Kimyasal Reaksiyonlardaki Kuantum Dolanıklığı Nasıl Tespit Ederiz?

- Türev
- Kuantum Kimya
Bilim insanları, uzun zamandır bu kuantum fenomeninin, fotosentez ve doğanın diğer kimyasal reaksiyonlarında rol oynayabileceğinden şüpheleniyorlardı; ancak böylesi bir fenomenin tanımlanması çok zor olduğu için kesin olarak emin olamıyorlardı.
Purdue Üniversitesi araştırmacıları, kimyasal reaksiyonlardaki dolanıklığı ölçmenin yeni bir yolu olduğunu göstermeyi başardılar: Kuantum partiküllerinin, büyük bir mesafede, birbirleriyle özel bir korelasyon sağlama yeteneğini kullandılar.

Bu tür kimyasal reaksiyonların nasıl çalıştıklarını tam olarak ortaya çıkarmak, daha iyi güneş enerjisi sistemleri tasarlamak gibi yeni teknolojilerde, onları taklit etmenin veya yeniden üretmenin yollarını açabilir.
Science Advances dergisinde yayınlanan çalışma, kimyasal reaksiyonlardaki dolanıklığı tanımlamak için “Bell Eşitsizliği” teoremini genelleştiriyor. Teorik argümanlara ek olarak, araştımacılar, genelleştirilmiş eşitsizliği, yapılan kuantum simulasyonu testleri ile de doğruladılar. Purdue’da bir kimya profesörü olan Sabre Keis şöyle diyor:
Kimse henüz kimyasal reaksiyonlarda deneysel olarak dolaşmayı göstermedi; çünkü bunu ölçmek için bir yolumuz yoktu. İlk defa, ölçmek için pratik bir yolumuz var. Şimdi sorun şu ki, kimyasal reaksiyonların sonucunu tahmin etmek ve kontrol etmek için, kuantum dolanıklığı kendi avantajımıza kullanabilir miyiz?
1964’ten bu yana Bell Eşitsizliği, yaygın olarak doğrulandı ve bir kuantum parçacağın dönüşünün oryantasyonunun ölçülmesi, daha sonra bu ölçümün başka bir parçacığın dönüşü ile korele olup olmadığının belirlenmesi gibi ayrı ölçümlerle tarif edilebilecek dolanıklık tanımlaması için bir test aracı olarak kullanıldı. Eğer ki bir sistem, eşitsizliği ihlâl ederse, dolanıklık söz konusudur.
Ancak, kimyasal reaksiyonlardaki dolanıklığı tanımlamak, reaktanları/reaktifleri saçan ve onlara temas ile ürünlere dönüşmeye zorlayan ışınların çeşitli açıları belirlemek gibi sürekli ölçümler gerektirir. Girdilerin nasıl hazırlandığı, kimyasal reaksiyonun çıktılarını belirler.
Kais’in ekibi, Bell Eşitsizliği’ni, reaksiyonlardaki sürekli ölçümleri içerecek şekilde yaygınlaştırdı. Önceden, teorem, fotonik sistemlerdeki sürekli ölçümleri genelleştirmek adına kullanılmıştı.
Ekip, genelleştirilmiş Bell Eşitsizliği'ni, Stanford Üniversitesi araştırmacıları tarafından, Nature Chemistry dergisinde yayınlanan, moleküler etkileşimlerin kuantum durumlarını incelemeyi amaçlayan bir deneyden yola çıkarak, döteryum hidrit molekülü açığa çıkaran kimyasal bir reaksiyonun kuantum simulasyonunda test etti. Simülasyonlar Bell Eşitsizliği’ni doğruladığından ve dolanıklığın kimyasal reaksiyonlarda sınıflandırılabileceğini gösterdiğiden, Kais ekibi bir deneyde döteryum hidrit yöntemini daha fazla test etmeyi hedefliyor. Kais, şöyle diyor:
Kimyasal tepkimelerdeki dolanıklıktan yararlanarak hangi çıktıları kontrol edebileceğimizi henüz bilmiyoruz, sadece bu çıktıların farklı olacağını biliyoruz. Bu sistemlerde, dolanıklığın ölçülebilir hâle gelmesi önemli bir ilk adımdır.
