Fourier Dönüşümü: İnternette Müzik ve Fotoğraf Paylaşımını Mümkün Kılan Matematik!

Bu Makalede Neler Öğreneceksiniz?
- Explain Fourier Transform enables rapid analysis of signal frequencies, underpinning technologies like digital music streaming, image compression, and noise-canceling headphones.
- Describe Baron Jean-Baptiste-Joseph Fourier developed the transform in 1822 to study heat transfer, discovering complex signals can be decomposed as sums of sine waves.
- Illustrate Fourier's insight with musical notes example, where pressing multiple piano keys creates complex waves composed of simple sinusoidal frequencies.
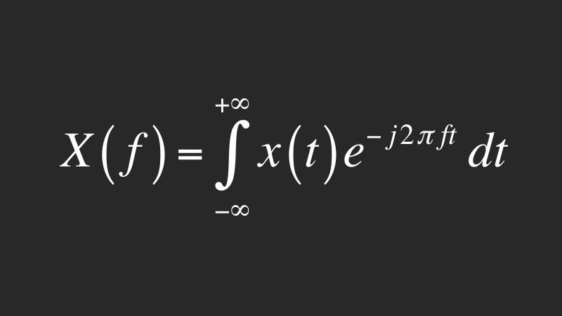
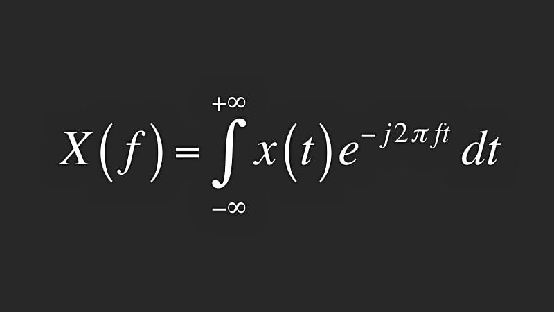
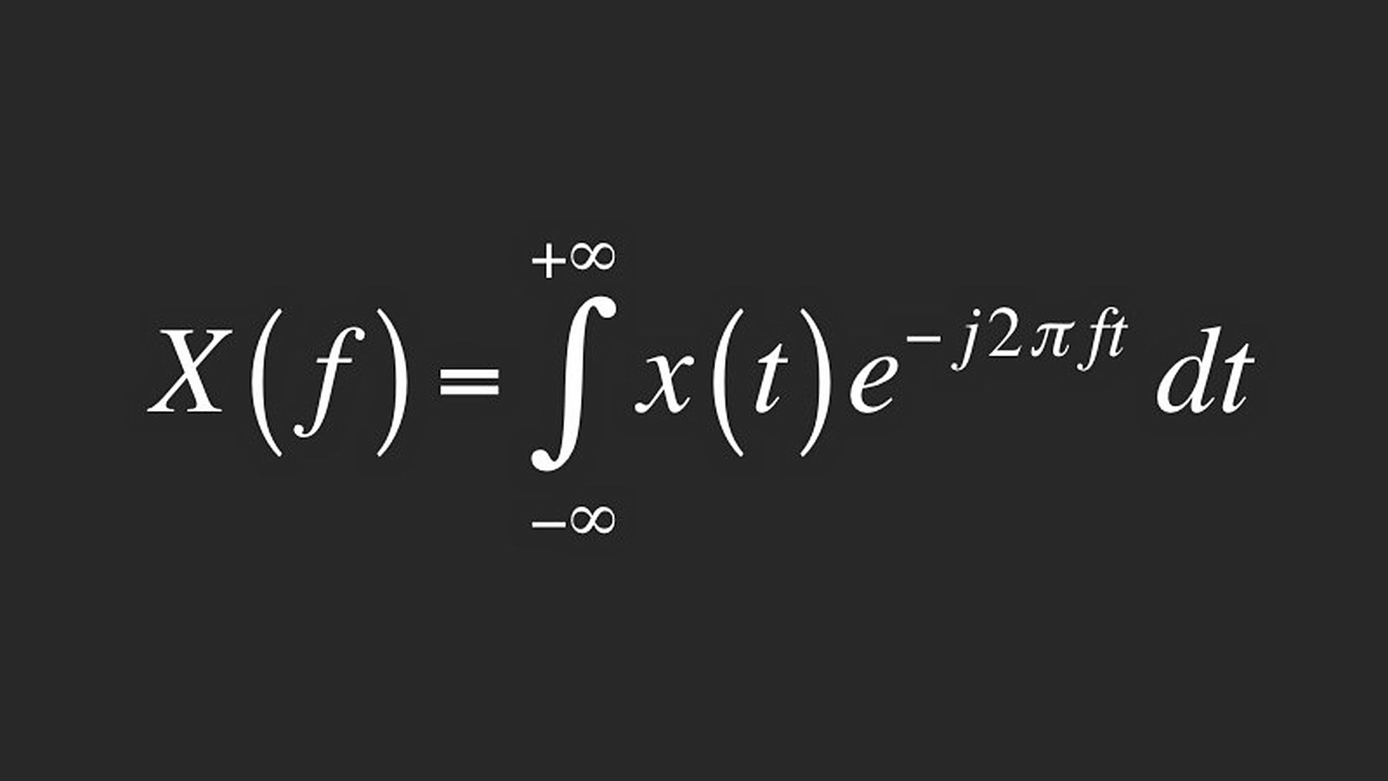
Görselde gördüğünüz, Fourier Dönüşümü (İng: Fourier Transform). Eğer Spotify, iTunes, Google Music tarzı servisleri kullanarak müzik dinliyorsanız, bu matematiksel formüle teşekkür edebilirsiniz. Hatta internette gördüğünüz fotoğrafları minik JPG formatına dönüştüren de bu denklem. Ha bir de ses geçirmez (veya ses sıfırlayıcı) kulaklıklarınızın çalışmasını sağlayan da bu denklem. Gelin nasıl çalıştığına bir bakalım.
Bu formül, matematikçilerin bir sinyalin ne tür frekanslara sahip olduğunu hızlıca anlamasını mümkün kılmaktadır. Bu çok önemli bir özellik. Ama biz diyoruz diye değil: 1867 yılında, fizikçi Lord Kelvin, bu matematiksel denkleme olan aşkını ilan etmişti:
