Evrim Ağacı Yazarları İçin KaTeX Kullanım Kılavuzu

- Özgün
- Evrim Ağacı Sistemleri
Bu Makalede Neler Öğreneceksiniz?
- Evrim Ağacı uses the KaTeX library to write and compile mathematical formulas on its platform.
- The document provides detailed information and tips about using KaTeX effectively.
- KaTeX is introduced with background information to help users understand its purpose and functionality.
Evrim Ağacı'nda matematik formüllerini yazmakta ve derlemekte KaTeX (KaTeX\KaTeX) kütüphanesi kullanılmaktadır. Bu dokümanda, KaTeX\KaTeX kullanımıyla ilgili detayları ve bazı ipuçlarını öğreneceksiniz.
KaTeX Nedir?
Başlamadan önce biraz arka plan bilgisi vermek gerekirse: KaTeX\KaTeX, daha popüler kuzeni LaTeX\LaTeX'in bütün arayüzüne ihtiyaç olmaksızın internet, bilgisayar ve mobil cihazlar üzerinde TeX\TeX formatında yazılmış matematik formüllerini derleyebilen son derece hızlı bir JavaScript kütüphanesidir. Khan Academy tarafından açık kaynak olarak geliştirilmiştir.
TeX\TeX, Amerikalı bilgisayar bilimci, matematikçi ve Stanford Üniversitesi ayrıcalıklı profesörlerinden Donald Knuth tarafından geliştirilmiş bir matematik yazım sistemidir. Günümüzde özellikle matematikçiler, bilgisayar bilimciler, ekonomistler, politik bilimciler, mühendisler, dilbilimciler, fizikçiler, istatistikçiler ve nicel psikologlar olmak üzere çok sayıda bilim dalında yaygın olarak kullanılan dil, günümüzdeki en gelişmiş yazım sistemlerinden biri olarak kabul edilmektedir ve ilk olarak 1978 senesinde yayınlanmıştır.
KaTeX\KaTeX, matematiksel formülleri derleme anlamında LaTeX\LaTeX'in pratik olarak bütün özelliklerine sahiptir; ancak LaTeX\LaTeX için üretilen bazı eklentiler ve özelliklerden yoksundur.
Yazılımcılar, KaTeX\KaTeX kurulumuyla ilgili tüm bilgileri buradan alabilirler.
KaTeX Kullanımında Bilinmesi Gerekenler
KaTeX\KaTeX, son derece basit ve kullanışlı bir arayüze sahiptir. Tek yapmanız gereken, bir formül girmek istediğinizde, Evrim Ağacı metin editöründeki fxf_x işaretine tıklamaktır. Açılan kutuya girmek istediğiniz TeX\TeX kodunu girip, formülünüzü yayınlayabilirsiniz.
Aşağıda, sık kullanılan bazı formüller gösterilecek ve bazı temel bilgiler verilecektir. Eğer temel düzeyde TeX\TeX bilginiz varsa, matematiksel formül kodlarının tam listesini incelemek için buraya tıklayabilirsiniz.
Sıradan İşlemler
Birçok matematiksel işlem için sıradan işlem işaretlerini kullanabilirsiniz. Örneğin x=5+2-(3/7)*9 komutu şu şekilde derlenecektir: x=5+2−(3/7)∗9x=5+2-(3/7)*9.
Benzer şekilde, 3>23>2 veya x<yx<y komutlarını da 3>2 veya x<y şeklinde girebilirsiniz.
Üstel Sayılar (Superscript)
Basit bir örnekle başlayalım: Eğer "x üzeri 3" yazmak istersek, fxf_x kutumuza x^3 yazmamız gerekmektedir. Bu, şu şekilde derlenmektedir: x3x^3
Dolayısıyla Einstein'ın meşhur formülünü E=mc^2 şeklinde yazarsak: E=mc2E=mc^2
İşleri biraz daha karmaşıklaştırmak adına, formülün orijinal versiyonunu E^2=(mc^2)^2+(pc)^2 şeklinde yazarsak: E2=(mc2)2+(pc)2E^2=(mc^2)^2+(pc)^2
Eğer "x üzeri 23" yazmak istersek, üstel kısımda 1'den fazla basamak olduğu için, fxf_x kutumuza x^{23} yazmamız gerekmektedir: x23x^{23}
- Uyarı: Eğer formülümüzde {}{ } kullanmayacak olursak (yani x^23 yazarsak), üstel sayının sadece ilk basamağını üsse alacaktır: x23x^23
- Dolayısıyla KaTeX\KaTeX'te anlaşılması gereken en önemli şey, tırnaklı parantez kullanımıyla komutları doğru yönlendirebilmektir.