Araştırmanın detaylarına inmek istersek eğer, yayınlanan, Entanglement Classifier In Chemical Reactions başlıklı makalesini bir inceleyelim. Türkçe’ye çevirecek olursak; Kimyasal Reaksiyonlarda Dolanıklık Sınıflandırıcısı başlıklı makalenin araştırma özeti şöyle ifade ediyor:
Klasik fizik ve kuantum fiziği arasındaki temel farkı gösteren Einstein, Podolsky ve Rosen (EPR) dolanıklığı, teorik ve deneysel anlamda dikkatleri geniş çapta üzerine çekti. Son zamanlarda, spinler, fotonlar, atomlar ve moleküller gibi parçacıklar arasındaki kuantum dolanıklığını anlama ve yaratma arzusu kuantum ışınlanma, kuantum iletişimi, kuantum kriptografisi ve kuantum hesaplamasının gelişmesiyle körüklendi. Çalışmaların çoğu, dolanıklığın, ünlü Bell Eşitsizliği’ni ve ayrık ölçümler için genellemesini ihlâl ettiğini göstermeye odaklanmış olsa da son bir kaç deneme, sürekli ölçüm sonuçlarına odaklanmaktadır. Burada, sürekli ölçüm sonuçları için dolanıklığı-özellikle kimyasal reaksiyonların saçılmasını-test etmek için genel bir pratik eşitsizlik geliştirdik. Saçılma deneylerinde karışıklığı sınıflandırmak için bu eşitsizliğin nasıl uygulanacağını açıkladıktan sonra, bu eşitsizliğin ihlâlini test etmek için özel bir kimyasal reaksiyon öneriyoruz. Bu yöntem geneldir ve sürekli ölçüm sonuçları için dolanıklığı sınıflandırmak adına kullanılabilir.
Dolanıklık, Shrödinger tarafından 1935 yılında, klasik analogu olmayan kuantum mekanik sistemler arasındaki korelasyonu tanımlayan kuantum mekaniksel bir özelliktir. EPR Paradoksu olarak da bilinen bu fenomen Einstein, Podolsky ve Rosen tarafından, bu tür bir davranışın imkansız olduğu ve kuantum mekaniğinin kabul edilen formülasyonunun bu nedenle eksik olması gerektiğini savundukaları ünlü makalenin konusuydu. Tartışma, Bell Eşitsizliği’nin dolanıklık ile ihlâl edildiği önerisine kadar yaklaşık 30 yıl sürdü. Dolanıklık etkisi, fotonların polarizasyonları ve dolanık parçacıkların dönüşlerinin Bell Eşitsizliği’ni istatiksel olarak ihlâl ettiği, testlerde ölçülerek deneysel olarak doğrulandı. Günümüzde dolanıklık, kuantum iletişimi ve kuantum hesaplaması alanlarındaki bir çok uygulama için son derece önemli bir fiziksel kaynak haline gelmiştir.
İki-partikül dolaşıklığı uzun süredir deneysel olarak gösterilmiştir ve son zamanlarda, üç ve daha fazla uzamsal olarak ayrılan partikül sistemleri arasında dolaşıklık oluşturmak için kayda değer kazanımlar vardır. Örneğin, 10-foton dolanıklık sistemi 2016 yılında deneysel olarak başarıyla üretildi. Ayrıca, kuantum noktalarında dolanıklık, elmasta ve azot-boşluğu merkezi [İng: nitrogen-vacancy center (NV)], hapsolmuş iyonlar ve hatta foton ve kuantum noktaları arasında dolanıklık gözlemleri vardır.
