Neoklasik İktisat Genel Denge Modeli ile Neyi Açıklar?

- Özgün
- Ekonomi (İktisat)
Neoklasik iktisat teorisinin hemen hemen bütün modern modellerinin özü, Leon Walras’ın "Saf Değişim Modeli"nden yola çıkarak türettiği "Genel Denge Modeli"ne dayanmaktadır. Dolayısıyla Neoklasik iktisat teorisini ve teorinin açıklama gücünü anlamak için, Leon Walras’ın modelini bilmek olmazsa olmaz niteliktedir.
Genel Denge Modeli
Öncelikle model; üretimin olmadığı, tüm insanların önceden bahşedilmiş (İng: "endowment") bir ürün sepetine sahip olduğu bir ekonomi varsayımını yapıyor. Aşağıdaki grafikte gösterildiği üzere arz eğrisi, 'S', tüm insanların sepetlerindeki ürünler toplamının sabit olduğunu veri olarak göstermekte. Dolayısıyla, arz eğrisi dik olarak ifade edilir. Ekonomide hiç kimse sepetindeki ürün miktarını belirleyemez. Ürünler rassal olarak (rastgele bir şekilde) dağıtılmıştır ve her sepette olan ürün miktarı veri olarak kabul edilir. 'D' ile ifade edilen talep eğrisi ise kısaca, fiyat ile talep arasındaki negatif ilişkiyi göstermekte. Yani, bir malın fiyatının, miktarındaki artıştan doğan, düşüşüne karşılık talebin artmasını ifade etmektedir.

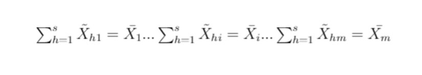
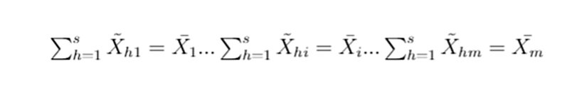
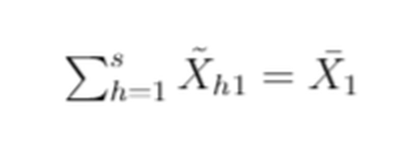
Ekonomideki mal miktarı i=1,2,3,...,i...,mi=1,2,3,...,i..., m bu malların ayrı ayrı sabit toplam x=(X1ˉ,X2ˉ...Xiˉ...Xmˉ)x=(\bar{X_1},\bar{X_2}...\bar{X_i}...\bar{X_m}) insanlar ise h=1,2,3,...,sh=1,2,3,...,s şeklinde ifade edilir. Dolayısıyla bir insanın sahip olduğu mal sepetini matematiksel olarak şu şekilde ifade edebiliriz:

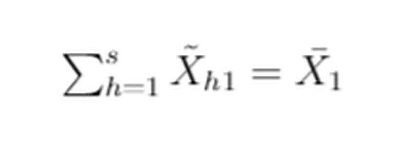
Bu ifadeyi toplumdaki tüm insanlar için uygulayıp, genişletirsek elde edeceğimiz yeni ifade şu olur:

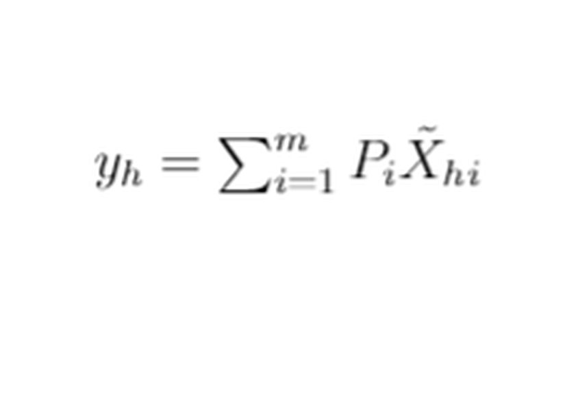
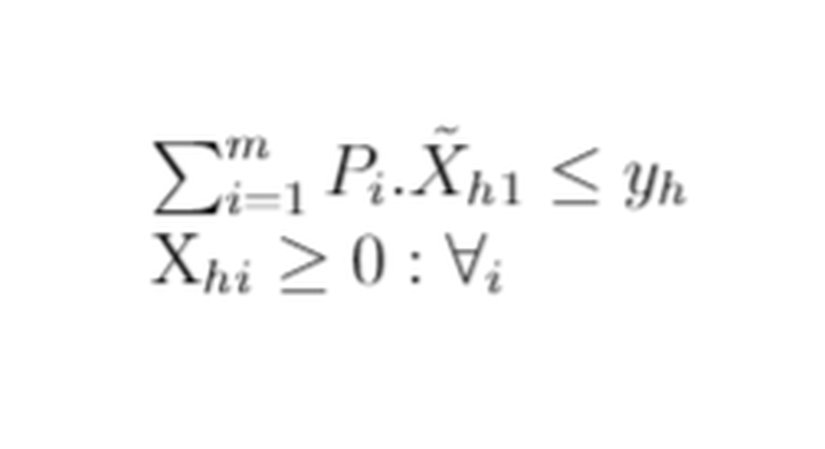
Tüm malların fiyatları ayrı ayrı, P=[P1,P2,...Pi...Pm]P=[P_1,P_2,...P_i...P_m] şeklinde ifade edilirse; bir kişinin sahip olduğu mal miktarının parasal toplamı, diğer bir deyişle, o kişinin toplam bütçesi elde edilebilir:

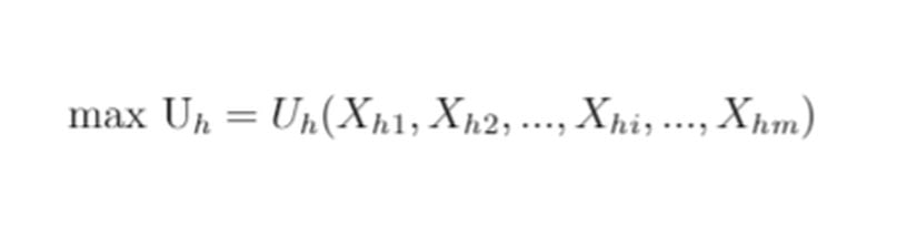
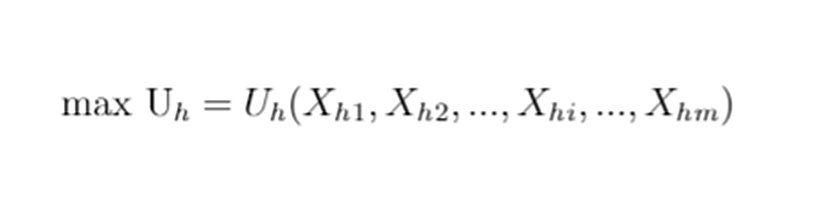
Fayda teorisine göre her insanın ürün tüketerek faydasını maksimize ettiğini varsayarsak; her sepette rassal şekilde bahşedilmiş mallar, kişilerin tercih farklılıklarından dolayı mübadele edilir. Bu değişim ile insanlar faydalarını maksimize ederler. Bu durumun matematiksel ifadesi tam olarak şudur:

Bu, aşağıdaki iki koşula bağlı olarak yapılır:

Kişinin mübadele planları toplamı ise şu şekilde ifade edilir:

Tüm ürünler toplamları matris içerisine koyularak aynı satır ve sütun sayısına ait bir matris elde edilir. Diğer tüm malları kendi cinsinden (görece) bir nevi ölçecek mal, rassal bir şekilde seçilerek denklem 'm-1' sayıya düşürülür ve çözülebilir bir matris elde edilir. Bu seçilen mala Walras, "Numéraire" adını verir. Bu matrisin matematiksel çözümü kısaca, herhangi bir ürün piyasasında oluşacak arz fazlası yada talep fazlası, matematiksel genel toplamda sıfıra eşitlenir. Yani bir malın piyasasında oluşan talep fazlalığı diğer bir malın piyasasındaki talep eksikliği yada arz fazlalığı ile dengelenmiş olur.
Bu noktada şunları belirtmek gerekir: Oluşan karar matrisinden çıkarılacak 'görece fiyat ölçeği'nin negatif olmayıp (bir ürünün fiyatının negatif olamaması) iktisaden mantıklı sonuç verebilmesi için üretici ve tüketici teorileri amaca uygun varsayımlar ile tasarlanmıştır.
Dört Maldan Oluşan Ekonomi Örneği
Şimdi sistemi daha da basit hale getirmek için dört maldan oluşan bir ekonomi varsayımı yapalım. Bu ekonomi Walrasyan genel denge ile şu şekilde ifade edilir:
Evrim Ağacı'nın çalışmalarına Kreosus, Patreon veya YouTube üzerinden maddi destekte bulunarak hem Türkiye'de bilim anlatıcılığının gelişmesine katkı sağlayabilirsiniz, hem de site ve uygulamamızı reklamsız olarak deneyimleyebilirsiniz. Reklamsız deneyim, sitemizin/uygulamamızın çeşitli kısımlarda gösterilen Google reklamlarını ve destek çağrılarını görmediğiniz, %100 reklamsız ve çok daha temiz bir site deneyimi sunmaktadır.
KreosusKreosus'ta her 50₺'lik destek, 1 aylık reklamsız deneyime karşılık geliyor. Bu sayede, tek seferlik destekçilerimiz de, aylık destekçilerimiz de toplam destekleriyle doğru orantılı bir süre boyunca reklamsız deneyim elde edebiliyorlar.
Kreosus destekçilerimizin reklamsız deneyimi, destek olmaya başladıkları anda devreye girmektedir ve ek bir işleme gerek yoktur.
PatreonPatreon destekçilerimiz, destek miktarından bağımsız olarak, Evrim Ağacı'na destek oldukları süre boyunca reklamsız deneyime erişmeyi sürdürebiliyorlar.
Patreon destekçilerimizin Patreon ile ilişkili e-posta hesapları, Evrim Ağacı'ndaki üyelik e-postaları ile birebir aynı olmalıdır. Patreon destekçilerimizin reklamsız deneyiminin devreye girmesi 24 saat alabilmektedir.
YouTubeYouTube destekçilerimizin hepsi otomatik olarak reklamsız deneyime şimdilik erişemiyorlar ve şu anda, YouTube üzerinden her destek seviyesine reklamsız deneyim ayrıcalığını sunamamaktayız. YouTube Destek Sistemi üzerinde sunulan farklı seviyelerin açıklamalarını okuyarak, hangi ayrıcalıklara erişebileceğinizi öğrenebilirsiniz.
Eğer seçtiğiniz seviye reklamsız deneyim ayrıcalığı sunuyorsa, destek olduktan sonra YouTube tarafından gösterilecek olan bağlantıdaki formu doldurarak reklamsız deneyime erişebilirsiniz. YouTube destekçilerimizin reklamsız deneyiminin devreye girmesi, formu doldurduktan sonra 24-72 saat alabilmektedir.
