Evrim ve Moleküler Biyoloji: Evrimin Moleküler İzleri
Evrimi Moleküler Düzeyde Kavramak
- Blog Yazısı
Giriş
Moleküler Biyoloji ve Genetik (MBG), evrim ile güçlü bir bağlantı içindedir. Bu güçlü bağlantının temel sebebi, evrimin bütün mekanizmalarının kalıtıma bağlı olmasından kaynaklanmaktadır. Eğer ortada bir kalıtım söz konusu değil ise yani birey kendi mevcut özelliklerini yavruya aktaramıyorsa evrimden söz dahi edilemez. Bu durum makalemizin ilk cümlesinde değindiğimiz gibi kalıtımın temelini oluşturan genetiğin, evrim ile doğrudan ve güçlü bir bağ içerisinde olduğunu kanıtlar niteliktedir.[1]
Şimdi sizlerle birlikte makalemizin ilk yarısında evrimi anlamaya çalışacak, evrime dair sık yapılan hataların perde arkasına ışık tutacağız.
Evrim Nedir?
Evrim, popülasyon içi gen ve özellik dağılımının, nesiller boyunca değişimidir. Evrim Teorisi ise bu olguyu açıklayan gözlem ve deneylerle desteklenmiş açıklamalar bütünüdür. Günümüzde bilim camiası tarafından genel kabul gören Evrim Teorisi'nin temeli Charles Darwin tarafından atılmıştır.[2] Darwin, evrimi açıklarken Doğal Seçilim ve Cinsel Seçilim kavramlarını bilime kazandırmıştır.
Elimizde bir canlı popülasyonu olduğunu varsayalım. Popülasyondaki bireyler her ne kadar da birbirlerine çok benzeseler bile genetik düzeyde birbirlerinden çok farklıdırlar. Yani bu bireylerin DNA'larının hepsi birbirinin kopyası değildir ve bu farklılıklar bazı durumlarda onlara avantaj sağlarken bazı durumlarda da dezavantaj sağlayabilir. Evrimde eğer bir özellik, dolayısıyla bir gen, o bireye bir avantaj sağlıyorsa bu, söz konusu bireyin diğer bireylere kıyasla daha başarılı olacağını ve ona bu özelliği kazandıran genin daha fazla yavruya kalıtılacağını gösterir. Zamanla bireye fayda sağlayan genlerin popülasyondaki görülme sıklığı artar. Bu sayede o canlı türü yeni bir özellik kazanmış olur. Örneğin, yüksek irtifalarda yaşayan türler üzerindeki muazzam seçilim baskısı, onları o ortama adapte olmasına zorlayacak şekilde evrimleştirir.[3]
:sharpen(0.5,0.5,true)/content%2F02e95f4e-a418-497a-8f02-e4fa35f9129b.png)
:sharpen(0.5,0.5,true)/content%2F702151ec-267a-4089-bbb7-e5f254e3a37c.png)
:sharpen(0.5,0.5,true)/content%2Fbc0363d1-7eb0-482a-97e9-5c392027b723.png)
:sharpen(0.5,0.5,true)/content%2Fb7315a33-1499-42b3-8370-cd411670d3b7.png)
Evrim, aynen diğer bütün bilimsel teoriler gibi çeşitli deneyler sonucu test edilmiş tezler bütünüdür. Einstein'ın Genel Görelilik Teorisi ne kadar geçerliyse Evrim Teorisi de bir o kadar geçerlidir. Evrim, bilimsel bir gerçektir.[4]
Evrim Nasıl İşler?
Elbette, evrim mekanizmalarının temellerini uzun uzun anlatarak yazımızı Genel Biyoloji dersine çevirmeyeceğiz. Ancak, az sonra ele alacağımız konuları daha iyi kavrayabilmek için evrime kısaca değinmemiz gerektiğini de belirtmek isteriz.
Evrim Tamamen Rastgele Midir?
Ne yazık ki evrim konusu ne zaman açılırsa genellikle insanların zihninde tek bir şey canlanır:
- Rastgelelik
Ancak evrim, tamamen rastgele ve şans işi değildir. Evrim tarihinde zaman zaman bir takım rastgelelikler (Genetik Sürüklenme) görülse de temel mekanizma bunun üzerine kurulu değildir. Genetik Sürüklenmeyi işin içine katmazsak evrimdeki tek rastgele olgu, genetik çeşitliliği sağlayan mekanizmalardır. Bunun dışında, evrim gayet de belirli bir mantığa göre ilerleyen bir süreçtir. Evrimde mutasyonlar gibi rastgele olgular belirli bir çeşitlilik sağlar. Doğal Seçilim gibi süreçler ise bu çeşitlilik arasından belirli elemeler yapar ve ortama en fazla adapte olabilmiş bireyler hayatta kalır.[5], [6], [7]
:sharpen(0.5,0.5,true)/content%2F956bf5ed-4dfd-42d3-b4a5-f1c330fd7343.png)
Evrim Mükemmelliyetçi Midir?
Evrimsel süreçten bahsedilirken çoğu zaman insanlar bu süreç sonucu canlıların mükemmelliğe doğru gittiğini düşünür. Örneğin, İnsan türünün en mükemmel olduğunu ve diğer canlıların insanlara doğru evrimleştiğini düşünmek gibi. Bu, tamamen yanlıştır. Evrim sonucu hiçbir canlı mükemmel olmaz, olamaz da.[8], [9], [10] Evrim tarihi, çevre şartlarına yeteri kadar uyum sağlayabilmiş türler tarihidir.[6] Şu anda etrafımızdaki türler, sırf bizden daha az zekiler diye daha az başarılı değillerdir. Onların halen hayatta olup yok olmaması zaten onların çok başarılı bir tür olduğunu gösterir. Bilakis eğer başarılı olmasalardı artık öyle bir tür söz konusu bile olmazdı. Kısacası evrimde bir hiyerarşiye yer yoktur. Hiçbir canlı bir diğerinden daha çok evrimleşmiş veya daha az evrimleşmiş değildir.[11]
Eğer bir canlı evrimsel başarı gösteriyorsa (aktif olarak çevre şartlarına uyum sağlayıp üreyebiliyorsa) anatomisinde ve genotipinde kusurlar olsa dahi bu kusurlar o türün hayatta kalma ve üreme başarısına negatif bir etki etmiyorsa göz ardı edilir.[12]
Doğal Seçilimin veya evrimin herhangi bir amacı yoktur. Canlılar kazandıkları ve kaybettikleri özellikleri kendileri seçmez, seçemez.[13] Bu, direkt olarak evrimin yasalarına aykırı bir durumdur. Doğal Seçilim bile kelimenin tam anlamıyla 'seçmez'. Doğal Seçilim, popülasyonla çevre arasındaki etkileşimlerin sonucudur. Her nesilde çevre şartlarına bir önceki nesilden daha iyi uyum sağlamış bireyler kalır ve ürer. Bu sürecin nesiller boyunca tekerrürü evrimle sonuçlanır.