Evrim Ağacı'nın çalışmalarına Kreosus, Patreon veya YouTube üzerinden maddi destekte bulunarak hem Türkiye'de bilim anlatıcılığının gelişmesine katkı sağlayabilirsiniz, hem de site ve uygulamamızı reklamsız olarak deneyimleyebilirsiniz. Reklamsız deneyim, sitemizin/uygulamamızın çeşitli kısımlarda gösterilen Google reklamlarını ve destek çağrılarını görmediğiniz, %100 reklamsız ve çok daha temiz bir site deneyimi sunmaktadır.
KreosusKreosus'ta her 50₺'lik destek, 1 aylık reklamsız deneyime karşılık geliyor. Bu sayede, tek seferlik destekçilerimiz de, aylık destekçilerimiz de toplam destekleriyle doğru orantılı bir süre boyunca reklamsız deneyim elde edebiliyorlar.
Kreosus destekçilerimizin reklamsız deneyimi, destek olmaya başladıkları anda devreye girmektedir ve ek bir işleme gerek yoktur.
PatreonPatreon destekçilerimiz, destek miktarından bağımsız olarak, Evrim Ağacı'na destek oldukları süre boyunca reklamsız deneyime erişmeyi sürdürebiliyorlar.
Patreon destekçilerimizin Patreon ile ilişkili e-posta hesapları, Evrim Ağacı'ndaki üyelik e-postaları ile birebir aynı olmalıdır. Patreon destekçilerimizin reklamsız deneyiminin devreye girmesi 24 saat alabilmektedir.
YouTubeYouTube destekçilerimizin hepsi otomatik olarak reklamsız deneyime şimdilik erişemiyorlar ve şu anda, YouTube üzerinden her destek seviyesine reklamsız deneyim ayrıcalığını sunamamaktayız. YouTube Destek Sistemi üzerinde sunulan farklı seviyelerin açıklamalarını okuyarak, hangi ayrıcalıklara erişebileceğinizi öğrenebilirsiniz.
Eğer seçtiğiniz seviye reklamsız deneyim ayrıcalığı sunuyorsa, destek olduktan sonra YouTube tarafından gösterilecek olan bağlantıdaki formu doldurarak reklamsız deneyime erişebilirsiniz. YouTube destekçilerimizin reklamsız deneyiminin devreye girmesi, formu doldurduktan sonra 24-72 saat alabilmektedir.
Diğer PlatformlarBu 3 platform haricinde destek olan destekçilerimize ne yazık ki reklamsız deneyim ayrıcalığını sunamamaktayız. Destekleriniz sayesinde sistemlerimizi geliştirmeyi sürdürüyoruz ve umuyoruz bu ayrıcalıkları zamanla genişletebileceğiz.
Giriş yapmayı unutmayın!Reklamsız deneyim için, maddi desteğiniz ile ilişkilendirilmiş olan Evrim Ağacı hesabınıza üye girişi yapmanız gerekmektedir. Giriş yapmadığınız takdirde reklamları görmeye devam edeceksinizdir.
Bu deneylerin hepsinde, dolanıklık miktarını ölçmek veya ayarlamak çok önemlidir. Dolanıklık tanıklıkları, entropik eşitsizlikler ve makine öğrenmesine dayanan kuantum durum sınıflandırıcısı gibi bir soruyu ele almak için çeşitli yöntemler önerilmiştir. Ancak bu yöntemlerin çoğu, ayrık ölçüm sonuçları için tasarlanmıştır. Sürekli ölçüm sonuçları için birkaç başarılı teorik analiz olmasına rağmen, çoğunlukla fotonik sistemlere odaklanılmıştır. Dolanıklığın sınıflandırılmasında kullanılan en yaygın yöntem, sistemin yoğunluk matrisinin deneysel ölçümlerden elde edilebileceği kuantum tomografidir. Bununla birlikte, kuantum tomografi, sistem boyutuna göre üssel olarak ölçeklendiğinden daha fazla zaman ve kaynak tüketmektedir.
