Bir parabole (0,0) başlangıç, referans noktasından çizilen teğetlerin birbirine dik olması durumu sonucunda deltanın ( Δ ) -1 değerine eşit olduğu bilgisini ispatlayalım.
Matematikte bir önermeyi veya teoremi açıklayıp, ispatını yaparken kullandığımız aksiyom olmayan bilgiler haricindeki diğer durumların da daha önceden açıklanması gerekir. Bu yazıda belirtilen durumda, delta kavramının -1'e eşit olduğu bilgisini ispatlamadan önce dik kesişen doğruların eğimleri çarpımının -1 olduğunu gösterelim.
/old/qna_media/4ae58403acae525583638e9ec56274b5.jpeg)
trigonometriden yararlanarak yaptığımız ispatımızda bize eğimi veren tanjant ifadesini kullandık. her iki doğrumuzun da açılarını belirleyip açılarına göre tanjant değerlerini belirledik. Ve bizim için yeterli olacak şekilde sadeleştirmelerimizi yaptık. İkinci adıma geçtiğimizde elimizdeki birtakım bilgileri kullanarak iki doğrunun tanjant değerlerini açı cinsinden birbirine benzer duruma getirdik. Üçüncü adımda,
denkliğini doğru kabul ederek işlemimize devam edelim. Bulduğumuz eğimleri birbiriyle çarpıp hipotezimizi sağlayıp sağlamadığını görelim.
sonuç olarak dik kesişen doğruların eğimleri çarpımının "-1" olduğunu söyleyebiliriz.
Şimdi asıl sorumuza yani parabolün teğetlerinin (0,0) noktasında dik açıyla kesişmesi durumunda neden delta (Δ) kavramını "-1" aldığımız konusuna dönelim.
/old/qna_media/8b6ad60d1160596e673ce7ba36e6dc3d.jpeg)
/old/qna_media/68d7251ad5391f44619b2b9a7281cdba.jpeg)
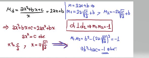
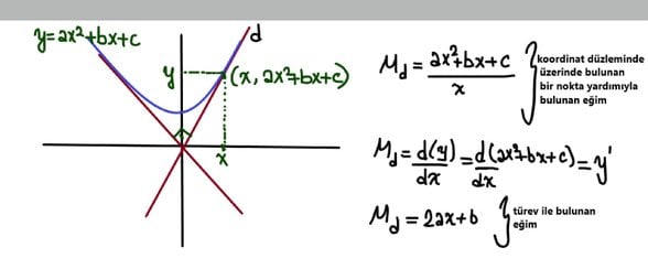
Parabolümüzün denklemi olsun. Parabolü kesen iki doğrudan birinin parabol ile kesiştiği bir x noktasını alalım. Ve o noktayı koordinat düzlemi üzerinde gösterelim. Aldığımız noktayı ve türevi kullanarak iki farklı doğrunun eğimini veren ifade elde edelim. Aynı doğrunun eğimini verdikleri için bu iki ifade birbirine eşittir diyebiliriz.
Birbirine eşitlediğimiz ifadeleri içler-dışlar çarpımı metodunu kullanarak kök olan x bilinmeyenine ulaşmaya çalışalım. Kökleri görseldeki gibi ve olarak buluruz.
denkliğini kullanarak sonuca ulaşalım.
Eğimleri bulabilmek için her iki kök de ifadesinde x yerine yerleştirilir. Ve çarpılıp 1'e eşitlenir.
Sonuç olarak yani delta (Δ) ifadesi -1'e eşit buluruz.
Bu (0,0) referans noktasında dik kesişen parabol teğet doğrularının görüldüğü durumda delta(Δ) -1'e eşittir hipotezimizi doğrular.