Eğer üstelin üstelini yapmak istersek, her üstel sayımızı tırnaklı paranteze koymamız gerekmektedir. Örneğin xy2 x^{y^{2}} formülü, x^{y^{2}} şeklinde yazılmaktadır.
- Önemli Bilgi: KaTeX\KaTeX içerisinde { } parantezleri kod olarak algılanmaktadır. Eğer bu işaretleri gerçekten parantez amaçlı kullanmak istiyorsanız, \{ ve \} komutlarını kullanabilirsiniz. Bunlar, şöyle derlenecektir: {\{ ve }\}.
- Görülebileceği gibi \ işareti, komutları bildirmek için kullanılmaktadır.
- Diğer parantezleri ( ) veya [ ] şeklinde, normal biçimde kullanabilirsiniz. Bu parantezlerin çok özel durumlar haricinde kod açısından bir anlamı yoktur.
- İşlem önceliği belirlemek için de { } kullanılmalıdır.
Karekök ve Diğer Kökler
Bu özel durumlara bir örnek, köklü sayılarda verilebilir. Normalde "kök 2" sayısı, \sqrt{2} formülüyle girilebilir: 2\sqrt{2}. Ancak karekökten farklı kökler için, köşeli parantez kullanılmalıdır. Örneğin "küpkök 5" sayısını \sqrt[3]{5} şeklinde yazmanız gerekmektedir: 53\sqrt[3]{5}.
Alt İndis (Subscript)
Bunun haricinde, alt indis girmek için _ sembolü kullanılmalıdır. Örneğin hidrojen gazı, H_2 şeklinde yazılabilir: H2H_2. Yine, birden fazla hane girilecekse { } parantezleri kullanılmalıdır. Örneğin, C12C_{12} yazmak için C_{12} komutu kullanılmalıdır. C_12, şu şekilde derlenecektir: C12C_12.
Alt alt indis yapmak için, tırnaklı parantez kullanmanız gerekmektedir. Örneğin xy2x_{y_{2}} yazmak için x_{y_{2}} şeklinde girmelisiniz.
Metin
TeX\TeX formatında metin girmek için \text komutunu kullanabilirsiniz. Örneğin \text{metin} komutu şu şekilde derlenmektedir: metin\text{metin}.
Kesirli Sayılar
Kesirli sayıları yazmak için \frac{}{} formülünü kullanabilirsiniz. Burada ilk parantez pay, ikinci parantez payda olacaktır. Örneğin 3/4 sayısını kesirli yazmak için, \frac{3}{4} yazabilirsiniz: 34\frac{3}{4}
Temel Bir Örnek
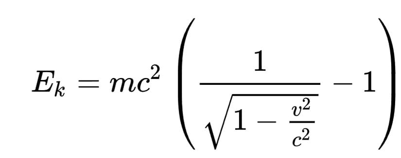
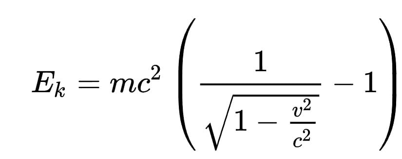
Buraya kadar öğrendiklerimizi toparlamak adına, Einstein'ın parçacıkların kinetik enerjisine yönelik özgün denklemini yazmaya çalışabiliriz. Hedefimiz, şu görseldekini KaTeX\KaTeX ile yazmak:

Bunu şu şekilde formülleştirebiliriz: E_k=mc^2(\frac{1}{\sqrt{1-\frac{v^2}{c^2}}}-1)
Bunu fxf_x içerisine girecek olursak:
Ek=mc2(11−v2c2−1)E_k=mc^2(\frac{1}{\sqrt{1-\frac{v^2}{c^2}}}-1)
Parantez Boyutları
Bundan henüz bahsetmedik; ancak eğer ( ) şeklindeki düz parantezlerimizi daha büyük yazmak istersek, büyüklük sırasına göre şu komutları kullanabiliriz:
- \big( komutu: (\big(
- \Big( komutu: (\Big(
- \bigg( komutu: (\bigg(
- \Bigg( komutu:(\Bigg(