Aslında maddi destek istememizin nedeni çok basit: Çünkü Evrim Ağacı, bizim tek mesleğimiz, tek gelir kaynağımız. Birçoklarının aksine bizler, sosyal medyada gördüğünüz makale ve videolarımızı hobi olarak, mesleğimizden arta kalan zamanlarda yapmıyoruz. Dolayısıyla bu işi sürdürebilmek için gelir elde etmemiz gerekiyor.
Bunda elbette ki hiçbir sakınca yok; kimin, ne şartlar altında yayın yapmayı seçtiği büyük oranda bir tercih meselesi. Ne var ki biz, eğer ana mesleklerimizi icra edecek olursak (yani kendi mesleğimiz doğrultusunda bir iş sahibi olursak) Evrim Ağacı'na zaman ayıramayacağımızı, ayakta tutamayacağımızı biliyoruz. Çünkü az sonra detaylarını vereceğimiz üzere, Evrim Ağacı sosyal medyada denk geldiğiniz makale ve videolardan çok daha büyük, kapsamlı ve aşırı zaman alan bir bilim platformu projesi. Bu nedenle bizler, meslek olarak Evrim Ağacı'nı seçtik.
Eğer hem Evrim Ağacı'ndan hayatımızı idame ettirecek, mesleklerimizi bırakmayı en azından kısmen meşrulaştıracak ve mantıklı kılacak kadar bir gelir kaynağı elde edemezsek, mecburen Evrim Ağacı'nı bırakıp, kendi mesleklerimize döneceğiz. Ama bunu istemiyoruz ve bu nedenle didiniyoruz.
:sharpen(0.5,0.5,true)/content%2F83f949b0-f1d5-4c7f-83ce-74873436f5fd.jpeg)
:sharpen(0.5,0.5,true)/content%2Ffd4e61f4-03be-4cd7-bdf3-821b6e976968.jpeg)
İnsanların Evrimi Durdu Mu?
Evrim ile ilgili bir diğer yanlış düşünce de insan evriminin durduğu fikridir. İşin ilginç yanı bu düşünce tarzının biyologlar arasında da yaygın olmasıdır. Bunun sebebi, bazı biyologların insanın kültürel evrimi sonucu biyolojik evriminin durduğunu düşünmesidir. Yani, tıbbın gelişmesiyle Doğal Seçilime karşı geldik ve insan evrimi durdu. Ancak bu düşünce yapısı hatalıdır. Çünkü evrimin temel tanımı, popülasyondaki alel frekansının nesiller boyu değişimidir.[14] Ve bu gen-alel frekansının, mutasyonlar veya krossing-over gibi süreçler sonucu her nesilde değiştiğini biliyoruz.[15] Siz bile anne ve babanızın tamamen kopyası değilsiniz. Çünkü demin de bahsettiğimiz mekanizmalar sonucu anne ve babanızdan farklı özelliklere sahip olursunuz. Kısacası, bu gibi süreçlerle tür içi çeşitlilik sağlanır.[16] Evet, doğal seçilim, evrimde alel frekansını yöneten güçlü bir mekanizma olabilir. Ancak evrim sadece bunun üzerinden işlemez. Örnek olarak Biyolojik Dağılım, Popülasyon Büyüklüğü gibi faktörler de genetik çeşitlilikte belirli değişiklikler sağlayabilir.[14]
Mikroevrim
Her ne kadar da evrimden bahsedilirken ilk akla gelen şey, bir türün bambaşka bir türe dönüşmesi yani Makroevrim olsa da bizleri yani Moleküler Biyologları ilgilendiren evrim türü Mikroevrimdir.[17]
:sharpen(0.5,0.5,true)/content%2Fc829d137-a8d5-4eb5-96a6-0724be1cc593.jpeg)
Mikroevrim; bir popülasyondaki gen havuzunun, nesiller boyu değişimidir. Aslına bakılırsa mikroevrimin tanımı, evrimin temel tanımına ne kadar da benziyor değil mi? Ama burada ayırıcı faktör, mikroevrimin kısa zaman aralıklarında gerçekleşiyor olmasıdır. Mikroevrim, popülasyon içinde gerçekleşen bir süreçtir.[18], [19]
Genel olarak evrimden bahsederken genlerden, alellerden ve gen havuzlarından durmadan bahsettik. Anlaşılan o ki, genler ve gen havuzları evrimin gerçekleşmesi için en önemli kriterlerden biri. Çünkü yazının en başında da bahsettiğimiz gibi kalıtım yoksa evrim söz konusu bile olamaz.
Genleri, dolayısıyla kalıtımı araştıran bilim dalı ise Genetiktir.[20] Genetiği ve Moleküler Biyolojiyi birleştiren bilim dalı ise Moleküler Biyoloji ve Genetiktir. Bundan sonraki başlıkta MBG'den de kısaca bahsedip asıl konumuza, MBG ile evrim arasındaki ilişkiyi anlatmaya geçeceğiz.