Burada, sürekli ölçüm sonuçları için dolanıklığı sınıflandırmak adına genel bir pratik yöntem öneriliyor. Karmaşık ölçüm sonuçlarını basitleştirmek ve sürekli ölçümler için genelleştirilmiş bir Bell tipi eşitsizlik geliştimek adına yardımcı fonksiyonlar sunuluyor. Ayrıca, kimyasal reaksiyonların saçılması yöntemini test etmek için deneysel bir tasarım öneriliyor. Hidrojen döterit (HD) ve H2 moleküllerinin son saçılma deneylerine dayanarak uygulanabilir bir deney tasarlandı. Zare ve iş arkadaşlarının yakın zamandaki deneysel verilerine dayanarak, olası ölçüm sonuçlarını simüle ederek ve dolanıklık durumların dolanık olmayanlardan nasıl ayırt edileceği gösteriliyor (Zare-Perreault vd., 2018). Dahası, çalışma, Brumer ve iş arkadaşları tarafından önerilen kimyasal reaksiyonlarda, dolanık-destekli, tutarlı kontrol için diğer kimyasal reaksiyonlarda dolanıklığı sınıflandırma imkânı sunar (Brumer-Zeman vd., 2004; Brumer-Shapiro vd., 2003).
Sürekli Ölçüm Sonuçları İçin Bell Eşitsizliği
N-partiküllerini ∣ϕ⟩{∣ϕ⟩} saf hâlde hazırlayarak başlanıyor. Bu partiküllerle ilgili r-ninci ölçüm yaparsak, partiküller {∣ϕr1⟩,∣ϕr2⟩,⋯,∣ϕrn⟩}\left\{ \mid \phi_{r}^{1}\rangle, \mid \phi_{r}^{2}\rangle,\cdots, \mid \phi_{r}^{n}\rangle \right\} özdurum kümesine daralır. Sonra, ∣ϕ⟩{∣ϕ⟩} şöyle genişletilebilir (Denklem-1):
∣Φundefined=∑i=1nαri∣ϕri⟩\left. \mid \Phi \middle\rangle = \sum\limits_{i = 1}^{n}\alpha_{r}^{i} \mid \phi_{r}^{i} \right\rangle
∣ϕri⟩\left. \mid \phi_{r}^{i} \right\rangle , rr ölçümüne karşılık gelen i-ninci özdurum ayarı olduğunda ve ∣ϕ⟩{∣ϕ⟩} normalize edilirse, ∑in∣αri∣2=1\sum_{i}^{n}{\mid \alpha_{r}^{i} \mid}^{2} = 1 olarak elde edilir. Ölçüm rr gerçekleştirilirken, S (∣ Φ〉 〈Φ∣, r, x) ölçüm sonuçlarını elde ederiz (spektrum ile gösterilir). Burada (∣ Φ〉〈Φ∣) yoğunluk matrisidir; r, ölçüm r'yi temsil eder ve x, değişkeni ifade eder; örneğin, saçılma deneyindeki saçılma açısı olabilir.
Ölçüm sonuçlarının dağılımı (spektrum) şöyle yazılabilir (Denklem-2):
S(∣ΦundefinedundefinedΦ∣,r,x)=∑in∣αri∣2⋅S(∣ϕriundefinedundefinedϕri∣,r,x)S\left( \mid \Phi \middle\rangle \middle\langle \Phi \mid ,r,x \right) = \sum\limits_{i}^{n}{\mid \alpha_{r}^{i} \mid}^{2} \cdot S\left( \mid \phi_{r}^{i} \middle\rangle \middle\langle \phi_{r}^{i} \mid ,r,x \right)
S(∣ϕriundefinedundefinedϕri∣,r,x)S\left( \mid \phi_{r}^{i} \middle\rangle \middle\langle \phi_{r}^{i} \mid ,r,x \right) , r-ninci ölçümdeki ∣ϕri⟩\left. \mid \phi_{r}^{i} \right\rangle durumunun tayfıdır.
