Gabriel Amin Sentezi Nedir? Amaç Birincil Amin Sentezlemek Olduğunda Alkilleme Tepkimesi Neden Yeterli Değildir?

- Özgün
- Organik Kimya
Bu Makalede Neler Öğreneceksiniz?
- Alkilleme tepkimesi, amonyak ve alkil halojenürün S_N2 mekanizmasıyla reaksiyona girerek birincil amin oluşturmasını sağlar.
- Alkilleme tepkimesinde oluşan birincil amin, daha reaktif olduğu için ikincil ve üçüncül aminlere dönüşerek istenen ürünü azaltır.
- Gabriel sentezi, birincil aminlerin saf ve verimli şekilde sentezlenmesi için alkilleme tepkimesine alternatif olarak geliştirilmiştir.
Bu yöntem, 1887 yılında Alman kimyager Sigmund Gabriel tarafından keşfedilmiştir. Sadece birincil amin yapımında kullanılabildiği için kısıtlı kullanımı olmakla birlikte, tarihsel olarak önemi büyüktür. Birincil amin, bir alkil grubuna bağlı azot atomu ve iki hidrojenden oluşan, dört yüzlü geometride bulunan bir moleküldür. R harfinin alkil grubunu temsil ettiği kimyasal notasyonla, birincil aminleri RNH2 olarak gösterebiliriz. Bu yöntemi detaylıca incelemeden önce, neden bu tarz bir yönteme ihtiyacımız olduğuna bakalım.
Alkilleme Tepkimesi
Alkilleme tepkimesi, basit bir SN2 tepkimesidir. Amonyak ve alkil halojenür tepkimeye girerek alkillenmiş amin oluşturur. Bu tepkime azotun sahip olduğu ortaklanmamış elektron çifti sayesinde gerçekleşir. Alkilleme tepkimesinin mekanizmasını aşağıdaki şekilde gösterebiliriz.

İlk adımda azot, nükleofilik saldırı yaparak kısmi pozitif yüklü karbona saldırır. Bu aşamada çok kısa bir süre için karbonun 5 bağ yaptığı geçiş durumu oluşur ve daha sonra brom ayrılarak ara ürünü oluşturur. Daha sonra bir amonyak molekülü aminyum iyonundan bir hidrojen koparır ve birincil amin oluşur.
İstediğimiz ürünü basit bir SN2 tepkimesiyle elde ettiğimize göre neden Gabriel sentezi gibi yöntemlere ihtiyacımız olduğunu düşünebilirsiniz. Her şey güzel gözükse de sıkıntı, ortaya çıkan ürünü incelediğimizde görülebilir. Alkil grupları elektron verici olduğu için, ortaya çıkan ürün, SN2 tepkimesi için amonyaktan daha reaktiftir. Bundan dolayı tepkimeden ürün olarak çıkan birincil amin, tekrardan alkil halojenüre nükleofilik saldırı yapar ve ikincil amin oluşur.

Ortaya çıkan ikincil amin, birincil aminden daha reaktiftir ve aynı şekilde tepkimeye girerek üçüncül amin oluşturur. Biz birincil amin yapmayı denerken, alkilleme tepkimemiz üç ürün oluşturmuştur ve bu üç üründen en az oluşan birincil amindir.

Birincil amin sentezini alkilleme tepkimesiyle yapmak istiyorsak o kadar fazla amonyak koymamız gerekir ki alkil halojenürler birincil aminler oluştuğunda çoktan harcanmış olmalıdır. Bu sayede oluşan ürün tekrar tepkimeye giremez ve birincil amin olarak kalır. Bu yöntem çok verimsiz olduğu için alternatif yöntemlere başvurmamız gerekir.
Gabriel Sentezi
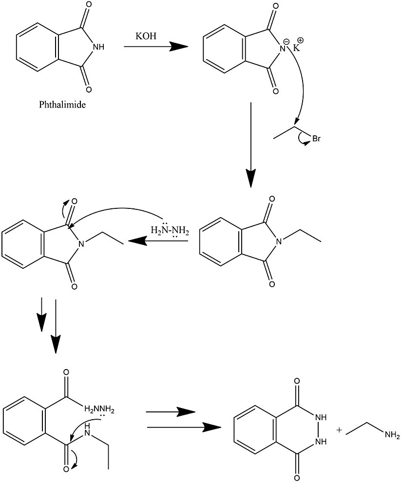
Gabriel sentezi, ftalimit (phthalimide) ya da IUPAC adıyla 1,3-Dihydro-1,3-dioxoisoindole kullanılarak yapılır. Ftalimit kullanımı reaksiyonun devam etmesini engeller, çünkü elektron çeken gruplar ortaya çıkan ürünün nükleofilik saldırı yapma ihtimalini azaltmaktadır. Gabriel sentezinin mekanizmasını aşağıdaki şekilde gösterebiliriz.