Moleküler Biyoloji ve Genetik
Moleküler Biyoloji, canlılığı moleküler düzeyde araştıran bilim dalıdır. Moleküler Biyoloji, hücresel moleküllerin yapısını ve davranışını inceler. Proteinler, karbohidratlar, lipitler ve nükleik asitler bu moleküllere bir örnektir. Genetik ise kalıtımın ve varyasyonun bilimidir.[21], [22]
Yazıda sıklıkla genlerden bahsettik. MBG bölümü, gen dediğimiz genetik birimleri ve onların kurduğu genetik ağı inceler. Genler, hücrenin biyokimyasal reaksiyonlarını kontrol ederler.[23]
Moleküler Biyoloji ve Genetik, daha çok proteinlere ve nükleik asitlere yoğunlaşmış bir bölümdür. Bir nükleik asit türü olan DNA (Deoksiribo Nükleik Asit) kalıtımın moleküler temelidir. Yani bizim bütün özelliklerimiz, DNA adlı molekülde kodlanmış bulunmaktadır. DNA, dolayısıyla genler, sizin bütün biyokimyasal çorbanızı kontrol eder.[23], [24] Genler bu kontrolü çoğu zaman protein sentezi (gen ifadesi) yaparak sağlarlar.[15]
:sharpen(0.5,0.5,true)/content%2Ff1b035f2-9652-4699-b080-a0ec4baae4af.jpeg)
Bu bilgiler ışığında, evrim gibi bir sürecin kalıtımla doğrudan ilişkili olduğunu kesin olarak söyleyebiliriz. Neticede, doğal seleksiyon gibi süreçler canlının evrimsel uyumluluğunu test eder. Bir canlının uyum başarısı ise canlının gelecek nesile daha çok yavru verebilme yeteneğidir.[25] Canlıdaki bütün biyokimyasal aktivitenin genler tarafından düzenlendiğini de biliyoruz. Öyleyse evrimsel uyum başarısının da direkt olarak genlerle ilişkili olduğunu rahatlıkla söyleyebiliriz. Çünkü canlının bütün özellikleri gibi evrimsel uyum başarısını etkileyen faktörler, birer biyokimyasal süreçtir.[26]
:sharpen(0.5,0.5,true)/content%2Feff6c9f7-7f12-499b-b469-ffd172e4b9f5.jpeg)
Evrim ve Moleküler Biyoloji: Moleküler Düzeyde Evrim
Yazımızın neredeyse yarısından fazlasını evrimi anlatarak işledik. Aslında bu anlatımların sebebi, MBG ve Evrim arasındaki ilişkiyi araştırırken aklınızda hiçbir soru işaretinin kalmamasını istememizdir.
Önceki başlıklarımızdaki bilgilerden yola çıkarak evrimin moleküler düzeyde gerçekleştiğini söyleyebiliriz.[27] Proteinler ve daha nice biyomoleküller nesiller boyunca değişiklikler gösterir. Şimdi ise evrimi moleküler düzeyde örneklerle inceleyeceğiz.
Rubilaz Bifosfat Karboksilaz/Oksijenaz (RuBisCO)
Fotosentez, çeşitli ekosistemlerin varlığını sürdürebilmesi için hayati öneme sahip ve sıkça karşılaştığımız temel bir süreçtir. Basite indirgersek fotosentez süreci, CO2 ve H2O gibi inorganik moleküllerden ışık enerjisiyle organik moleküller (karbohidrat) sentezlenmesidir.[28] Tabii böyle bir süreç kendi kendine oluşamaz. Bu işi yaparken çeşitli moleküllere ihtiyaç duyulur. Bu görevi üstlenen moleküller ise enzimlerdir.
Enzimler biyokimyasal reaksiyonları hızlandıran biyolojik katalizörlerdir. Hayatın sorunsuz akışı için neredeyse tüm hücresel faaliyetler çeşitli enzimlerin varlığıyla gerçekleşir.[29] Enzimler o kadar muazzam bir hızda çalışır ki, hidrasyon yarı ömrü 700.000 yıl olan fumarat molekülünü bile saniyeler içinde malata dönüştürebilir.[30] Örneğin E. Coli bakterisindeki Fumaraz A enzimi, saniyede 3100 adet fumaratı hidrasyona uğratarak malata dönüştürebilecek bir yapıya sahiptir.[31] Eğer fumaratı 25°C bir solüsyonda kendi halinde, hiçbir ek enzim olmadan bırakırsak yarı ömürden yola çıkarak bütün fumarat solüsyonunun tamamının yaklaşık 6 milyon yılda malata dönüşeceğini öngörürüz. Ancak Fumaraz enzimi bu süreyi tek başına birkaç saniyeye indirger! Tabii enzimler reaksiyonları milyonlarca kat hızlandırmakla kalmıyor. Enzimlerin hepsi birer katalizör oldukları için reaksiyon esnasında hiçbir şekilde harcanmazlar.[15] Reaksiyon başlangıcındaki enzim derişimi ile reaksiyon sonundaki enzim derişimi hep aynı seviyede kalır. İşte tam da bu sebepler yüzünden enzimler biyolojik sistemler için vazgeçilmezdir.
Bu başlıkta bütün fotosentez sürecini ve enzimleri detaylı bir şekilde incelemeyi planlamıyoruz. Bizi bu başlıkta ilgilendiren asıl konu, Rubilaz Bifosfat Karboksilaz/Oksijenaz veya kısaca RuBisCO/Rubiskodur.