Ek Malzemeler'de tartışılacak olan spin sistemi durumunda, Denklem-2'yi sağlayan oldukça yaygın bir örnek olan Stern-Gerlach(SG), spin 12\frac{1}{2}-partikül deneyindeki ölçümdür (Stern-Gerlach, 1922). Parçacıklar saf hâlde hazırlanmışsa, o zaman:
∣Φundefined=αz+∣↑undefined+αz−∣↓⟩\left. \mid \Phi \middle\rangle = \alpha_{z}^{+} \mid \uparrow \middle\rangle + \alpha_{z}^{-} \mid \downarrow \right\rangle
Daha sonra, bu cihazın içinden geçecek kadar partikül sağlayarak, son spektrum şöyle yazılabilir:
S(∣ΦundefinedundefinedΦ∣,r,x)=∣αz+∣2⋅S(∣↑undefinedundefined↑∣,z,x)+∣αz−∣2⋅S(∣↓undefinedundefined↓∣,z,x)S\left( \mid \Phi \middle\rangle \middle\langle \Phi \mid ,r,x \right) = {\mid \alpha_{z}^{+} \mid}^{2} \cdot S\left( \mid \uparrow \middle\rangle \middle\langle \uparrow \mid ,z,x \right) + {\mid \alpha_{z}^{-} \mid}^{2} \cdot S\left( \mid \downarrow \middle\rangle \middle\langle \downarrow \mid ,z,x \right)
Burada, z, SG aygıtındaki manyetik alanın yönünü temsil eder ve S(∣ ↑ 〉〈 ↑ ∣, z, x) ve S(∣ ↓ 〉〈 ↓ ∣, z, x) tespit edilen parçacıkların dağılımını açıklar. Tespit edilen bu parçacıklar farklı yerlerde, x, sırasıyla ∣ ↑〉 ve ∣ ↓〉 durumlarındaki parçacıklar olarak görünür.

Bu parçacıklar, yoğunluk matrisi ile verilen karma bir durum halinde hazırlanırsa (Denklem-3):
ρ1=∑i=1mpi∣ΦiundefinedundefinedΦi∣\left. \rho_{1} = \sum\limits_{i = 1}^{m}p_{i} \mid \Phi_{i} \middle\rangle \middle\langle \Phi_{i} \mid \right.
∑i=1mpi=1\sum_{i = 1}^{m}p_{i} = 1 olduğu yerde r-ninci ölçümünün altındaki spektrum aşağıdakiler tarafından verilir (Denklem-4):
S(ρ1,r,x)=∑i=1mpiS(∣ΦiundefinedundefinedΦi∣,r,x)S(\rho_{1},r,x) = \sum\limits_{i = 1}^{m}p_{i}S\left( \mid \Phi_{i} \middle\rangle \middle\langle \Phi_{i} \mid ,r,x \right)
Aşağıdaki bölümde, Denklem-2 ve Denklem-4 ‘ün her zaman tatmin edici olduğunu varsayacağız ve esas olarak iki-parçacıklı sistemlere odaklanacağız. Genellikle, iki parçacıklı sistemin saf durumunu temsil etmek için ∣Ψ〉 kullanırsak, yoğunluk matrisi şu şekilde yazılabilir (Denklem-5):
ρ=∑i=1mpi∣ΨiundefinedundefinedΨi∣\left. \rho = \sum\limits_{i = 1}^{m}p_{i} \mid \Psi_{i} \middle\rangle \middle\langle \Psi_{i} \mid \right.