- Aynılarının kapat parantez versiyonlarını da yazabilirsiniz. Örneğin \bigg) komutu: )\bigg)
Bu durumda, dilersek görseldekine daha yakın olması adına büyük parantezler kullanabiliriz. Bunu yapmak için E_k=mc^2\Bigg(\frac{1}{\sqrt{1-\frac{v^2}{c^2}}}-1\Bigg) komutunu yazabiliriz:
Ek=mc2(11−v2c2−1)E_k=mc^2\Bigg(\frac{1}{\sqrt{1-\frac{v^2}{c^2}}}-1\Bigg)
Formül Metin Boyutları (Özel Notasyon)
Eğer formülümüzü büyütmek istersek, şu komutlarla büyüklüğünü değiştirebiliriz:
- \Huge AB komutu: AB\Huge AB
- \huge AB komutu: AB\huge AB
- \LARGE AB komutu: AB\LARGE AB
- \Large AB komutu: AB\Large AB
- \large AB komutu: AB\large AB
Herhangi bir nedenle boyutu küçültmek isterseniz:
- \small AB komutu: AB\small AB
- \footnotesize AB komutu: AB\footnotesize AB
- \scriptsize AB komutu: AB\scriptsize AB
- \tiny AB komutu: AB\tiny AB
Buna ihtiyaç olmaz ama "normal boyut"ta yazmayı komutla çağırmak isterseniz, \normalsize AB yazabilirsiniz: AB\normalsize AB. Bu, "AB" yazmakla aynıdır: ABAB
- Ayrıca dilerseniz { } kullanabilirsiniz. Örneğin \large{E=mc^2} yazarsanız: E=mc2\large{E=mc^2}
- Bu kod, \large E=mc^2 ile aynı çalışır: E=mc2\large E=mc^2
Bu durumda yukarıdaki formülümüzü görseldekine iyice yaklaştırmak adına, metin boyutumuzu da büyütebiliriz: \Large{E_k=mc^2\Bigg(\frac{1}{\sqrt{1-\frac{v^2}{c^2}}}-1\Bigg)}
Ek=mc2(11−v2c2−1)\Large{E_k=mc^2\Bigg(\frac{1}{\sqrt{1-\frac{v^2}{c^2}}}-1\Bigg)}
İhtiyaç Olabilecek ve Sık Kullanılan Komutlar
Bu kısımda, temel komutların ötesinde Evrim Ağacı yazılarınızda ihtiyacınız olan bazı komutları tanıtacağız. Eğer tam listesini öğrenmek isterseniz, buraya tıklayınız.
Aksanlar
- \bar{y} komutu: yˉ\bar{y}
- \dot{a} komutu: a˙\dot{a}
- \ddot{a} komutu: a¨\ddot{a}
- \tilde{a} komutu: a~\tilde{a}
- \vec{F} komutu: F⃗\vec{F}
- \overline{AB} komutu: AB‾\overline{AB}
- Daha fazlası için.
Ayraçlar / Ayırıcılar / Parantezler
Bunların hepsi direkt olarak klavyeden yapılabilir komutlardır; dilerseniz aşağıdan kopyalayabilirsiniz:
- ( ) komutu: ()( )
- [ ] komutu: [][ ]
- ⟨ ⟩ komutu: ⟨⟩⟨ ⟩
- | komutu: ∣|
- \| komutu: ∥\|
- ⟦ ⟧ komutu: ⟦⟧⟦ ⟧
- ⌈ ⌉ komutu: ⌈⌉⌈ ⌉
- ⌊ ⌋ komutu: ⌊⌋⌊ ⌋
Bunlardan daha fazlasını görmek için buraya tıklayınız.
- Önemli Bilgi: Görebileceğiniz gibi bu ayraçlar arasındaki boşluk görmezden gelinmektedir. Eğer kodunuza boşluk eklemek isterseniz, \space komutunu kullanabilirsiniz. Örneğin ⟦ ⟧ komutunu ⟦\space⟧ şeklinde yazarsanız: ⟦ ⟧⟦\space⟧ şeklinde boşluk da gelecektir.
Harfler ve Unicode
Buraya hepsini taşımak anlamsız olacağı için, kullanabileceğiniz tüm özel harfleri buradan görebilirsiniz.