:sharpen(0.5,0.5,true)/content%2F9f593abf-1af7-4cba-a02e-82a0a50614ed.jpeg)
Rubisko enzimi, fotosentezin ikinci aşaması olan Calvin Döngüsü'nde önemli bir karbon bağlayıcı enzimdir.[32] Lakin Rubisko sadece CO2 bağlamaz. Enzimin adından da anlaşılacağı gibi rubisko O2'yi de fikse edici bir özelliğe sahiptir.[15] Rubiskonun O2 bağlayıcı bir enzim olması, bitkileri Fotorespirasyon veya Fotosolunum olarak bilinen bir sürece hazırlar. Bu süreç sonucu enerji kullanılır, zaten fikse edilmiş CO2 kaybedilir ve karbohidrat üretilmez.[33]
:sharpen(0.5,0.5,true)/content%2Ff3440687-0221-4783-858c-e9460dc03f98.png)
Bu noktada akıllara bir soru gelir: Neden %20'lik bir hata oranına sahip ve bu nedenle fotosentez verimliliğini düşüren bir enzim evrimsel süreçte seçilmiştir? Bir hipoteze göre Rubisko enzimi oksijen seviyelerinin düşük olduğu zamanlarda ve karbon fiksasyonu yapmayan bir canlıda ortaya çıkmıştır. Sonradan karbon fiksasyonu evrimleştiğinde Rubisko kullanımı başlamıştır.[34] Yani fotosolunum aslında evrimsel bir kalıntıdır. Bu kalıntı, Rubisko enziminin oksijen seviyeleri düşükken ortaya çıktığı zamanlardan kalmaktadır.[15] Yani evrim, önceki başlıklarda da değindiğimiz gibi mükemmel bir süreç değildir. Evet, enzimler doğanın mühendislik harikasıdır. Ancak evrim bir mühendislik süreci değildir. Evrim, bir eleme sürecidir. Bu eleme sonucu geriye yeteri kadar uyum sağlamış yapılar kalır, mükemmel yapılar değil. Evrimsel süreçte çoğu biyolojik yapı tıpkı Rubisko gibi yeteri kadar uyumlu olduğu için seçilmiştir.
:sharpen(0.5,0.5,true)/content%2Fd964081b-f992-4617-8c34-5b91797b0f46.jpeg)
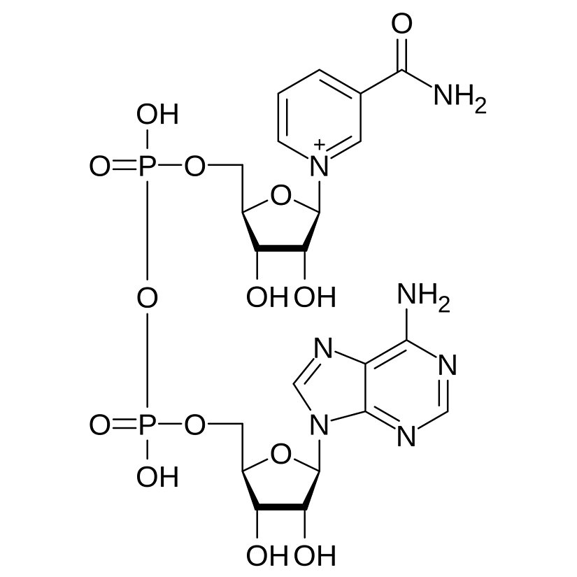
RNA Dünyasından Kalıntılar
RNA Dünyası hipotezine göre yaşamın ilk safhalarında hücreler bilgi taşımak ve bilgiyi kullanarak metabolik faaliyet oluşturmak için DNA yerine RNA molekülünü kullanmıştır. Bu demek oluyor ki, DNA yokken RNA varmış. Bu senaryoya göre RNA'nın yaşı yaklaşık olarak 4 milyar yıldır.[35] RNA'nın Transkripsiyon, Translasyon ve DNA Replikasyonu gibi kritik hücresel faaliyetlerde önder bir molekül olduğunu biliyoruz.[15], [36], [37], [38] Hatta çoğu önemli hücresel reaksiyonları nükleotit yapısına benzer koenzimlerin (NADH, FADH2, ATP, CoA) gerçekleştirmesi de RNA dünyasından arta kalan evrimsel bir fosildir. Birçok koenzimin yapısına bakacak olursak ilk proteinlerin nükleotitlere bağlı olduğunu söyleyebiliriz.[39]
:sharpen(0.5,0.5,true)/content%2F69510402-c9a3-406b-a474-286a44436325.jpeg)
:sharpen(0.5,0.5,true)/content%2F27f2705b-2bbb-4dca-b57e-6a95da45ca0d.jpeg)
:sharpen(0.5,0.5,true)/content%2F2ec76694-7457-4915-b1ef-202c9552c290.jpeg)
Bazı protein domainleri, RNA Dünyasında proteinlerin çift RNA zinciri ile daha rahat etkileşim sağlamasını kolaylaştırmış olabilir. Biz bu nükleotit bağlayıcı domainlere en çok kinazlar ve dehidrojenazlar gibi enzimlerde rastlıyoruz. Uzun lafı kısası, koenzimler ve proteinlerin nükleotit bağlayıcı domainleri RNA dünyasından kalma moleküler bir fosildir.[39] Artı olarak ribozimler gibi enzim görevi gören RNA dizileri de, RNA Dünyası hipotezine büyük bir katkı sağlamaktadır. Ribozimler, kendi kendilerinin oluşumunu hızlandıran bir otokatalizördür.[40], [41], [42] Yaşamın basit biyokimyasal reaksiyonlardan organize, kompleks ve kendi başına bölünme geçirebilen sistemlere geçişinde otokatalizörler önemli bir role sahiptir.[43]
Kısacası, yaşamın çok erken evrelerinde RNA hem yaşamın moleküler temeli, hem de enzimatik işlev gösteren bir moleküldür. Sonradan kodlama işlevi kimyasal olarak daha kararlı bir yapıya sahip olan DNA'ya, katalitik işlemler ise muazzam çeşitlilikte yapısal bir repertuar sağlayan proteinlere geçmiştir.[44] Yani evrimde hiçbir özellik şimdiki haliyle aniden ortaya çıkmaz. Evrimsel süreçte bugün gördüğümüz tüm biyolojik özellikler kademeli bir şekilde evrimleşip günümüze kadar gelmiştir.