Fourier'in Teoremi, modern analizin en güzel sonuçlarından biri olmakla kalmıyor; aynı zamanda modern fizikte en az anlaşılan birçok soruya yaklaşmamızda bize vazgeçilmez bir araç sunuyor.
Matematik Bizi Ayırana Dek
Fourier Dönüşümü, belki de şaşırtıcı olmayan bir şekilde, matematikçi Baron Jean-Baptiste-Joseph Fourier tarafından geliştirildi ve 1822'de yazdığı Isının Analitik Teorisi isimli kitabında yayınlandı. Baron, ısının malzemeler içinde ve etrafında nasıl aktığıyla ilgileniyordu. Bu olguyu çalışırken, bu dönüşüm formülünü geliştirdi. O zamanlarda bu formülün bilime ne kadar büyük bir katkı sağlayacağının farkında değildi. Sadece matematik veya fizikten söz etmiyoruz. Bilimin genelinden, mühendislikten, hatta teknolojiden de söz ediyoruz.
Baron'un asıl büyük başarısı, karmaşık sinyallerin çok daha basit sinyallerin birbirine eklenmesiyle elde edilebileceğini fark etmesiydi. Bunu, sinüsoid denen dalgalarla yapmayı tercih etti. Bunlar, lise sıralarında öğrendiğiniz, düzenli şekilde dalgalanan sinyaller ve türevleri.
Diyelim ki bir piyanonun tuşlarından üçüne aynı anda bastınız. Bu durumda, 3 ayrı nota üretirsiniz. Bunların her birinin iyi tanımlanmış frekansları vardır. Bu frekanslara müzikte perde diyoruz. Bu perdelerin her biri, aşağıdaki gibi sevimli sinüs dalgalarından ibarettir.