ve bununla birlikte (Denklem-6):
∣Ψiundefined=∑j1,j2ci(k1,k2,j1,j2)∣ϕk1j1ϕk2j2⟩\left. \mid \Psi_{i} \middle\rangle = \sum\limits_{j_{1},j_{2}}c_{i}(k_{1},k_{2},j_{1},j_{2}) \mid \phi_{k_{1}}^{j_{1}}\phi_{k_{2}}^{j_{2}} \right\rangle
∑i=1mpi=1\sum_{i = 1}^{m}\operatorname{}p_{i} = 1 ve ∑j1, j2∣ci(k1, k2, j1, j2)∣2 = 1 olduğu yerde, ∣ϕk1j1⟩\left. \mid \phi_{k_{1}}^{j_{1}} \right\rangle , k1-inci ölçümü altındaki tek bir parçacığın j1-inci özdurum ayarıdır ve ∣Ψ ⟩, {∣ϕk1j1ϕk2j2⟩}\{ \mid \phi_{k_{1}}^{j_{1}}\phi_{k_{2}}^{j_{2}}\rangle\} temel kümesinde genişletilir. Bu bölümde, sadelik açısından, tek bir parçacığın, r-ninci ölçümü altında, ∣ϕr+⟩\left. \mid \phi_{r}^{+} \right\rangle ve ∣ϕr−⟩\left. \mid \phi_{r}^{-} \right\rangle olmak üzere iki özdurum kümesine sahip olduğunu göz önünde bulunduruyoruz. Pozitif Kısmi Devrik Kriter (veya Peres-Horodecki Kriteri) (Peres, 1996) bize bu iki-parçacıklı sistemdeki dolanıklığı ölçmek için bir yöntem sunar: ρTB yoğunluk matrisinin kısmi transpozisyonu negatif olmayan herhangi bir özdeğere sahipse, ρ dolanık olur (Peres, 1996; Rudolpf, 2004).
Şimdi, Denklem-6'yı şu şekilde yeniden yazabiliriz (Denklem-7):
∣Ψiundefined=ci(r,t,++)∣ϕr+ϕt+undefined+ci(r,t,+−)∣ϕr+ϕt−⟩+ci(r,t,−+)∣ϕr−ϕt+undefined+ci(r,t,−−)∣ϕr−ϕt−⟩\begin{array}{cl} \left. \mid \Psi_{i} \middle\rangle = \right. & \left. c_{i}(r,t, + + ) \mid \phi_{r}^{+}\phi_{t}^{+} \middle\rangle + c_{i}(r,t, + - ) \mid \phi_{r}^{+}\phi_{t}^{-} \right\rangle \\ & \left. + c_{i}(r,t, - + ) \mid \phi_{r}^{-}\phi_{t}^{+} \middle\rangle + c_{i}(r,t, - - ) \mid \phi_{r}^{-}\phi_{t}^{-} \right\rangle \\ \end{array}
Bu parçacıkların iki kanala bölündüğünü, sırasıyla I ve II. kanallar için r-ninci ve t-ninci ölçümlerinin yapıldığını varsayalım; böylece, Denklem-2’ye göre spektrum aşağıdaki gibi elde edilebilir (Denklem-8):
S(ρ,r,t,x1,x2)=∑i=1mpi∣ci(r,t,++)∣2⋅S(∣ϕr+ϕr+∣,r,x1)S(∣ϕt+ϕt+∣,t,x2)+∑i=1mpi∣ci(r,t,+−)∣2⋅S(∣ϕr+ϕr+∣,r,x1)S(∣ϕt−ϕt−∣,t,x2)+∑i=1mpi∣ci(r,t,−+)∣2⋅S(∣ϕr−ϕr−∣,r,x1)S(∣ϕt+ϕt+∣,t,x2)+∑i=1mpi∣ci(r,t,−−)∣2⋅S(∣ϕr−ϕr−∣,r,x1)S(∣ϕt−ϕt−∣,t,x2)\begin{array}{ll} {{S{({\rho,r,t,x_{1},x_{2}})}} =} & {{\sum\limits_{i = 1}^{m}{p_{i}{{\mid {c_{i}{({r,t,{+ +}})}}} \mid}^{2}}} \cdot {{S\left( {\mid \phi_{r}^{+}} \right.}\left. {{\phi_{r}^{+} \mid},r,x_{1}} \right){S\left( {\mid \phi_{t}^{+}} \right.