:sharpen(0.5,0.5,true)/content%2F78f5f615-2837-4980-abcc-087ba56ce5ec.png)
:sharpen(0.5,0.5,true)/content%2F351b52a3-90c8-4dcf-a1a8-4a74d99d3bc3.jpeg)
Çöp DNA: Psödogenler
DNA'mızdaki bütün genler ifade edilip proteinlere dönüştürülmez. Bu bölgeler psödogenleri, intronları, telomerleri, sentromerleri ve transpozonları içeren Çöp DNA bölgeleridir. İsminin Çöp DNA olması sizi kandırmasın. Bu diziler herhangi bir protein sentezlemeseler de çok önemli işlevlere sahiptir.[45] Örneğin telomerler hücre bölünmesinde, dolayısıyla kanser oluşumunu önlemekte önemli bir role sahiptir.[46] İntronlar ise Alternatif Splayz gibi mekanizmaların işleyişine katkı sağlar.[15] Ancak bizi burada ilgilendiren asıl konu psödogenlerdir.
Psödogenler, normal genlere çok benzeyen ama hiçbir protein kodlamayan gen bölgeleridir. Psödogenlerin çoğu mutasyon sonucu protein sentezi işlevini kaybetmiş DNA dizileridir.[47] Diğer Çöp DNA dizilerinin aksine, Psödogenler bir zamanlar normal işleve sahip olan gen bölgeleridir. GLO geni psödogenleri anlatmak için güzel bir örnektir.
:sharpen(0.5,0.5,true)/content%2F45a1bd90-81d8-41bb-b5b3-8e7affb7081c.jpeg)
Bildiğiniz gibi bazı primat türlerinde de olduğu gibi çeşitli besin kaynaklarından C vitamini takviyesi almak zorundayız. Vücudumuz, çoğu canlıda olduğu gibi C vitamini sentezi sürecinde önemli bir göreve sahip L-Gulonolakton Oksidaz enzimini sentezleyemez.[48] Bu gen (GLO) aslında genomumuzda bulunmaktadır. Ancak gen çok fazla mutasyona maruz kaldığı için gereken enzimi kodlayamaz. Araştırmaya göre GLO geni, 12 ekzonundan 7 tanesini kaybetmiştir.[49] İnsansı primatlarda (dolayısıyla insanlarda) bu gen delesyonunun 61 milyon yıl öncesine kadar gittiği düşünülmektedir.[50] Artık gereken enzimi kodlamasa da bu genin var olması bile atalarımızdan bize kalan evrimsel bir kalıntıdır. Yani fosiller her zaman taşlaşmış yapılar değildir. Bazen birkaç nükleotit dizisi bile evrim tarihine kapı açan bir anahtar, bir fosil olabilir.
:sharpen(0.5,0.5,true)/content%2Fea0fa6ad-2204-4338-9dd5-27ec5fcfa6ad.jpeg)
:sharpen(0.5,0.5,true)/content%2Fb6df35da-6078-4eb4-9aef-13c043762c49.png)
Orak Hücre Anemisi: Heterozigot Avantajı
Kanda O2'yi taşıyan hemoglobin proteinini kodlayan gendeki bir mutasyon sonucu ortaya çıkan Orak Hücre Anemisi kalıtsal bir hastalıktır. Normalde hemoglobinin bulunduğu alyuvar hücreleri disk şeklindedir ancak bu anemi türünde hücreler orağa benzer bir şekil alır. Bu hastalığa sahip kişiler kronik ağrılar, inme, çeşitli akciğer ve göz problemleri gibi faktörlerden muzdarip olurlar.[51]
Orak hücre hemoglobini, 11. kromozomda yer alan β-globin genindeki bir nokta mutasyonu sonucu sentezlenmektedir.[52] Bu mutasyon sonucu oluşan hemoglobin proteinlerine HbS denir. Hipoksik şartlar altında, yani O2 derişimi azaldığında HbS otooksidasyona ve polimerleşmeye maruz kalmaktadır. Bunun sonucu diskli eritrosit (alyuvar) orak şekilli, sert ve kırılgan bir yapıya dönüşür.[53]
:sharpen(0.5,0.5,true)/content%2Ff47b9470-2ca2-427f-8818-d454767aacd5.jpeg)
Bu hastalıktan muzdarip kişiler genomlarında orak hücre alellerinden ikişer kopya içerirler. Her iki ebeveyninden de bu bozuk gen bölgesini miras alan kişilerde Orak Hücre Anemisi semptomları görülür. Ancak sadece tek bir orak hücre aleli taşıyan bireylerde bu tür korkunç semptomlar görülmez. Bu bireyler sadece ekstrem koşullarda (O2'nin az bulunduğu yüksek irtifalarda) belirtiler gösterirler.[54] Görünen o ki, bu taşıyıcı (heterozigot) bireylerde hem normal alyuvarlar hem de orak hücre alyuvarları üretilir.[15] Bu yüzden de çok zorlu koşullara tabi tutulmadıkça bu bireyler normal yaşamlarını sürdürebilirler.
