Bu soru için arka arkaya 2 formül kullanmamız gerekiyor. İlk formülden başlayalım:
İlk kullanacağımız formül şu:
:sharpen(0.5,0.5,true)/old%2Fqna_media%2F258d4d147e95de0693a94c11d6f5e4f7.jpg)
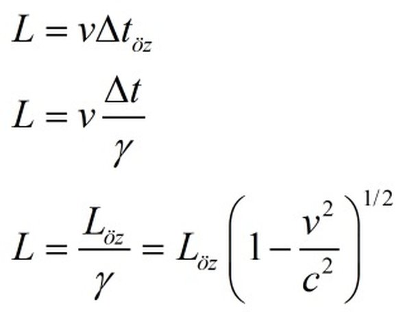
Biz, bu formülü şu şekilde de yazabiliriz:
L = L0 Karekök 1 - v2 / c2
L = Size göre Dünya - Alpha Centauri arasındaki uzaklığın ışık yılı cinsinden değeri
L0 = Gideceğiniz yıldızın uzaklığının ışık yılı cinsinden değeri (sorunuzda bu değer 4,3)
v = Sizin uzay aracınızda ilerlerken hızınız (sorunuzda bu değer 0,93)
c = Işık hızı (sabit ve değer olarak 1 alınır)
Şimdi siz uzay aracınızla yolculuğa çıktınız ve biz de bu formülle ilk olarak size göre Dünya - Alpha Centauri arasındaki uzaklığın kaç ışık yılı olduğunu bulalım:
L = 4,3 * Karekök 1 - (0,93)2 / 12
L = 4,3 * Karekök 1 - (0,8649) / 12
L = 4,3 * Karekök 1 - 0,8649
L = 4,3 * Karekök 0,1351
L = 4,3 * 0,36756
L = 1,58
Yani siz uzay aracınızda o kadar hızlı gidiyorsunuz ki; bize Dünya'da 4,3 ışık yılı uzaktaki yıldız, size sadece 1,58 ışık yılıymış gibi geliyor, bu kadar yüksek hızdan dolayı.
Şimdi, sizin için bu yolculuk ne kadar zamanınızı alacak onu hesaplayalım. Sizin gittiğiniz yolun, hızınıza oranı zamanı verir:
x = v * t0
x = Size göre Dünya - Alpha Centauri arasındaki uzaklığın kaç ışık yılı olduğu (1,58 olarak bulmuştuk)
v = Sizin uzay aracınızda ilerlerken hızınız (sorunuzda bu değer 0,93)
t0 = Sizin bu yolculuğunuzda harcadığınız zamanınız!
Dolayısıyla t0 değeri, sizin bu sorunuzun cevabı olacaktır;
t0 = x / v
t0 = 1,58 / 0,93 c
t0 = 1,6989
Yani yaklaşık olarak 1,7 ışık yılı!
Gerçekten bu hızda bir araçla 4,3 ışık yılı uzağa gittiğinizde ve oraya ulaştığınızda Dünya'da 4,3 yıldan daha fazla bir zaman geçerken (çünkü ışık hızının altındaki bir hızda gittiniz ve dolayısıyla Dünya'daki gözlemcilere göre ışıktan yavaşsınız ve bu yüzden Dünya'daki insanlara göre oraya 4,3 yıldan daha uzun bir zamanda ulaştınız) sizin için zaman sadece 1,7 yıl aktı ve 1,7 yıl yaşlandınız' Eğer aynı hızda hiç oyalanmadan Dünya'ya geri dönseydiniz 1,7 + 1,7 = 3,4 yıl zamanınız giderken, Dünya'da ise 4,3 + 4,3 = 8,6 yıldan daha uzun bir zaman aktı!
Kaynaklar
- Ögetay Kayalı. Özel Görelilik 5: Boy Kısalması. (2 Temmuz 2021). Alındığı Tarih: 2 Temmuz 2021. Alındığı Yer: Kozmik Anafor | Arşiv Bağlantısı