Ancak bu dalgaları birbirine eklediğinizde, çok daha ürkütücü olan şu dalgayı elde edersiniz:

Bu dalga karmakarışık gözükür; ancak aslında çok basit üç sinüs dalgasının zaman ekseninde toplanmasından ibarettir. Fourier'in dehası, son derece karmaşık dalgaların bile sinüs dalgalarının toplamı olarak ifade edilebileceğini göstermesiydi; kimi zaman sonsuz sayıda basit yapılı sinüs dalgası kullanmak gerekse bile! Bunun en büyük katkısı ise şu: Sonunda elde etmeyi istediğimiz sinyali oluşturmak için kaç tane ve ne frekanslarda sinüs dalgası kullanmak gerektiğini tespit etmek oldukça kolaydır. Bu bilgiye sahipseniz, son ürün olarak üreteceğiniz dalganın tam frekansını da kesin bir şekilde bilebilirsiniz.
İşte bu yazının başındaki formülün bir adımda yaptığı da tam olarak budur. Formüldeki x(t)x(t) terimi, daha basit dalgalar kullanarak elde etmeye çalıştığınız büyük, karmaşık sinyali ifade eder. e−jπ2fte^{-j\pi2ft} terimi biraz ürkütücüdür; ancak aslında tek yaptığı şey, yazının başından beri sözünü ettiğimiz sinüsoidleri kısaca temsil etmek için matematikçilerin kullandığı bir matematiksel ifadeden ibarettir. İşin güzel tarafı, bu ikisini çarpıp, bir integralin içine aldığınızda, denklemi kullanarak bir sinyali temsil etmek istediğiniz her bir sinüsoid frekans parçasını seçmeniz mümkün olur. Dolayısıyla denklemin sonucu olan X(f)X(f), birbirine eklemeniz gereken her bir basit sinyalin büyüklüğünü ve zamansal olarak gecikme miktarını size verir.
İşte bu, Fourier Dönüşümü'dür: Orijinal sinyal içinde tam olarak hangi frekansların bulunduğunu açıklamamızı sağlayan bir fonksiyon! Bu kulağa basit gelebilir. Ama değil.
Fourier Dönüşümü Sayesinde Dijital Veri İletiminde Devrim!
Diyelim ki internet üzerinden müzik yayını yapan bir firma sahibisiniz. Bir kayıt firması, bir müziği kaydettiğinde elde ettiği dosyayı bütün dinleyicilere aynen aktarabilirdiniz. Ancak bu dosya o kadar büyük olacaktır ki, internetin bant genişliği bunun için yeterli olmayacaktır. Çünkü müzik kayıtları yapılırken, hiçbir verinin kaybedilmemesi ve sesin her detayının kaydedilmesi hedeflenir. Müzik enstrümanlarından gelen her bir frekans kaydedilir ve "miksleme" denen süreç sonrasında tek bir müzik dosyasına dönüştürülür. Herhangi bir müziğin ufak bir kısmına Fourier Dönüşümü uygulayacak olursanız, bazı frekans parçalarının aşırı güçlü, bazı diğerlerininse oldukça sönük etkiye sahip olduğunu görebilirsiniz.

MP3 müzik dosyası tam da bunu yapar. Ancak bunu yaparken, o sönük frekansları veya duyma aralığımızın dışındaki frekansları müzikten çıkararak boyutunu düşürüyor. Bunu, şarkının sadece bir kısmında değil, tamamında yapıyor. Bunu yapmak için müziği milyonlarca ufak parçalaya bölüyor, en önemli frekans parçalarını tespit ediyor, gereksiz olanları eliyor ve işlemi tamamlıyor. Bu işlemden geriye kalan, müziğin en önemli frekansları, yani notaları oluyor. Geri kalanı çaldığınızda, beyniniz orijinalinden farkını neredeyse hiç ayırt edemiyor. En önemlisi ise, dosya boyutu 10 kat kadar azalmış oluyor.
Aslında maddi destek istememizin nedeni çok basit: Çünkü Evrim Ağacı, bizim tek mesleğimiz, tek gelir kaynağımız. Birçoklarının aksine bizler, sosyal medyada gördüğünüz makale ve videolarımızı hobi olarak, mesleğimizden arta kalan zamanlarda yapmıyoruz. Dolayısıyla bu işi sürdürebilmek için gelir elde etmemiz gerekiyor.
