Kimyasal Tepkimelerde Hız: Bazı Tepkimelerin Nanosaniyeler, Bazılarının Yıllar Sürmesine Neden Olan Ne?

- Özgün
- Kimyasal Kinetik
- Termokimya
Bu Makalede Neler Öğreneceksiniz?
- Define chemical kinetics as the study of reaction rates, which is important across chemistry, biology, pharmacology, cosmology, and industry.
- Explain the Collision Theory's three postulates: particles must have sufficient kinetic energy, collide at the correct angle, and reaction rate is proportional to such collisions.
- Describe the Maxwell-Boltzmann distribution showing particle speed depends directly on temperature and inversely on particle mass.
Marketten bir süt aldığımızda bozulmasını veya metal bir takı aldığımızda paslanmasını istemeyiz. Tam tersi bir durumda, endüstriyel üretim yapılırken ise üretimin çabuk olmasını veya bir ilaç aldığımızda çabuk etki etmesini isteriz. Tüm bunlar, kimyasal tepkimelerin hızı ile ilgilidir.
Kimyasal tepkimelerin hızları ile ilgili kimya dalına kimyasal kinetik adı verilir. Kimyasal kinetik sadece kimya için değil, biyoloji, farmakoloji, kozmoloji, endüstri ve kimyanın kullanıldığı her alan için çok önemlidir. Bir tepkimenin hızını anlayabilmek ve onu ölçebilmek için önce mikroskopik düzeyde tepkimelerin nasıl gerçekleştiğini anlamalıyız.
Çarpışma Teorisi
Bu teori, adından da anlaşılacağı üzere parçacıkların çarpışması ile ilgilidir. Bu teorinin 3 temel postulatı vardır:
- Çarpışmanın tepkime ile sonuçlanabilmesi için parçacıkların belirli bir kinetik enerjiye sahip olması gerekir. Bu enerjiye sahip olmayan parçacıkların çarpışması sonucu tepkime gerçekleşmez.
- Parçacıkların doğru açı ile çarpışması gerekir. Bir molekül yeterli enerjiye sahip olmasına rağmen doğru açı ile çarpışmazsa tepkime gerçekleşmez.
- Bu şartı sağlayan çarpışmaların sayısı ile tepkime hızı doğru orantılıdır.

Tepkime hızını bu postulatlar üzerinden yorumlarsak: Parçacıkların çarpışma açısı bizim etkileyebileceğimiz bir şey değildir; fakat ortamın sıcaklığını arttırarak parçacıkların enerjisini arttırabiliriz. Parçacıkların enerjisini arttırdığımız zaman 3. madde doğrultusunda tepkimenin hızını arttırabiliriz. Yazımız ilerledikçe bu konu hakkında daha fazla açıklama yapacağız.
Sabit bir T sıcaklığında bile parçacıkların hepsi aynı hızda hareket etmez. Parçacıkların hızı, Maxwell-Boltzmann dağılımına uyar. Bu dağılım hızı bize belirli bir T sıcaklığındaki parçacıkların hızlarını ve bu hıza sahip parçacıkların sayısını gösterir. Bu dağılımın matematiksel detaylarına girmeyeceğiz; fakat merak edenler için matematiksel formu şöyledir:

Maxwell-Boltzmann dağılımının bize verdiği iki önemli bilgi vardır:
- Parçacığın hızı ile ortam sıcaklığı doğru orantılıdır. Sıcaklık arttıkça Maxwell-Boltzmann dağılımı değişime uğrar ve belirli bir hızı geçen parçacık sayısı artar.
- Parçacığın hızı ve kütlesi ters orantılıdır. Parçacığın kütlesi arttıkça yüksek hızlara ulaşma olasılığı azalır.

Geçiş Hali Teorisi
Daha önce bahsettiğimiz enerji gerekliliği bu teori ile açığa kavuşacaktır. Bir tepkimeyi başlatmak için gerekli olan enerjiye aktivasyon enerjisi denir. Eğer parçacıkların çarpışması sonucu ortaya çıkan enerji tepkimenin başlaması için yeterli düzeydeyse aktifleşmiş kompleks oluşur.