Diğer PlatformlarBu 3 platform haricinde destek olan destekçilerimize ne yazık ki reklamsız deneyim ayrıcalığını sunamamaktayız. Destekleriniz sayesinde sistemlerimizi geliştirmeyi sürdürüyoruz ve umuyoruz bu ayrıcalıkları zamanla genişletebileceğiz.
Giriş yapmayı unutmayın!Reklamsız deneyim için, maddi desteğiniz ile ilişkilendirilmiş olan Evrim Ağacı hesabınıza üye girişi yapmanız gerekmektedir. Giriş yapmadığınız takdirde reklamları görmeye devam edeceksinizdir.
P1.[D1−X1ˉ]+P2.[D2−X2ˉ]+P3.[D3−X3ˉ]+P4.[D4−X4ˉ]=0P_1.[D_1-\bar{X_1}]+P_2.[D_2-\bar{X_2}]+P_3.[D_3-\bar{X_3}]+P_4.[D_4-\bar{X_4}]=0
Bu denklem için bir örnek verilirse, ifade edilen birinci sektördeki fazlalık ikinci ve üçüncü sektörlerdeki eksiklik ile dengelendiği durumda dördüncü sektör sıfıra eşit olacaktır ve dördüncü sektör için çözüm gereksizdir. Dolayısıyla, bu matematiksel modelden hareketle inşa edilen çoğu makro modeller için örneğin aşağıda verilen Neoklasik Fisher Modeli için, dört temel piyasa (mal ve hizmet piyasası, bono piyasası, para piyasası ve faktör (emek) piyasası) toplamı sıfıra eşittir:
(Yd−Ys)+(Bd−Bs)+(Md−Ms)+(Nd−Ns)=0(Y^d-Y^s)+(B^d-B^s)+(M^d-M^s)+(N^d-N^s)=0
Bu piyasalardan 3’ü denge durumunda ise 4’üncüsü matematiksel olarak denge durumunda olmak zorundadır. Bu matematiksel modelin çalışması ve iktisadi mantığa oturması için gerçeklikle benzeşmeyen çok ağır kısıtlamalar şarttır. Bunlardan akla ilk gelenleri: Tam rekabet piyasa koşulu ve tüketicilerin sosyal olarak moron olmaları yani birbirlerinden ve toplumdaki kurumlardan etkilenmeyerek, bağımsız tercihlerde bulunmalarıdır. Yapılan tüm varsayımlar gerçeklikten bir hayli uzak olduğu gibi, model, gerçek dünyayı ve problemlerini anlama konusunda hayli tartışmalıdır.
Gerçekte üretim zaman alan bir olgu olup; üreticiler üretimlerini talep beklentisine ya da temelde bu talep ve satış sonrası elde edilecek kâr beklentisine göre yapmaktadır. Keynesyen iktisatın genel eleştirisi bu yönde şekillenmiştir. Kurulan bu yapı aslında bireylerin tekil düşünsel tüketim planlarından (gerçekleşmeyen zihindeki düşünsel ifade), ekonomideki düşünsel tüketim planları toplamına ulaşır. Yani, ekonomideki tüm insanların bu düşünsel taleblerinin toplamı modele göre ekonomideki toplam talebi verir.
Modelin Eleştirisi
Ekonomide tüketiciler tarafından tüketilen iki normal mal düşünelim. Neoklasik iktisata göre, bireyler fayda teorisi temel alınarak mal tüketimiyle sürekli fayda maksimizasyonu yaparlar. Teoriye göre daha fazla tüketme isteği insan doğasıdır. Şimdi mallardan birinin (y) fiyatı sabitken, diğerinin (x) fiyatı düşerse, bir tüketici sabit geliri ile x malından daha fazla satın alıp tüketmek isteyecektir. Bu durum aşağıdaki ‘a’ grafiğinde ifade edilmiştir.

