ekseninde ise belirli t zamanında üretilen enerji (joule veya kalori) gösterilmektedir. Ensefalizasyon (En) katsayılarına bağlı şekilde üretilen kalori miktarı yükselmektedir.
Şekil 4’te ise belirli bir süre iş faaliyeti sonrası BMR için gerekli enerji üretilmekte ve toplam üretilen enerji bireyin kendisini yeniden üretmesi için gerekli toplam miktarı oluşturmaktadır. İş faaliyetinin fizyolojik sınırlara kadar devam etmesi durumunda bireyin kendisi için gerekenden fazlasını ürettiği dönem başlamaktadır. Yani aslında artı-değer üretim dönemi denilebilir. Ensefalizasyon katsayısının artması ile güvenlik aralığının artışı görülmektedir. İnovasyon katsayısı da benzer şekilde BMR için gerekli iş süresini kısaltmakta ve faaliyet fizyolojik sınıra kadar devam ederse art-değer miktarı da artmaktadır.

Şekil 5’te ise GF’nin yani güvenlik faktörünün etkisi sembolik olarak gösterilmiştir. Ortalama insan emeğinin üretim kapasitesi ensefalizasyonla artmakta ve dolaysıyla BMR için gerekli miktarın üzerinde enerji üretimi yapılabilmekte ve dolayısıyla da artı-değer miktarı artmaktadır.

Kafa ve Kol Emeği Ayrımının Tehlikeleri
İnsan emeğinin bir praksis olması ve ürettiği enerji miktarıyla ilgili güvenlik aralığının beyinleşme ve inovasyon katsayıları ile ilişkisi insan emeğini kafa ve kol emeği olarak ayırmanın güçlüğünü/sakıncalarını göz önüne çıkarmaktadır. Ancak inovasyon katsayısı düşük veya inovasyon katsayısı yüksek olan insan emeğinden söz edebiliriz. Zihinsel bileşeni olmayan bir insan emeği yoktur. Günümüzde kafa emeği olarak görülmeye çalışılan ve beyaz yakalılar, mühendisler vb. şekilde tanımlanan insan emeğinin yüksek inovasyon katsayısı içeren emek olduğu dikkate alınmalıdır. Bu açıdan bakıldığında topluluğun emek süreçleri açısından insanlar ancak iş faaliyeti içinde bulunanlar ve bulunmayanlar olarak ikiye ayrılabilirler. Üretici iş faaliyetinde bulunanlar gerek kendilerinin gerekse de toplumun kendini yenilemesi için gerekli üretimi insan emeği ile yaparken, yine üretim süreci içinde ürettiği artı-değer ile bir kısım topluluk üyesinin toplumun üretim dışı faaliyetlerini sürdürmek için zaman bulabilmesini sağlamaktadırlar. Ancak burada antropoloji ve biyolojinin sınırlarını aşan toplum bilimin ekonomi politik dalının alanına girmiş olunuyor. Çünkü artı-değerin sahibi kimdir? Artı-değere kim el koyuyor? Artı-değeri hangi sınıf üretiyor? Artı-değere hangi sınıf sahip oluyor? Ücret nedir? Üretim sürecinin sonucu kime aittir gibi soruların denememizin sınırlarını aştığını söylemeliyiz. Ancak bu tür sorulara doğru ve anlaşılabilir yanıt verebilmek için insan emeğinin artı değer üretebilmesinin biyolojik kökeni üzerinde bilgi sahibi olmak gerektiği kanısındayız. Fiyat ve kar ile ilgili bir sürü yanılgının bu konudaki bilgi ve kavrayış eksikliğinden kaynaklanması mümkündür.
Sonuç
Bu denemede toplum bilimlerinin bir sorusunun doğa bilimlerinin bir kavramı ile açıklayabileceği gösterilmeye çalışılmıştır. Artı-değer gibi bir iktisadi/toplum bilimi kavramının kökeni insan biyolojisinin insan nörobiyolojisinin kavramları ile açıklanabileceği ileri sürülmektedir. İnsan emeği bir praksis olarak, zekâsıyla, enerji tüketerek kullanım değerleri/metalar üretir. Üretim sürecinde objeye eklenen gerçekten de bir “değer”dir. Üretim sürecindeki birey hem kendisini yenilemek için gerekli değeri hem de iş faaliyetinin sonucunda, iş gününün sonunda kendisine ödenen değerden fazlasını da ürettiği objeye ekler. İnsan emeği dolayısıyla yaratıcıdır.