}\left. {{\phi_{t}^{+} \mid},t,x_{2}} \right)}} \\ & {{+ {\sum\limits_{i = 1}^{m}{p_{i}{{\mid {c_{i}{({r,t,{+ -}})}}} \mid}^{2}}}} \cdot {{S\left( {\mid \phi_{r}^{+}} \right.}\left. {{\phi_{r}^{+} \mid},r,x_{1}} \right){S\left( {\mid \phi_{t}^{-}} \right.}\left. {{\phi_{t}^{-} \mid},t,x_{2}} \right)}} \\ & {{+ {\sum\limits_{i = 1}^{m}{p_{i}{{\mid {c_{i}{({r,t,{- +}})}}} \mid}^{2}}}} \cdot {{S\left( {\mid \phi_{r}^{-}} \right.}\left. {{\phi_{r}^{-} \mid},r,x_{1}} \right){S\left( {\mid \phi_{t}^{+}} \right.}\left. {{\phi_{t}^{+} \mid},t,x_{2}} \right)}} \\ & {{+ {\sum\limits_{i = 1}^{m}{p_{i}{{\mid {c_{i}{({r,t,{- -}})}}} \mid}^{2}}}} \cdot {{S\left( {\mid \phi_{r}^{-}} \right.}\left. {{\phi_{r}^{-} \mid},r,x_{1}} \right){S\left( {\mid \phi_{t}^{-}} \right.}\left. {{\phi_{t}^{-} \mid},t,x_{2}} \right)}} \\ \end{array}
Standart Bell Eşitsizliği’nde, deneysel olarak ölçülen korelasyon şöyle tanımlanır (Denklem-9):
E(r,t)=N(+,+)+N(−,−)−N(+,−)−N(−,+)N(+,+)+N(−,−)+N(+,−)+N(−,+)E(r,t) = \frac{N( + , + ) + N( - , - ) - N( + , - ) - N( - , + )}{N( + , + ) + N( - , - ) + N( + , - ) + N( - , + )}
Burada N( + , + ), I ve II kanallarındaki r ölçümü ve t ölçümlerinde, “+” veren ölçüm sayısını gösterir.
Bu ölçüm sonuçları, iyi bilinen Clauser-Horne-Shimony-Holt (CHSH) Eşitsizliği’ni oluşturmak için kullanılır (Clauser-Horne vd., 1969). (Denklem-10):
∣E(r,t)+E(r,s)+E(q,s)−E(q,t)∣≤2\mid E(r,t) + E(r,s) + E(q,s) - E(q,t) \mid \leq 2
Sürekli ölçüm sonuçları için, korelasyon fonksiyonu E (r, t) hesaplamayı basitleştirmek için V (r, t, x1, x2) yardımcı fonksiyonunu oluştururuz. Yardımcı fonksiyonun işlevsel formu Ek Malzemeler'de bulunabilir. Genelleştirilmiş, standart Bell’in sürekli değişkenler için eşitsizliği şu şekildedir (Denklem-11):
E=∣∫S(ρ,r,t,x1,x2)V(r,t,x1,x2)dx1dx2+∫S(ρ,q,t,x1,x2)V(q,t,x1,x2)dx1dx2+∫S(ρ,r,s,x1,x2)V(r,s,x1,x2)dx1dx2−∫S(ρ,q,s,x1,x2)V(q,s,x1,x2)dx1dx2∣≤2\begin{array}{ll} {E =} & {\mid {\int{{S{({\rho,r,t,x_{1},x_{2}})}}{V{({r,t,x_{1},x_{2}})}}\mathit{dx}_{1}{\mathit{dx}_{2} +}}}} \\ & {\int{{S{({\rho,q,t,x_{1},x_{2}})}}{V{({q,t,x_{1},x_{2}})}}\mathit{dx}_{1}{\mathit{dx}_{2} +}}} \\ & {\int{{S{({\rho,r,s,x_{1},x_{2}})}}{V{({r,s,x_{1},x_{2}})}}\mathit{dx}_{1}{\mathit{dx}_{2} -}}} \\ & {{\int{{S{({\rho,q,s,x_{1},x_{2}})}}{V{({q,s,x_{1},x_{2}})}}\mathit{dx}_{1}{\mathit{dx}_{2} \mid}}} \leq 2} \\ \end{array}
Bu eşitsizlik (Denklem-11) ihlal edilirse, sistem dolanık demektir.