Mantık ve Set Teorisi
- \forall komutu: ∀\forall
- \exists komutu: ∃\exists
- \nexists komutu: ∄\nexists
- \in komutu: ∈\in
- \notin komutu: ∉\notin
- \subset komutu: ⊂\subset
- \supset komutu: ⊃\supset
- \land komutu: ∧\land
- \lor komutu: ∨\lor
- \ni komutu: ∋\ni
- \therefore komutu: ∴\therefore
- \because komutu: ∵\because
- \to komutu: →\to
- \gets komutu: ←\gets
- \leftrightarrow komutu: ↔\leftrightarrow
- \implies komutu: ⟹ \implies
- \iff komutu: ⟺ \iff
- \neg komutu: ¬\neg
- Daha fazlası
Operatörler
- \sum komutu: ∑\sum
- \displaystyle\sum_{i=1}^n komutu: ∑i=1n\displaystyle\sum_{i=1}^n
- \int komutu: ∫\int
- \displaystyle\int_1^n komutu: ∫1n\displaystyle\int_1^n
- \iint komutu: ∬\iint
- \prod komutu: ∏\prod
- \displaystyle\prod_1^n komutu: ∏1n\displaystyle\prod_1^n
- \sin komutu: sin\sin
- \cos komutu: cos\cos
- \arcsin komutu: arcsin\arcsin
- \ln komutu: ln\ln
- \log komutu: log\log
- \lim komutu: lim\lim
- Daha fazlası
İlişkiler
- \ne komutu: ≠\ne
- \approx komutu: ≈\approx
- \approxeq komutu: ≊\approxeq
- \equiv komutu: ≡\equiv
- \ge komutu: ≥\ge
- \le komutu: ≤\le
- \sim komutu: ∼\sim
- \simeq komutu: ≃\simeq
- Daha fazlası
Semboller ve Noktalama İşaretleri
Bazı özel işaretler ve semboller kod olarak algılanabildiği için başlarına \ işareti koymanız gerekebilir. En önemlileri:
- \% komutu: %\%
- \& komutu: &\&
- \$ komutu: $\$
- \infty komutu: ∞\infty
- \nabla komutu: ∇\nabla
- Daha fazlası
Pratik Yapmak İçin Örnekler
- Pisagor Teoremi: c^2=a^2+b^2 veya c2=a2+b2c^2=a^2+b^2
- Karmaşık Sayılar: i=\sqrt{-1} veya i=−1i=\sqrt{-1}
- Doğal Logaritma ve Tersi: \ln{N}=x\iff{N=e^x} veya lnN=x ⟺ N=ex\ln{N}=x\iff{N=e^x}
- Kalkülüs: \displaystyle\int^b_af'(x)dx=f(b)-f(a) veya ∫abf′(x)dx=f(b)−f(a)\displaystyle\int^b_af'(x)dx=f(b)-f(a)
- Kütleçekim: F_1=F_2=G\frac{m_1\times{m_2}}{r^2} veya F1=F2=Gm1×m2r2F_1=F_2=G\frac{m_1\times{m_2}}{r^2}
- Genel Görelilik: G_{\mu\nu}=\frac{8\pi{G}}{c^4}T_{\mu\nu} veya Gμν=8πGc4TμνG_{\mu\nu}=\frac{8\pi{G}}{c^4}T_{\mu\nu}
- Termodinamiğin 2. Yasası: \Delta{S}\ge{0} veya ΔS≥0\Delta{S}\ge{0}
- Gauss Yasası: \nabla\cdot\bold{\Epsilon}=\frac{\rho}{\epsilon_0} veya ∇⋅E=ρϵ0\nabla\cdot\bold{\Epsilon}=\frac{\rho}{\epsilon_0}
- Gauss'un Manyetizma Yasası: \nabla\cdot\bold{B}=0 veya ∇⋅B=0\nabla\cdot\bold{B}=0
- Faraday Yasası: \nabla\times\bold{\Epsilon}=\frac{\partial{\bold{B}}}{\partial{t}_0} veya ∇×E=∂B∂t0\nabla\times\bold{\Epsilon}=\frac{\partial{\bold{B}}}{\partial{t}_0}
- Amper Yasası: \nabla\times\bold{B}=\mu_0\bold{j}+\mu_0\epsilon_0 \frac{\partial{\mathbf{\Epsilon}}}{\partial{t}_0} veya ∇×B=μ0j+μ0ϵ0∂E∂t0\nabla\times\bold{B}=\mu_0\bold{j}+\mu_0\epsilon_0\frac{\partial{\mathbf{\Epsilon}}}{\partial{t}_0}
- Euler Eşitliği: e^{i\pi}+1=0 veya eiπ+1=0e^{i\pi}+1=0
Sonuç
Evrim Ağacı olarak, bilimsel içerikli yazıların yayınlanması için en uygun ve etkili araçları sağlamaya çalışmaktayız. Yıllardır metin editörümüzün bir parçası olan KaTeX\KaTeX'in daha geniş bir yazar kitlesi tarafından kullanılabilmesi adına hazırladığımız bu dokümanın faydalı olmasını ümit ediyoruz.