Aktifleşmiş kompleks çok yüksek enerjiye sahip dengesiz bir yapıdır. Aktifleşmiş kompleks girenler ve ürünler arası karma bir forma sahiptir. Çok kısa bir zamanda bozunur ve bu bozunma sonucu ürünler oluşur. Maxwell-Boltzmann dağılımı ve sıcaklık etkisini burada daha iyi gözlemleyebiliriz. Maxwell-Boltzmann dağılımını incelediğimizde sadece belirli bir kesim parçacığın enerjisinin yeterli olduğunu görürüz. Geri kalan tüm koşulları sabit tutup sıcaklığı arttırdığımızda ise daha fazla sayıda parçacık bu enerjiye sahip olur.

Aktivasyon enerjsini aşan parçacık sayısının artması daha fazla çarpışmanın tepkime ile sonuçlanacağını gösterir. Bu sonuç çarpışma teorisinin 3.postulatı ile uyumludur. Ortamın sıcaklığı arttıkça tepkime hızının artması bundan dolayıdır.
Tepkimenin Hızı
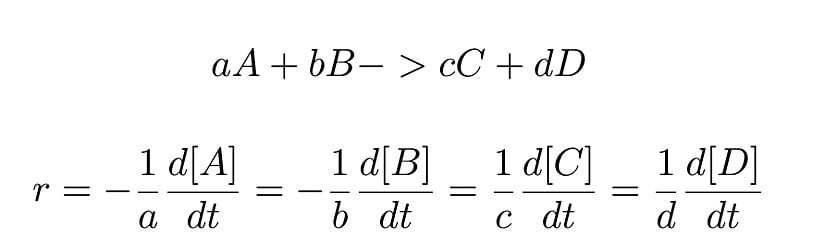
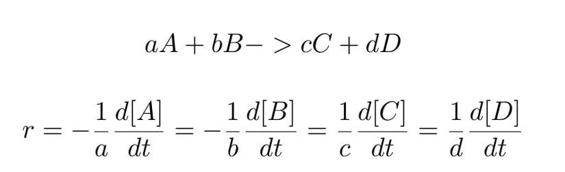
Kimyasal tepkimeleri mikroskopik düzeyde inceledik. Peki bu sonuçları makroskopik düzeye nasıl genelleştiriz ve tepkime hızlarını nasıl ölçebiliriz ? Bunun için molarite kavramı ile başlayalım. Molarite mol/litre olarak tanımlanır. Mol kavramı bize parçacık sayısını belirtir. Bir mol H2O dediğimizde 6,022x1023 tane su molekülünü kastederiz. Bu sayı kimya için çok önemlidir ve Avogadro sayısı olarak adlandırılır. Basit bir tepkimeyi inceleyelim.

Burada A girenleri ve B ürünleri temsil etmektedir. Zamanla A parçacıkları tepkimeye girerek B parçacıklarını oluşturur. Bu durumda A parçacıkları sayısal olarak azalacağı için molaritesi düşmeye başlar ve B parçacıkları oluşacağı için molaritesi artmaya başlar. Bunu grafikten de görebiliriz. Tepkimenin ileri zamanlarında A parçacıklarının sayısı çok azalacağı için çarpışmalar çok nadir olmaya başlar. Buradan şu sonuca varabiliri : zamanla tepkimenin hızı yavaşlar.
Aslında maddi destek istememizin nedeni çok basit: Çünkü Evrim Ağacı, bizim tek mesleğimiz, tek gelir kaynağımız. Birçoklarının aksine bizler, sosyal medyada gördüğünüz makale ve videolarımızı hobi olarak, mesleğimizden arta kalan zamanlarda yapmıyoruz. Dolayısıyla bu işi sürdürebilmek için gelir elde etmemiz gerekiyor.
Bunda elbette ki hiçbir sakınca yok; kimin, ne şartlar altında yayın yapmayı seçtiği büyük oranda bir tercih meselesi. Ne var ki biz, eğer ana mesleklerimizi icra edecek olursak (yani kendi mesleğimiz doğrultusunda bir iş sahibi olursak) Evrim Ağacı'na zaman ayıramayacağımızı, ayakta tutamayacağımızı biliyoruz. Çünkü az sonra detaylarını vereceğimiz üzere, Evrim Ağacı sosyal medyada denk geldiğiniz makale ve videolardan çok daha büyük, kapsamlı ve aşırı zaman alan bir bilim platformu projesi. Bu nedenle bizler, meslek olarak Evrim Ağacı'nı seçtik.
Eğer hem Evrim Ağacı'ndan hayatımızı idame ettirecek, mesleklerimizi bırakmayı en azından kısmen meşrulaştıracak ve mantıklı kılacak kadar bir gelir kaynağı elde edemezsek, mecburen Evrim Ağacı'nı bırakıp, kendi mesleklerimize döneceğiz. Ama bunu istemiyoruz ve bu nedenle didiniyoruz.
Peki tepkime hızını nasıl matematiksel olarak ifade edebiliriz? Yukarıdaki sonucumuzdan matematiksel bir ifade türetmeyi deneyelim. Tepkime hızının mikroskopik düzeyde çarpışmalarla doğru orantılı olduğunu biliyoruz. Bunu makroskopik düzeyde molarite ile ifade edebiliriz çünkü molarite arttıkça birim hacimdeki parçacık sayısı artar ve daha çok çarpışma yaşanır. Örnek bir tepkime inceleyelim.