Bunda elbette ki hiçbir sakınca yok; kimin, ne şartlar altında yayın yapmayı seçtiği büyük oranda bir tercih meselesi. Ne var ki biz, eğer ana mesleklerimizi icra edecek olursak (yani kendi mesleğimiz doğrultusunda bir iş sahibi olursak) Evrim Ağacı'na zaman ayıramayacağımızı, ayakta tutamayacağımızı biliyoruz. Çünkü az sonra detaylarını vereceğimiz üzere, Evrim Ağacı sosyal medyada denk geldiğiniz makale ve videolardan çok daha büyük, kapsamlı ve aşırı zaman alan bir bilim platformu projesi. Bu nedenle bizler, meslek olarak Evrim Ağacı'nı seçtik.
Eğer hem Evrim Ağacı'ndan hayatımızı idame ettirecek, mesleklerimizi bırakmayı en azından kısmen meşrulaştıracak ve mantıklı kılacak kadar bir gelir kaynağı elde edemezsek, mecburen Evrim Ağacı'nı bırakıp, kendi mesleklerimize döneceğiz. Ama bunu istemiyoruz ve bu nedenle didiniyoruz.
Spotify, Shazam ve Kulaklıklarınız
Spotify'ı ele alalım. Spotify, masaüstü sunucularında Ogg Vorbis adı verilen bir dosya tipi kullanıyor. Vorbis, Fourier Dönüşümü'nün ışık hızındaki versiyonu olan Ayrık Kosinüs Dönüşümü denen bir formül kullanıyor. Bunun yaptığı da özünde aynı.
Şansa bakın ki meşhur şarkı tespit yazılımı Shazam da aynı yaklaşımı kullanıyor. Shazam'ın belirli frekanslardan oluşan bir veritabanı var ve siz ona bir şarkıyı dinlettiğinizde, şarkının sadece spesifik freakanslarını bu veritabanı ile kıyaslayıp uyuşan şarkıyı buluyor. Çünkü bu, tüm şarkıyı veritabanıyla kıyaslamaya göre çok daha hızlı ve isabetli.

Hazır ses dosyalarından bahsetmişken... Ses sıfırlayıcı (İng: "noise-cancelling") kulaklıklarınız da Fourier Dönüşümü'nü kullanıyor. Bir mikrofon, etrafınızdaki gürültüyü kaydediyor, sonrasında kulaklık bütün ses spektrumundaki frekansları analiz ediyor ve müziğinize buna uygun frekanslar ekleyerek ağlayan bebeklerin veya yoldan gelen gürültünün seslerinin size ulaşmasına engel oluyor.
Ses Harici Alanlarda Fourier Dönüşümü
Ancak Fourier Dönüşümü tek bir numaradan ibaret değil. Şu ana kadar sadece ses sinyallerinden bahsettik. Ancak hatırlayacak olursanız bu formülün geliştirilmesini sağlayan saha, ısının malzemeler boyunca nasıl hareket ettiğine yönelik çalışmalardı. Yani bu yaklaşım, uzamsal konularda da aynen çalışabiliyor. Fourier için bu, 2 boyutlu ısı dalgalarını kullanarak çok daha karmaşık ısı hareketlerini modelleyebilmek anlamına geliyordu. Ancak bu yaklaşımı aynen kullanarak, dijital fotoğrafları da piksel piksel oluşturmaktan çok daha etkili yöntemler geliştirmemiz mümkün.
Kayıpsız dijital fotoğraflar her bir pikselin renk bilgisini ayrı ayrı depolar. Bu dosyayı JPG olarak kaydettiğinizde, bütün fotoğraf ufak parçalara bölünür ve bu blokların 2 boyutlu Fourier Dönüşümleri alınır. Bu, fotoğrafın renk ve parlaklığının, fotoğraf boyunca dağılımının uzamsal frekanslarını verir. Tıpkı MP3 örneğinde olduğu gibi, JPG de bazı yüksek frekanslı parçaları atar. Bu parçalar görsele keskinlik ve netlik veren frekanslardır. Ancak birçoklarımız için bu renk farklarını algılamak neredeyse imkansızdır; dolayısıyla pikseller arasındaki ufak farkları veren frekanslardan kurtulmak, görselin kalitesini dikkate değer miktarda azaltmaz. Ancak elbette bunu abartacak olursanız, görselin kalitesi de düşecek ve bazı kısımları bariz şekilde bloklara ayrılmış gibi gözükecektir.