Verilen mekanizmayı adım adım inceleyelim.
- Ftalimit molekülünün güçlü bir baz ile tepkimeye girmesi ve bazik tuz oluşması.
- Oluşan tuzun SN2 tepkimesinde nükleofil olarak davranıp alkil halojenüre saldırır ve brom ayrılır.
- Bu adım çeşitli şekillerde gerçekleştirilebilir, fakat genellikle hidrazin adı verilen ve kimyasal formülü H2NNH2 olarak gösterilen baz kullanılır. Bu molekül kısmi pozitif olan karbonil karbonuna nükleofilik saldırı yapar ve okların kaymasıyla karbonil açılıp kapanır. Buradaki iki ok birden fazla adımı göstermektedir.
- Hidrazin molekülündeki diğer azot tekrardan karbonile nükleofilik saldırı yapar ve karbonilin açılıp kapanması sonucu birincil amin serbest kalmış olur.
Çeşitli kimyasalları değiştirerek bu tepkimeyi yürütmek mümkündür. Başlangıç için ftalimit molekülüne benzeyen bazı imido nükleofiller kullanılabilir. 3. adımda hidrazin yerine asit kullanılarak asidik hidroliz yapılabilir.
Evrim Ağacı'nda tek bir hedefimiz var: Bilimsel gerçekleri en doğru, tarafsız ve kolay anlaşılır şekilde Türkiye'ye ulaştırmak. Ancak tahmin edebileceğiniz gibi Türkiye'de bilim anlatmak hiç kolay bir iş değil; hele ki bir yandan ekonomik bir hayatta kalma mücadelesi verirken...
O nedenle sizin desteklerinize ihtiyacımız var. Eğer yazılarımızı okuyanların %1'i bize bütçesinin elverdiği kadar destek olmayı seçseydi, bir daha tek bir reklam göstermeden Evrim Ağacı'nın bütün bilim iletişimi faaliyetlerini sürdürebilirdik. Bir düşünün: sadece %1'i...
O %1'i inşa etmemize yardım eder misiniz? Evrim Ağacı Premium üyesi olarak, ekibimizin size ve Türkiye'ye bilimi daha etkili ve profesyonel bir şekilde ulaştırmamızı mümkün kılmış olacaksınız. Ayrıca size olan minnetimizin bir ifadesi olarak, çok sayıda ayrıcalığa erişim sağlayacaksınız.
Makalelerimizin bilimsel gerçekleri doğru bir şekilde yansıtması için en üst düzey çabayı gösteriyoruz. Gözünüze doğru gelmeyen bir şey varsa, mümkünse güvenilir kaynaklarınızla birlikte bize ulaşın!
Bu makalemizle ilgili merak ettiğin bir şey mi var? Buraya tıklayarak sorabilirsin.
Soru & Cevap Platformuna Git- 1
- 1
- 1
- 0
- 0
- 0
- 0
- 0
- 0
- 0
- 0
- 0
- T. W. G. Solomons, et al. Solomons′ Organic Chemistry. ISBN: 9781119248972.
- Master Organic Chemistry. The Gabriel Synthesis – Master Organic Chemistry. (31 Ocak 2018). Alındığı Yer: Master Organic Chemistry | Arşiv Bağlantısı
- www.organic-chemistry.org. Gabriel Synthesis. Alındığı Yer: www.organic-chemistry.org | Arşiv Bağlantısı
Evrim Ağacı'na her ay sadece 1 kahve ısmarlayarak destek olmak ister misiniz?
Şu iki siteden birini kullanarak şimdi destek olabilirsiniz:
kreosus.com/evrimagaci | patreon.com/evrimagaci
Çıktı Bilgisi: Bu sayfa, Evrim Ağacı yazdırma aracı kullanılarak 16/10/2025 12:13:28 tarihinde oluşturulmuştur. Evrim Ağacı'ndaki içeriklerin tamamı, birden fazla editör tarafından, durmaksızın elden geçirilmekte, güncellenmekte ve geliştirilmektedir. Dolayısıyla bu çıktının alındığı tarihten sonra yapılan güncellemeleri görmek ve bu içeriğin en güncel halini okumak için lütfen şu adrese gidiniz: https://evrimagaci.org/s/11857
İçerik Kullanım İzinleri: Evrim Ağacı'ndaki yazılı içerikler orijinallerine hiçbir şekilde dokunulmadığı müddetçe izin alınmaksızın paylaşılabilir, kopyalanabilir, yapıştırılabilir, çoğaltılabilir, basılabilir, dağıtılabilir, yayılabilir, alıntılanabilir. Ancak bu içeriklerin hiçbiri izin alınmaksızın değiştirilemez ve değiştirilmiş halleri Evrim Ağacı'na aitmiş gibi sunulamaz. Benzer şekilde, içeriklerin hiçbiri, söz konusu içeriğin açıkça belirtilmiş yazarlarından ve Evrim Ağacı'ndan başkasına aitmiş gibi sunulamaz. Bu sayfa izin alınmaksızın düzenlenemez, Evrim Ağacı logosu, yazar/editör bilgileri ve içeriğin diğer kısımları izin alınmaksızın değiştirilemez veya kaldırılamaz.