Evrim Ağacı'nda tek bir hedefimiz var: Bilimsel gerçekleri en doğru, tarafsız ve kolay anlaşılır şekilde Türkiye'ye ulaştırmak. Ancak tahmin edebileceğiniz gibi Türkiye'de bilim anlatmak hiç kolay bir iş değil; hele ki bir yandan ekonomik bir hayatta kalma mücadelesi verirken...
O nedenle sizin desteklerinize ihtiyacımız var. Eğer yazılarımızı okuyanların %1'i bize bütçesinin elverdiği kadar destek olmayı seçseydi, bir daha tek bir reklam göstermeden Evrim Ağacı'nın bütün bilim iletişimi faaliyetlerini sürdürebilirdik. Bir düşünün: sadece %1'i...
O %1'i inşa etmemize yardım eder misiniz? Evrim Ağacı Premium üyesi olarak, ekibimizin size ve Türkiye'ye bilimi daha etkili ve profesyonel bir şekilde ulaştırmamızı mümkün kılmış olacaksınız. Ayrıca size olan minnetimizin bir ifadesi olarak, çok sayıda ayrıcalığa erişim sağlayacaksınız.
Makalelerimizin bilimsel gerçekleri doğru bir şekilde yansıtması için en üst düzey çabayı gösteriyoruz. Gözünüze doğru gelmeyen bir şey varsa, mümkünse güvenilir kaynaklarınızla birlikte bize ulaşın!
Bu makalemizle ilgili merak ettiğin bir şey mi var? Buraya tıklayarak sorabilirsin.
İlgili Sorular
Soru & Cevap Platformuna Git- 5
- 4
- 4
- 1
- 0
- 0
- 0
- 0
- 0
- 0
- 0
- 0
- J. E. Hall, et al. (2000). Textbook Of Medical Physiology. ISBN: B000NAVJ5W. Yayınevi: W. B. Saunders Company.
- I. Asimov. (2006). Bilim Ve Buluşlar Tarihi. ISBN: 975533419x. Yayınevi: İmge Yayınevi.
- W. W. Campbell. (2012). Dejong's The Neurologic Examination. ISBN: 1451109202. Yayınevi: LWW.
- C. J. Henry. (2005). Basal Metabolic Rate Studies In Humans: Measurement And Development Of New Equations. Public Health Nutrition, sf: 1133-1152. | Arşiv Bağlantısı
- J. Diamond. (1995). Safety Factors In Biological Systems: Molecules, Organs And Evolutionary Systems. Mathematical Social Sciences, sf: 207-334. | Arşiv Bağlantısı
- J. Diamond. (2004). Quantitative Evolutionary Design. Journal of Physiology, sf: 337-345. | Arşiv Bağlantısı
- H. Denis. (1965). Kapitalizm Ve Değer. Yayınevi: Sol Yayınları.
- R. I. M. Dumbar. (2008). Why Humans Aren’t Just Great Apes1. Issues in Ethnology and Anthropology, sf: 15-33. | Arşiv Bağlantısı
- P. Freire. (2018). Ezilenlerin Pedagojisi. ISBN: 9755390901. Yayınevi: Ayrıntı Yayınevi.
- P. Gluckman. (2009). Principles Of Evolutionary Medicine. ISBN: 0199236399. Yayınevi: Oxford University Press.
- J. A. Harris, et al. (1918). A Biometric Study Of Human Basal Metabolism. PNAS, sf: 370-373. | Arşiv Bağlantısı
- K. M. Heilman, et al. (2011). Clinical Neuropsychology. ISBN: 0195384873. Yayınevi: Oxford University Press.