Burada [A][A] ifadesi A'nın molaritesi anlamına gelmektedir. ddt\frac{d}{dt} ifadesi ise türev operatörüdür. Burada zamana göre türev almamızın anlamı şudur: Sonsuz küçük zaman aralığında molaritenin ne kadar değiştiğini hesaplamak. Tepkime hızının bu tanımı kapalı izokorik (sabit basınçlı) sistem için IUPAC (International Union of Pure and Applied Chemistry) tarafından yapılmıştır. AA ve BB ile ilgili ifadelerin başındaki eksi (−-) işareti ise onların harcanmalarından, dolayısıyla eksiliyor olmalarından dolayıdır.
Tepkime Hız Denklemi
Yukarıdaki tepkime örneğinden devam edelim. Bu tepkime için hız denklemini şu şekilde yazabiliriz.

Burada kk bir sabit, mm ve nn tam sayılardır. KK sabitini Arrhenius denklemini kullanarak tanımlayabiliriz.

Burada EaE_a aktivasyon enerjisi, RR gaz sabiti ve TT de mutlak sıcaklıktır. Sıcaklık arttıkça KK sabitinin değeri artar. AA çarpanı sıklık sabiti olarak adlandırılır ve başarıyla sonuçlanan çarpışmaların bir göstergesidir.
Hız denklemindeki mm ve nn sayılarına odaklanalım. m+nm+n toplamına tepkimenin derecesi denir. Tek aşamada gerçekleşen tepkimeler için a=ma=m ve b=nb=n önermesi doğrudur fakat çok aşamalı tepkimelerde eşit olmak zorunda değildirler. Çok aşamalı bir tepkimeyi inceleyelim.

En genel tepkimeye bakarak hız ifadesini şu şekilde yazabiliriz: r=k[NO2][CO]r= k[NO_2][CO]. Fakat deneysel sonuçlar bize bunun yanlış olduğunu göstermektedir. Deneylerin analizi sonucu hız tepkimesi r=k[NO2]r=k[NO_2] olarak belirlenmiştir. Kimyagerler bunu açıklamak için şöyle bir mekanizma önermiştir: Çok aşamalı tepkimelerde hız denklemini tepkimenin en yavaş adımı belirler. Tepkimenin yavaş adımı en yüksek aktivasyon enerjisine sahip adımdır ve tepkimenin önündeki en büyük engeldir. Bu adım gerçekleştikten sonra tepkime çok daha hızlı bir şekilde devam eder.