En iyi eğitilmiş gözlere ve kulaklara bile MP3 ve JPG dosyalarının yarattığı fark oldukça az gözükür. Ses ve görüntü harikadır; ancak orijinal dosyaya göre çok ama çok daha ufaktırlar. Bir diğer deyişle, Fourier Dönüşümü modern ve dijital fotoğrafları ve müzik dosyalarını patik hale getirir. Bu sayede onları kolaylıkla paylaşabiliriz.
Düşünecek olursanız tüm bunlar, ufacık bir denklem için fazlasıyla etkileyicidir.
Evrim Ağacı'nda tek bir hedefimiz var: Bilimsel gerçekleri en doğru, tarafsız ve kolay anlaşılır şekilde Türkiye'ye ulaştırmak. Ancak tahmin edebileceğiniz gibi Türkiye'de bilim anlatmak hiç kolay bir iş değil; hele ki bir yandan ekonomik bir hayatta kalma mücadelesi verirken...
O nedenle sizin desteklerinize ihtiyacımız var. Eğer yazılarımızı okuyanların %1'i bize bütçesinin elverdiği kadar destek olmayı seçseydi, bir daha tek bir reklam göstermeden Evrim Ağacı'nın bütün bilim iletişimi faaliyetlerini sürdürebilirdik. Bir düşünün: sadece %1'i...
O %1'i inşa etmemize yardım eder misiniz? Evrim Ağacı Premium üyesi olarak, ekibimizin size ve Türkiye'ye bilimi daha etkili ve profesyonel bir şekilde ulaştırmamızı mümkün kılmış olacaksınız. Ayrıca size olan minnetimizin bir ifadesi olarak, çok sayıda ayrıcalığa erişim sağlayacaksınız.
Makalelerimizin bilimsel gerçekleri doğru bir şekilde yansıtması için en üst düzey çabayı gösteriyoruz. Gözünüze doğru gelmeyen bir şey varsa, mümkünse güvenilir kaynaklarınızla birlikte bize ulaşın!
Bu makalemizle ilgili merak ettiğin bir şey mi var? Buraya tıklayarak sorabilirsin.
Soru & Cevap Platformuna Git- 27
- 21
- 15
- 8
- 6
- 4
- 2
- 0
- 0
- 0
- 0
- 0
- Türev İçerik Kaynağı: Gizmodo | Arşiv Bağlantısı
Evrim Ağacı'na her ay sadece 1 kahve ısmarlayarak destek olmak ister misiniz?
Şu iki siteden birini kullanarak şimdi destek olabilirsiniz:
kreosus.com/evrimagaci | patreon.com/evrimagaci
Çıktı Bilgisi: Bu sayfa, Evrim Ağacı yazdırma aracı kullanılarak 22/10/2025 22:00:11 tarihinde oluşturulmuştur. Evrim Ağacı'ndaki içeriklerin tamamı, birden fazla editör tarafından, durmaksızın elden geçirilmekte, güncellenmekte ve geliştirilmektedir. Dolayısıyla bu çıktının alındığı tarihten sonra yapılan güncellemeleri görmek ve bu içeriğin en güncel halini okumak için lütfen şu adrese gidiniz: https://evrimagaci.org/s/7728
İçerik Kullanım İzinleri: Evrim Ağacı'ndaki yazılı içerikler orijinallerine hiçbir şekilde dokunulmadığı müddetçe izin alınmaksızın paylaşılabilir, kopyalanabilir, yapıştırılabilir, çoğaltılabilir, basılabilir, dağıtılabilir, yayılabilir, alıntılanabilir. Ancak bu içeriklerin hiçbiri izin alınmaksızın değiştirilemez ve değiştirilmiş halleri Evrim Ağacı'na aitmiş gibi sunulamaz. Benzer şekilde, içeriklerin hiçbiri, söz konusu içeriğin açıkça belirtilmiş yazarlarından ve Evrim Ağacı'ndan başkasına aitmiş gibi sunulamaz. Bu sayfa izin alınmaksızın düzenlenemez, Evrim Ağacı logosu, yazar/editör bilgileri ve içeriğin diğer kısımları izin alınmaksızın değiştirilemez veya kaldırılamaz.