- S. H. Johnson-Frey. (2004). The Neural Bases Of Complex Tool Use In Humans. Trends in Cognitive Sciences, sf: 71-78. | Arşiv Bağlantısı
- D. H. Jacobs. (1999). Apraxia In Corticobasal Degeneration. Brain and Cognition, sf: 336-354. | Arşiv Bağlantısı
- G. Roth, et al. (2005). Evolution Of The Brain And Intelligence. Trends in Cognitive Sciences, sf: 250-257. | Arşiv Bağlantısı
- E. R. Kandel, et al. (2012). Principles Of Neural Science. ISBN: 9780071390118. Yayınevi: McGraw-Hill Education.
- M. Kleiber. (1947). Body Size And Metabolic Rate. Psychological Review, sf: 511-541. | Arşiv Bağlantısı
- I. Kuçuradi. (2013). İnsan Ve Değerleri (Değer Problemi). ISBN: 9789757748196. Yayınevi: Türkiye Felsefe Kurumu Yayınları.
- D. J. Chivers, et al. (1982). Food Acquisition And Processing In Primates. ISBN: 978-1-4757-5244-1. Yayınevi: Plenum Press.
- K. Marx. (1965). Kapital. ISBN: 978-975-7399-12-4. Yayınevi: Sol Yayınları.
- K. Marx, et al. (1976). Seçme Yapıtlar. Yayınevi: Sol Yayınları.
- M. D. Mifflin, et al. (1990). A New Predictive Equation For Resting Energy Expenditure In Healthy Individuals. The American Journal of Clinical Nutrition. | Arşiv Bağlantısı
- D. J. Povinelli. (2003). Folk Physics For Apes: The Chimpanzee's Theory Of How The World Works. ISBN: 0198572190. Yayınevi: Oxford University Press.
- S. Sircar. (2013). Principles Of Medical Physiology. ISBN: 9382076530. Yayınevi: Thieme.
- P. T. Schoenemann. (2004). Brain Size Scaling And Body Composition In Mammals. Brain Behavior Evolution, sf: 47-60. | Arşiv Bağlantısı
- E. Schrödinger, et al. (1999). Yaşam Nedir?. ISBN: 9789755030760. Yayınevi: Evrim Yayınevi.
- A. Şenel. (2017). 50 Soruda Bilim Ve Bilimsel Yöntem. ISBN: 978-605-5888-25-1. Yayınevi: Bilim ve Gelecek Kitaplığı.
- M. Tomasello. (1999). The Human Adaptation For Culture. Annual Review of Anthropology, sf: 509-529. | Arşiv Bağlantısı
Evrim Ağacı'na her ay sadece 1 kahve ısmarlayarak destek olmak ister misiniz?
Şu iki siteden birini kullanarak şimdi destek olabilirsiniz:
kreosus.com/evrimagaci | patreon.com/evrimagaci
Çıktı Bilgisi: Bu sayfa, Evrim Ağacı yazdırma aracı kullanılarak 18/10/2025 17:55:34 tarihinde oluşturulmuştur. Evrim Ağacı'ndaki içeriklerin tamamı, birden fazla editör tarafından, durmaksızın elden geçirilmekte, güncellenmekte ve geliştirilmektedir. Dolayısıyla bu çıktının alındığı tarihten sonra yapılan güncellemeleri görmek ve bu içeriğin en güncel halini okumak için lütfen şu adrese gidiniz: https://evrimagaci.org/s/7779
İçerik Kullanım İzinleri: Evrim Ağacı'ndaki yazılı içerikler orijinallerine hiçbir şekilde dokunulmadığı müddetçe izin alınmaksızın paylaşılabilir, kopyalanabilir, yapıştırılabilir, çoğaltılabilir, basılabilir, dağıtılabilir, yayılabilir, alıntılanabilir. Ancak bu içeriklerin hiçbiri izin alınmaksızın değiştirilemez ve değiştirilmiş halleri Evrim Ağacı'na aitmiş gibi sunulamaz. Benzer şekilde, içeriklerin hiçbiri, söz konusu içeriğin açıkça belirtilmiş yazarlarından ve Evrim Ağacı'ndan başkasına aitmiş gibi sunulamaz. Bu sayfa izin alınmaksızın düzenlenemez, Evrim Ağacı logosu, yazar/editör bilgileri ve içeriğin diğer kısımları izin alınmaksızın değiştirilemez veya kaldırılamaz.