:sharpen(0.5,0.5,true)/content%2Fe082f173-bc0a-4c85-b9bd-84ff3dd98ff7.png)
:sharpen(0.5,0.5,true)/content%2F0ef62846-6a98-4efd-a1ae-745dee220ecd.jpeg)
Peki neden vücudumuzda bu kadar yıkıcı bir etkiye sebep olan gen, evrimsel süreçte tamamen kaybolmamıştır? Çünkü ne gariptir ki bu gen aleli, özellikle de heterozigot bireylerde bir avantaj sağlamaktadır. Afrika gibi sıtma parazitinin yaygın olduğu bölgelerde bu gen, dolayısıyla orak hücre hemoglobini, bireyleri sıtmadan korumaktadır.[55], [56]
:sharpen(0.5,0.5,true)/content%2F0b555d80-ca86-4bab-add0-9a6033f22fe1.jpeg)
Sıtma, Plazmodium cinsinden olan protozoan parazitlerinin sebep olduğu bir hastalıktır. Bu parazit, içerisinde omurgalıların ve sivrisineklerin de olduğu kompleks bir yaşam döngüsüne sahiptir.[57] Bu başlıkta bizi asıl ilgilendiren kısım parazitin omurgalılarda (dolayısıyla insanlarda) sergilediği hayat döngüsüdür. Parazit, eritrosit (alyuvar) hücrelerini işgal ederek şizogoni denilen özel bir bölünme yoluyla hızla çoğalarak hücrelerin parçalanmasına sebep olur.[15]
:sharpen(0.5,0.5,true)/content%2F3f0a07ca-cbf5-4e5c-a526-251fa99fad1e.jpeg)
Orak hücre özellikli kişiler (taşıyıcı) bu parazite karşı nasıl bir mekanizmayla direnç gösterir? HbS'nin sıtma parazitine karşı nasıl bir direnç gösterdiği maalesef tam olarak anlaşılmamıştır. Ancak mevcut bulgular, olası mekanizmalardan birinin HbS'nin parazit için elverişsiz bir ortam oluşturması, dolayısıyla bu durumun paraziti strese sokarak gelişimini yavaşlatması yönündedir. Heterozigot bireyler bu olası mekanizma sayesinde sıtmaya karşı güçlü bir bağışıklık sergilerler.[58]
Ancak bu bölümde bizim asıl anlatmak istediğimiz, evrimsel süreçte ölümcül, zararlı ve gereksiz gibi görünen özelliklerin bazı durumlarda hayat kurtarıcı olabileceğidir. Evet, Orak Hücre Anemisi hastanın hayatını ona zehir eden ve belki de ölümüne neden olacak berbat bir hastalıktır. Ancak bu gen aleli olmasaydı Afrikadaki çoğu popülasyon hayatta kalmakta zorlanırdı.
Kapanış
Örneklerimizden de gördüğünüz gibi evrim her zaman moleküler düzeyde başlar. Bu yüzden Moleküler Biyoloji ve Genetiğe hakim olmak evrimi anlamak için büyük bir önem taşır. Evrim, biyolojinin reddedilemez bir gerçeğidir. Makalede bahsettiğimiz örneklerin her biri evrimin işleyişine dair birer kanıt niteliğindedir. Ünlü Ukraynalı genetikçi Theodosius Dobzhansky'nin de dediği gibi:[59]
Evrimin ışığı altında bakıldığında Biyoloji, entelektüel anlamda en tatmin edici ve ilham verici bilimdir. Bu ışık olmadan bütün biyolojik bilgiler birkaç olgu yığınına dönüşür. Bu yığın her ne kadar ilginç ve merak uyandırıcı olsa bile büyük resme bakıldığında birlikte hiçbir anlam ifade etmez.
Yazarın Notu ve Teşekkürler
Yazar: Rasul NURULLAZADE
Editörler: Kübra ANDUSE, Alp ASLAN
Kapak Tasarımı: Merve BAĞLI, Fatma ÖZTÜRK
Danışmanlar: Doç. Dr. Mehmet Emin DİKEN, Dr. Serhad ONAT, Meltem BALABAN (Y.L. Öğrencisi)
Makale yazım sürecinde yardımları için değerli bölüm hocalarıma, editör arkadaşlarıma, platform sağladığı için BAUNGEN ekibine ve bana bu süreçte desteğini esirgemeyen tüm dostlarıma en içten teşekkürlerimi sunarım.
- 6
- 4
- 1
- 1
- 0
- 0
- 0
- 0
- 0
- 0
- 0
- 0
- ^ LEWONTIN, R. C.. How Important Is Genetics For An Understanding Of Evolution?. Alındığı Tarih: 8 Şubat 2025. Alındığı Yer: Oxford Academic doi: 10.1093/icb/26.3.811. | Arşiv Bağlantısı
- ^ C. Darwin. (2009). Türlerin Kökeni. ISBN: 9786054156153. Yayınevi: Evrensel Basım Yayın.
- ^ Y. Hao, et al. (2022). Genetic Mechanism Of Adaptive Evolution: The Example Of Adaptation To High Altitudes. Yi chuan = Hereditas. doi: 10.16288/j.yczz.22-108. | Arşiv Bağlantısı
- ^ L. M. Abebe, et al. Answers To Common Misconceptions About Biological Evolution. Alındığı Tarih: 9 Şubat 2025. Alındığı Yer: DigitalCommons@University of Nebraska - Lincoln | Arşiv Bağlantısı
- ^ University of California at Berkeley. Genetic Drift. Alındığı Tarih: 8 Şubat 2025. Alındığı Yer: Understanding Evolution | Arşiv Bağlantısı
- ^ a b University of California at Berkeley. Misconceptions About Evolution. Alındığı Tarih: 9 Şubat 2025. Alındığı Yer: Understanding Evolution | Arşiv Bağlantısı
- ^ University of California at Berkeley. Natural Selection. Alındığı Tarih: 8 Şubat 2025. Alındığı Yer: Understanding Evolution | Arşiv Bağlantısı
- ^ W. E. Meikle, et al. (2010). Why Are There Still Monkeys?. Evolution: Education and Outreach, sf: 573-575. doi: 10.1007/s12052-010-0293-2. | Arşiv Bağlantısı
- ^ University of California at Berkeley. The Limitations Of Natural Selection. Alındığı Tarih: 9 Şubat 2025. Alındığı Yer: Understanding Evolution | Arşiv Bağlantısı
- ^ Y. Brandvain, et al. (2016). The Limits Of Natural Selection In A Nonequilibrium World. Trends in genetics : TIG. doi: 10.1016/j.tig.2016.01.004. | Arşiv Bağlantısı
- ^ J. H. Relethford. (2017). 50 Great Myths Of Human Evolution. ISBN: 9780470673911. Yayınevi: John Wiley & Sons.