Bu reaksiyon için en yavaş olan aşama ilk aşamadır çünkü aktivasyon enerjisinin en büyük olduğu aşama ilkidir.
Tepkimenin Hızını Etkileyen Faktörler
Tepkimenin hızını arttırmak için 4 farklı yöntem izleyebiliriz.
- Girenlerin molaritesini arttırmak. Daha fazla sayıda parçacık daha fazla çarpışmaya yol açar.
- Sıcaklığı arttırmak. Parçacıkların enerjisini arttırdığımızda daha fazla çarpışma tepkime ile sonuçlanır.
- Yüzey alanını arttırmak: Katı ve sıvılarda daha fazla yüzey alanı demek daha fazla tepkimeye girilebilecek potansiyel parçacık dmektir ve tepkime hızı artar.
- Katalizör kullanmak. Katalizörler aktivasyon enerjisini düşürerek tepkimeyi hızlandırırlar. Tepkimede harcanmazlar ve girdikleri gibi çıkarlar.
Sonuç
Reaksiyonlar karmaşıklaştıkça reaksiyon kinetiğinin incelenmesi çok zorlaşır. Kimi zaman aynı anda 5-6 reaksiyon gerçekleşir ve her birinin ayrı mekanizmaları vardır.
Bu yazımızda matematiksel olarak çok detaylara girmeden konuya dair genel bir fikir vermeye çalıştık. İleri okuma için Atkin's Physical Chemistry, Physical Chemistry: A Molecular Approach ve kimyasal kinetiğin en büyük isimlerinden biri olan Keith J. Laidler tarafından yazılmış Chemical Kinetics kitabı önerilebilir.
Evrim Ağacı'nda tek bir hedefimiz var: Bilimsel gerçekleri en doğru, tarafsız ve kolay anlaşılır şekilde Türkiye'ye ulaştırmak. Ancak tahmin edebileceğiniz gibi Türkiye'de bilim anlatmak hiç kolay bir iş değil; hele ki bir yandan ekonomik bir hayatta kalma mücadelesi verirken...
O nedenle sizin desteklerinize ihtiyacımız var. Eğer yazılarımızı okuyanların %1'i bize bütçesinin elverdiği kadar destek olmayı seçseydi, bir daha tek bir reklam göstermeden Evrim Ağacı'nın bütün bilim iletişimi faaliyetlerini sürdürebilirdik. Bir düşünün: sadece %1'i...
O %1'i inşa etmemize yardım eder misiniz? Evrim Ağacı Premium üyesi olarak, ekibimizin size ve Türkiye'ye bilimi daha etkili ve profesyonel bir şekilde ulaştırmamızı mümkün kılmış olacaksınız. Ayrıca size olan minnetimizin bir ifadesi olarak, çok sayıda ayrıcalığa erişim sağlayacaksınız.
Makalelerimizin bilimsel gerçekleri doğru bir şekilde yansıtması için en üst düzey çabayı gösteriyoruz. Gözünüze doğru gelmeyen bir şey varsa, mümkünse güvenilir kaynaklarınızla birlikte bize ulaşın!
Bu makalemizle ilgili merak ettiğin bir şey mi var? Buraya tıklayarak sorabilirsin.
Soru & Cevap Platformuna Git- 32
- 14
- 6
- 5
- 5
- 4
- 3
- 2
- 0
- 0
- 0
- 0
- Wikipedia. Reaction Rate. (12 Nisan 2020). Alındığı Tarih: 12 Nisan 2020. Alındığı Yer: Wikipedia | Arşiv Bağlantısı
- BC Open Textbooks. Chemical Reaction Rates. (12 Nisan 2020). Alındığı Tarih: 12 Nisan 2020. Alındığı Yer: BC Open Textbooks | Arşiv Bağlantısı
- Wikipedia. Maxwell–Boltzmann Distribution. (12 Nisan 2020). Alındığı Tarih: 12 Nisan 2020. Alındığı Yer: Wikipedia | Arşiv Bağlantısı
Evrim Ağacı'na her ay sadece 1 kahve ısmarlayarak destek olmak ister misiniz?
Şu iki siteden birini kullanarak şimdi destek olabilirsiniz:
kreosus.com/evrimagaci | patreon.com/evrimagaci
Çıktı Bilgisi: Bu sayfa, Evrim Ağacı yazdırma aracı kullanılarak 05/10/2025 01:45:40 tarihinde oluşturulmuştur. Evrim Ağacı'ndaki içeriklerin tamamı, birden fazla editör tarafından, durmaksızın elden geçirilmekte, güncellenmekte ve geliştirilmektedir. Dolayısıyla bu çıktının alındığı tarihten sonra yapılan güncellemeleri görmek ve bu içeriğin en güncel halini okumak için lütfen şu adrese gidiniz: https://evrimagaci.org/s/8531
İçerik Kullanım İzinleri: Evrim Ağacı'ndaki yazılı içerikler orijinallerine hiçbir şekilde dokunulmadığı müddetçe izin alınmaksızın paylaşılabilir, kopyalanabilir, yapıştırılabilir, çoğaltılabilir, basılabilir, dağıtılabilir, yayılabilir, alıntılanabilir. Ancak bu içeriklerin hiçbiri izin alınmaksızın değiştirilemez ve değiştirilmiş halleri Evrim Ağacı'na aitmiş gibi sunulamaz. Benzer şekilde, içeriklerin hiçbiri, söz konusu içeriğin açıkça belirtilmiş yazarlarından ve Evrim Ağacı'ndan başkasına aitmiş gibi sunulamaz. Bu sayfa izin alınmaksızın düzenlenemez, Evrim Ağacı logosu, yazar/editör bilgileri ve içeriğin diğer kısımları izin alınmaksızın değiştirilemez veya kaldırılamaz.