Bu düşünsel tüketim durumlarından kişinin bireysel tüketim planı, birinci grafiğin hemen altındaki ‘b’ grafiği ile negatif eğimli olarak saptanır. Walrasyan denge analizindeki talep eğrisi ekonomideki tüm tüketicilerin düşünsel tüketim planı toplamlarından başka birşey değildir. Aynı şey düşünsel üretim planları toplamı için de geçerli olup, sağ taraftaki ‘c’ grafiğinde ifade edilmektedir. Sol alttaki kişinin düşünsel tüketim planı ile, 'b', tüm bireylerin bu planlar toplamının ifade edildiği ‘c’ grafiği arasında doğrudan ilişki mevcuttur. Fakat kişiler Walrasyan denge analizine göre yalnızca denge durumunda ekonomik aktivitelerini yapmak zorunda oldukları için totolojik bir durum söz konusudur. Bireylerinlerin düşünsel taleb toplamı, kişilerin tekil talep planları toplamını gerektirirken; aynı bireylerinlerin kişisel ve düşünsel mal talepleri de denge durumunu gerektirmektedir.
Walrasyan denge analizine göre, denge durumu dışındaki her alan, sağ taraftaki 'c' grafiğinde kırmızı elipsler ile ifade edilen kısımlar, konu dışı yada önemsizdir. Ekonomide bir müzayedeci (İng: "Totonnement") varsayımı yapılır. Bu müzayedeci ortaya çıkan arz veya talep fazlası durumlarda fiyatları hesaplayarak denge durumunu sağlamaktadır.
Tekrar vurgulamak gerekirse denge durumu dışında ekonomik aktiviteler gerçekleşmez; bir nevi insanlar mal talebinde bulunmak için denge durumunu beklerler. Bu noktada bu modelin bir ‘ekonomik krize’ dair hiçbir açıklama getiremeyeceğini söylemek son derece doğrudur. Model, olası bir fazla üretimden doğan arz fazlası veya Keynesyen tabirle yetersiz talep yönlü krizleri analizin dışında durumlar olarak varsayar; yani bu durumlar konu dışı, alakasız durumlardır.
Bir söylentiye göre Leon Walras dönemin Sosyalist çevrelerinden çok fazla etkilenmiş ve genel dengenin ekonomide var olmasının ne kadar imkansızlıklar silsilesine bağlı olduğunu göstermeye çalışmıştır.
Neoklasik iktisat modellerinin neredeyse tümü Walrasyan genel denge kuramına sıkı sıkıya bağlıdır. Öyle ki, Genel Denge Modeli hakkında çok geniş bir literatür mevcuttur. Fakat, bu iktisat ekolünün, merkezinde yer alan bu kuram ile iktisadi aktiviteleri ne kadar açıkladığı akademik çevrelerce tartışma konusu olmuştur.
Evrim Ağacı'nda tek bir hedefimiz var: Bilimsel gerçekleri en doğru, tarafsız ve kolay anlaşılır şekilde Türkiye'ye ulaştırmak. Ancak tahmin edebileceğiniz gibi Türkiye'de bilim anlatmak hiç kolay bir iş değil; hele ki bir yandan ekonomik bir hayatta kalma mücadelesi verirken...
O nedenle sizin desteklerinize ihtiyacımız var. Eğer yazılarımızı okuyanların %1'i bize bütçesinin elverdiği kadar destek olmayı seçseydi, bir daha tek bir reklam göstermeden Evrim Ağacı'nın bütün bilim iletişimi faaliyetlerini sürdürebilirdik. Bir düşünün: sadece %1'i...
O %1'i inşa etmemize yardım eder misiniz? Evrim Ağacı Premium üyesi olarak, ekibimizin size ve Türkiye'ye bilimi daha etkili ve profesyonel bir şekilde ulaştırmamızı mümkün kılmış olacaksınız. Ayrıca size olan minnetimizin bir ifadesi olarak, çok sayıda ayrıcalığa erişim sağlayacaksınız.
Makalelerimizin bilimsel gerçekleri doğru bir şekilde yansıtması için en üst düzey çabayı gösteriyoruz. Gözünüze doğru gelmeyen bir şey varsa, mümkünse güvenilir kaynaklarınızla birlikte bize ulaşın!
Bu makalemizle ilgili merak ettiğin bir şey mi var? Buraya tıklayarak sorabilirsin.
Soru & Cevap Platformuna Git- 2
- 2
- 2
- 1
- 0
- 0
- 0
- 0
- 0
- 0
- 0
- 0
- Mas-Colell & Whinston, et al. (1995). Microeconomic Theory. ISBN: 978-0-19-50734-0. Yayınevi: Oxford University Press.
Evrim Ağacı'na her ay sadece 1 kahve ısmarlayarak destek olmak ister misiniz?
Şu iki siteden birini kullanarak şimdi destek olabilirsiniz:
kreosus.com/evrimagaci | patreon.com/evrimagaci
Çıktı Bilgisi: Bu sayfa, Evrim Ağacı yazdırma aracı kullanılarak 08/10/2025 01:26:39 tarihinde oluşturulmuştur. Evrim Ağacı'ndaki içeriklerin tamamı, birden fazla editör tarafından, durmaksızın elden geçirilmekte, güncellenmekte ve geliştirilmektedir. Dolayısıyla bu çıktının alındığı tarihten sonra yapılan güncellemeleri görmek ve bu içeriğin en güncel halini okumak için lütfen şu adrese gidiniz: https://evrimagaci.org/s/7460
İçerik Kullanım İzinleri: Evrim Ağacı'ndaki yazılı içerikler orijinallerine hiçbir şekilde dokunulmadığı müddetçe izin alınmaksızın paylaşılabilir, kopyalanabilir, yapıştırılabilir, çoğaltılabilir, basılabilir, dağıtılabilir, yayılabilir, alıntılanabilir. Ancak bu içeriklerin hiçbiri izin alınmaksızın değiştirilemez ve değiştirilmiş halleri Evrim Ağacı'na aitmiş gibi sunulamaz. Benzer şekilde, içeriklerin hiçbiri, söz konusu içeriğin açıkça belirtilmiş yazarlarından ve Evrim Ağacı'ndan başkasına aitmiş gibi sunulamaz. Bu sayfa izin alınmaksızın düzenlenemez, Evrim Ağacı logosu, yazar/editör bilgileri ve içeriğin diğer kısımları izin alınmaksızın değiştirilemez veya kaldırılamaz.