- ^ E. Zuckerkandl, et al. (1997). Neutral And Nonneutral Mutations: The Creative Mix--Evolution Of Complexity In Gene Interaction Systems. Journal Of Molecular Evolution. doi: 10.1007/pl00000048. | Arşiv Bağlantısı
- ^ University of California at Berkeley. Misconceptions About Natural Selection. Alındığı Tarih: 14 Mart 2025. Alındığı Yer: Understanding Evolution | Arşiv Bağlantısı
- ^ a b A. R. Templeton. (2010). Has Human Evolution Stopped?. Rambam Maimonides Medical Journal, sf: e0006. doi: 10.5041/RMMJ.10006. | Arşiv Bağlantısı
- ^ a b c d e f g h i Urry, et al. (2021). Campbell Biology. ISBN: 9780135188743.
- ^ Khan Academy. Meiosis. Alındığı Tarih: 11 Şubat 2025. Alındığı Yer: Khan Academy | Arşiv Bağlantısı
- ^ University of California at Berkeley. What Is Macroevolution?. Alındığı Tarih: 18 Şubat 2025. Alındığı Yer: Understanding Evolution | Arşiv Bağlantısı
- ^ Khan Academy. Allele Frequency & The Gene Pool. Alındığı Tarih: 14 Şubat 2025. Alındığı Yer: Khan Academy | Arşiv Bağlantısı
- ^ University of California at Berkeley. Defining Microevolution. Alındığı Tarih: 18 Şubat 2025. Alındığı Yer: Understanding Evolution | Arşiv Bağlantısı
- ^ American Museum of Natural History. What Is Genetics?. Alındığı Tarih: 18 Şubat 2025. Alındığı Yer: American Museum of Natural History | Arşiv Bağlantısı
- ^ Nature. Molecular Biology - Latest Research And News | Nature. (18 Şubat 2025). Alındığı Tarih: 19 Şubat 2025. Alındığı Yer: Nature | Arşiv Bağlantısı
- ^ J. Gayon. (2016). From Mendel To Epigenetics: History Of Genetics. Comptes Rendus. Biologies, sf: 225-230. doi: 10.1016/j.crvi.2016.05.009. | Arşiv Bağlantısı
- ^ a b G. W. Beadle, et al. (1941). Genetic Control Of Biochemical Reactions In Neurospora. Proceedings of the National Academy of Sciences of the United States of America, sf: 499. doi: 10.1073/pnas.27.11.499. | Arşiv Bağlantısı
- ^ O. T. Avery, et al. (1944). Studies On The Chemical Nature Of The Substance Inducing Transformation Of Pneumococcal Types : Induction Of Transformation By A Desoxyribonucleic Acid Fraction Isolated From Pneumococcus Type Iii. The Journal of experimental medicine. doi: 10.1084/jem.79.2.137. | Arşiv Bağlantısı
- ^ University of California at Berkeley. Evolutionary Fitness. Alındığı Tarih: 20 Şubat 2025. Alındığı Yer: Understanding Evolution | Arşiv Bağlantısı
- ^ G. Karp. (2009). Cell And Molecular Biology. ISBN: 9780470483374. Yayınevi: John Wiley & Sons.
- ^ G. G. Simpson. Organisms And Molecules In Evolution. Alındığı Tarih: 26 Şubat 2025. Alındığı Yer: Science doi: 10.1126/science.146.3651.1535. | Arşiv Bağlantısı
- ^ Khan Academy. Intro To Photosynthesis. Alındığı Tarih: 26 Şubat 2025. Alındığı Yer: Khan Academy | Arşiv Bağlantısı
- ^ J. M. Berg. (2002). Biochemistry, Fifth Edition.
- ^ Richard Wolfenden, et al. The Depth Of Chemical Time And The Power Of Enzymes As Catalysts. Alındığı Tarih: 6 Mart 2025. Alındığı Yer: ACS Publications | Arşiv Bağlantısı
- ^ D. H. Flint, et al. (1994). Initial Kinetic And Mechanistic Characterization Of Escherichia Coli Fumarase A. Archives of biochemistry and biophysics. doi: 10.1006/abbi.1994.1269. | Arşiv Bağlantısı
- ^ BYJUS. Rubisco: Structure, Function And Role In Photosynthesis And Photorespiration. (10 Şubat 2022). Alındığı Tarih: 26 Şubat 2025. Alındığı Yer: BYJUS | Arşiv Bağlantısı
- ^ Khan Academy. Photorespiration. Alındığı Tarih: 26 Şubat 2025. Alındığı Yer: Khan Academy | Arşiv Bağlantısı
- ^ T. J. Erb, et al. (2017). A Short History Of Rubisco: The Rise And Fall (?) Of Nature’s Predominant Co2 Fixing Enzyme. Current Opinion In Biotechnology, sf: 100. doi: 10.1016/j.copbio.2017.07.017. | Arşiv Bağlantısı
- ^ P. G. Higgs, et al. (2015). The Rna World: Molecular Cooperation At The Origins Of Life. Nature Reviews Genetics, sf: 7-17. doi: 10.1038/nrg3841. | Arşiv Bağlantısı
- ^ Khan Academy. Overview Of Transcription. Alındığı Tarih: 28 Şubat 2025. Alındığı Yer: Khan Academy | Arşiv Bağlantısı
- ^ Khan Academy. Overview Of Translation. Alındığı Tarih: 28 Şubat 2025. Alındığı Yer: Khan Academy | Arşiv Bağlantısı
- ^ Nature. Primer | Learn Science At Scitable. Alındığı Tarih: 28 Şubat 2025. Alındığı Yer: Nature | Arşiv Bağlantısı
- ^ a b H. B. White. (1976). Coenzymes As Fossils Of An Earlier Metabolic State. Journal of Molecular Evolution, sf: 101-104. doi: 10.1007/BF01732468. | Arşiv Bağlantısı
- ^ M. P. Robertson, et al. (2012). The Origins Of The Rna World. Cold Spring Harbor Perspectives in Biology, sf: a003608. doi: 10.1101/cshperspect.a003608. | Arşiv Bağlantısı