Evrim Ağacı'nda tek bir hedefimiz var: Bilimsel gerçekleri en doğru, tarafsız ve kolay anlaşılır şekilde Türkiye'ye ulaştırmak. Ancak tahmin edebileceğiniz gibi Türkiye'de bilim anlatmak hiç kolay bir iş değil; hele ki bir yandan ekonomik bir hayatta kalma mücadelesi verirken...
O nedenle sizin desteklerinize ihtiyacımız var. Eğer yazılarımızı okuyanların %1'i bize bütçesinin elverdiği kadar destek olmayı seçseydi, bir daha tek bir reklam göstermeden Evrim Ağacı'nın bütün bilim iletişimi faaliyetlerini sürdürebilirdik. Bir düşünün: sadece %1'i...
O %1'i inşa etmemize yardım eder misiniz? Evrim Ağacı Premium üyesi olarak, ekibimizin size ve Türkiye'ye bilimi daha etkili ve profesyonel bir şekilde ulaştırmamızı mümkün kılmış olacaksınız. Ayrıca size olan minnetimizin bir ifadesi olarak, çok sayıda ayrıcalığa erişim sağlayacaksınız.
Makalelerimizin bilimsel gerçekleri doğru bir şekilde yansıtması için en üst düzey çabayı gösteriyoruz. Gözünüze doğru gelmeyen bir şey varsa, mümkünse güvenilir kaynaklarınızla birlikte bize ulaşın!
Bu makalemizle ilgili merak ettiğin bir şey mi var? Buraya tıklayarak sorabilirsin.
Soru & Cevap Platformuna Git- 2
- 2
- 1
- 1
- 1
- 1
- 1
- 0
- 0
- 0
- 0
- 0
Evrim Ağacı'na her ay sadece 1 kahve ısmarlayarak destek olmak ister misiniz?
Şu iki siteden birini kullanarak şimdi destek olabilirsiniz:
kreosus.com/evrimagaci | patreon.com/evrimagaci
Çıktı Bilgisi: Bu sayfa, Evrim Ağacı yazdırma aracı kullanılarak 10/10/2025 13:07:54 tarihinde oluşturulmuştur. Evrim Ağacı'ndaki içeriklerin tamamı, birden fazla editör tarafından, durmaksızın elden geçirilmekte, güncellenmekte ve geliştirilmektedir. Dolayısıyla bu çıktının alındığı tarihten sonra yapılan güncellemeleri görmek ve bu içeriğin en güncel halini okumak için lütfen şu adrese gidiniz: https://evrimagaci.org/s/11484
İçerik Kullanım İzinleri: Evrim Ağacı'ndaki yazılı içerikler orijinallerine hiçbir şekilde dokunulmadığı müddetçe izin alınmaksızın paylaşılabilir, kopyalanabilir, yapıştırılabilir, çoğaltılabilir, basılabilir, dağıtılabilir, yayılabilir, alıntılanabilir. Ancak bu içeriklerin hiçbiri izin alınmaksızın değiştirilemez ve değiştirilmiş halleri Evrim Ağacı'na aitmiş gibi sunulamaz. Benzer şekilde, içeriklerin hiçbiri, söz konusu içeriğin açıkça belirtilmiş yazarlarından ve Evrim Ağacı'ndan başkasına aitmiş gibi sunulamaz. Bu sayfa izin alınmaksızın düzenlenemez, Evrim Ağacı logosu, yazar/editör bilgileri ve içeriğin diğer kısımları izin alınmaksızın değiştirilemez veya kaldırılamaz.