DNA bazlarımız -> Adenin, Timin, Sitozin, Guanin
RNA bazlarımız-> Adenin, Urasil, Sitozin, Guanin
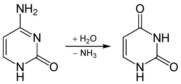
Buradaki durumu daha iyi açıklayabilmek için aşağıdaki görsel üzerinden gideceğim:
/old/qna_media/749424eea87f13468c8dbddbc6d29a78.jpeg)
Gördüğün üzere soldaki Sitozin molekülünün su ile parçalanması sonucu amonyak (NH3)ve sağdaki Urasil molekülü açığa çıkıyor. Aslında bu kimyasal denklem bu kadar basit. RNA'da Timin yerine Urasil bulunmasının sebebi de: Eğer DNA'da Urasil bulunabilecek olsaydı sitozin kolay bir şekilde Urasile dönüşüp bizim genetik şifremizin yapısını bozabilirdi. Eğer DNA'mız bu kadar kolay bozulabilen bir yapıya sahip olsaydı sürekli mutasyona uğramaya açık bir hale gelebilirdik. Sitozin ve Urasil'İn yapılarındaki benzerlikten ötürü hücre bölünmesi sırasında da Urasil ve Sitozin arasındaki farklı anlamak o kadar da kolay olmazdı. DNA'da Timin kullanılması ise çift sarmal yapının daha kararlı olmasını yani bir bakıma kendini şeklini daha düzgün koruyabilmesini sağlıyor.[1]
Bunun yanında RNA molekülü tek zincirli bir yapıya sahip olduğundan ve hücrenin esas genetik kodunun DNA tarafından taşınmasından kaynaklı, RNA molekülünde bir mutasyon olması yani Sitozinden Urasile dönüşmesi, sadece düzgün bir protein oluşmamasına sebep olacak ama o hücrenin DNA'sında bozulma olmayacağı için hücre içinde kalıcı bir hasara sebep olmayacaktır. [3]Aynı zamanda Urasil molekülünün de ayrıca RNA nın kararlılığını artırdığı paylaşılmıştır. [2]
Kaynaklar
- L. Madisha, et al. Difference Between Uracil And Thymine – Knowswhy.com. (6 Kasım 2017). Alındığı Tarih: 13 Eylül 2023. Alındığı Yer: Knowswhy | Arşiv Bağlantısı
- P. Das, et al. Adenine And Uracil Bond: What,How,Detailed Facts -. (10 Şubat 2022). Alındığı Tarih: 13 Eylül 2023. Alındığı Yer: Lambda Geeks | Arşiv Bağlantısı
- Admin. Rna - Structure, Functions And Types Of Rna. (1 Temmuz 2016). Alındığı Tarih: 13 Eylül 2023. Alındığı Yer: BYJUS | Arşiv Bağlantısı