- ^ B. S. S. Robertson. What Are Ribozymes?. (2 Aralık 2009). Alındığı Tarih: 28 Şubat 2025. Alındığı Yer: News-Medical | Arşiv Bağlantısı
- ^ J. C. Cochrane, et al. Catalytic Strategies Of Self-Cleaving Ribozymes. Alındığı Tarih: 28 Şubat 2025. Alındığı Yer: ACS Publications | Arşiv Bağlantısı
- ^ B. Seelig. (2008). An Autocatalytic Network For Ribozyme Self-Construction. Nature Chemical Biology, sf: 654-655. doi: 10.1038/nchembio1108-654. | Arşiv Bağlantısı
- ^ M. Skilandat, et al. Ribozymes. Alındığı Tarih: 28 Şubat 2025. Alındığı Yer: Science Direct | Arşiv Bağlantısı
- ^ A. F. Palazzo, et al. (2014). The Case For Junk Dna. PLOS Genetics, sf: e1004351. doi: 10.1371/journal.pgen.1004351. | Arşiv Bağlantısı
- ^ M. T. Hemann, et al. The Shortest Telomere, Not Average Telomere Length, Is Critical For Cell Viability And Chromosome Stability. Alındığı Tarih: 1 Mart 2025. Alındığı Yer: Science Direct | Arşiv Bağlantısı
- ^ Genome. Pseudogene. Alındığı Tarih: 1 Mart 2025. Alındığı Yer: Genome | Arşiv Bağlantısı
- ^ M. Gandhi, et al. (2023). Scurvy: Rediscovering A Forgotten Disease. Diseases, sf: 78. doi: 10.3390/diseases11020078. | Arşiv Bağlantısı
- ^ G. Drouin, et al. (2011). The Genetics Of Vitamin C Loss In Vertebrates. Current Genomics, sf: 371-378. doi: 10.2174/138920211796429736. | Arşiv Bağlantısı
- ^ M. Y. Lachapelle, et al. (2011). Inactivation Dates Of The Human And Guinea Pig Vitamin C Genes. Genetica, sf: 199-207. doi: 10.1007/s10709-010-9537-x. | Arşiv Bağlantısı
- ^ NHLBI, NIH. What Is Sickle Cell Disease?. (30 Eylül 2024). Alındığı Tarih: 1 Mart 2025. Alındığı Yer: NHLBI, NIH | Arşiv Bağlantısı
- ^ A. Ashley-Koch, et al. Sickle Hemoglobin (Hb S) Allele And Sickle Cell Disease: A Huge Review. Alındığı Tarih: 4 Mart 2025. Alındığı Yer: American Journal of Epidemiology | Arşiv Bağlantısı
- ^ M. Silva, et al. (2023). From Stress To Sick(Le) And Back Again-Oxidative/Antioxidant Mechanisms, Genetic Modulation, And Cerebrovascular Disease In Children With Sickle Cell Anemia. Antioxidants (Basel, Switzerland). doi: 10.3390/antiox12111977. | Arşiv Bağlantısı
- ^ A. C. Allison. Sickle Cells And Evolution. Alındığı Tarih: 1 Mart 2025. Alındığı Yer: JSTOR | Arşiv Bağlantısı
- ^ F. B. Piel, et al. (2010). Global Distribution Of The Sickle Cell Gene And Geographical Confirmation Of The Malaria Hypothesis. Nature Communications, sf: 1-7. doi: 10.1038/ncomms1104. | Arşiv Bağlantısı
- ^ J. H. Edwards. (1977). Heterozygote Advantage. Archives of Disease in Childhood, sf: 343. doi: 10.1136/adc.52.5.343. | Arşiv Bağlantısı
- ^ R. Tuteja, et al. (2007). Malaria - An Overview. The FEBS journal. doi: 10.1111/j.1742-4658.2007.05997.x. | Arşiv Bağlantısı
- ^ B. P. Gonçalves, et al. (2016). Sickle Haemoglobin, Haemoglobin C And Malaria Mortality Feedbacks. Malaria Journal, sf: 1-7. doi: 10.1186/s12936-015-1077-5. | Arşiv Bağlantısı
- ^ Theodosius Dobzhansky. Nothing In Biology Makes Sense Except In The Light Of Evolution. Alındığı Tarih: 1 Mart 2025. Alındığı Yer: University Of California Press | Arşiv Bağlantısı
Evrim Ağacı'na her ay sadece 1 kahve ısmarlayarak destek olmak ister misiniz?
Şu iki siteden birini kullanarak şimdi destek olabilirsiniz:
kreosus.com/evrimagaci | patreon.com/evrimagaci
Çıktı Bilgisi: Bu sayfa, Evrim Ağacı yazdırma aracı kullanılarak 08/02/2026 23:01:46 tarihinde oluşturulmuştur. Evrim Ağacı'ndaki içeriklerin tamamı, birden fazla editör tarafından, durmaksızın elden geçirilmekte, güncellenmekte ve geliştirilmektedir. Dolayısıyla bu çıktının alındığı tarihten sonra yapılan güncellemeleri görmek ve bu içeriğin en güncel halini okumak için lütfen şu adrese gidiniz: https://evrimagaci.org/s/19762
İçerik Kullanım İzinleri: Evrim Ağacı'ndaki yazılı içerikler orijinallerine hiçbir şekilde dokunulmadığı müddetçe izin alınmaksızın paylaşılabilir, kopyalanabilir, yapıştırılabilir, çoğaltılabilir, basılabilir, dağıtılabilir, yayılabilir, alıntılanabilir. Ancak bu içeriklerin hiçbiri izin alınmaksızın değiştirilemez ve değiştirilmiş halleri Evrim Ağacı'na aitmiş gibi sunulamaz. Benzer şekilde, içeriklerin hiçbiri, söz konusu içeriğin açıkça belirtilmiş yazarlarından ve Evrim Ağacı'ndan başkasına aitmiş gibi sunulamaz. Bu sayfa izin alınmaksızın düzenlenemez, Evrim Ağacı logosu, yazar/editör bilgileri ve içeriğin diğer kısımları izin alınmaksızın değiştirilemez veya kaldırılamaz.