Deneyin Tasarımı
Son zamanlarda, Zare ve iş arkadaşları çok düşük sıcaklıkta HD ve H2, D2 molekülleri arasında rotasyonel olarak esnek olmayan çarpışmalar olduğunu bildirdiler (Zare-Perrealt vd., 2018). Saçılma deneylerinde, ∣H〉 (moleküllerin yönü yayılma yönlerine paraleldir) ve ∣V〉(moleküllerin yönü onların yayılma yönüne diktir) durumlarının çok farklı saçılma sonuçlarına yol açtığını belirterek, bize, saçılma sonuçlarına dayanarak moleküller arasındaki dolanıklığı sınıflandırmak için olası bir düzenek sunuyor. Bu bölümde, sürekli ölçüm sonuçları ile dolanıklığı sınıflandırmak için deneysel bir ortam öneriliyor.
Aşağıdaki simülasyonlarda, dört farklı özdurum temeline ilişkin dört ölçümü göz önünde bulunduruyoruz:
- Bunlardan ilki, Z ölçümü olarak not ettiğimiz ∣H〉ve ∣V〉özdurumlarına karşılık gelen saçılma ölçümleridir.
- İkincisi, X ölçümünü not ettiğimiz ∣+undefined=12(∣H⟩+∣V⟩)\left. \mid + \middle\rangle = \frac{1}{2}( \mid H\rangle + \mid V\rangle) \right. ve ∣−undefined=12(∣H⟩−∣V⟩)\left. \mid - \middle\rangle = \frac{1}{2}( \mid H\rangle - \mid V\rangle) \right. özdurumlarına karşılık gelir.
- Diğer iki ölçüm ise Z+X2\frac{Z + X}{\sqrt{2}} ve Z−X2\frac{Z - X}{\sqrt{2}} olarak baz alınmıştır.
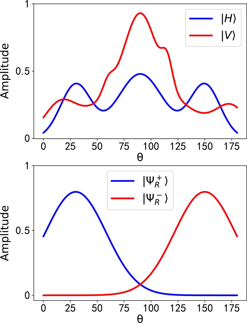
Z bazındaki ölçüm sonuçları, saçılma açılarının bir fonksiyonu olarak, Zare ve arkadaşlarının sürekli olan deneysel sonuçlarından alınabilir (Zare-Mukherjee vd., 2018). X bazında ve Z−X2\frac{Z - X}{\sqrt{2}} 'deki ölçümlerin, projeksiyon ölçümleri olduğunu varsayıyoruz; böylece Γ-sonuçları ayrıktır ki bu da deney düzeneğinde çok yaygındır. Elde edilen eşitsizliği (Denklem-11) kontrol etmek için, sonuçları Gauss dağılımını karşılayan Z+X2\frac{Z + X}{\sqrt{2}} ölçümü adına, başka bir saçılma deneyi olduğunu varsayıyoruz. Şekil-1'deki Z(üst kısım) ve Z+X2\frac{Z + X}{\sqrt{2}} (alt kısım) ölçümünün ideal sonuçları (saçılma açısı θ) gösteriliyor.

Z (üstte) ve Z+X2\frac{Z + X}{\sqrt{2}} (altta) ölçümü için ideal sonuçlar. Z (üstte) ölçüm sonuçları (Şekil-4, A ve B)'den hesaplanır (Zare-Perreault vd., 2018). Mavi çizgi fH(θ), ∣H〉durumundaki parçacıkların saçılma açısı dağılımını temsil eder ve kırmızı çizgi fV(θ), ∣V〉durumundaki parçacıkların saçılma açısı dağılımını temsil eder. Z+X2\frac{Z + X}{\sqrt{2}} ölçümü için, iki özdurum değeri ∣ΨR+⟩\left. \mid \Psi_{R}^{+} \right\rangle ve ∣ΨR−⟩\left. \mid \Psi_{R}^{-} \right\rangle 'dır. Saçılma açısı dağılımının ∣ΨR+⟩\left. \mid \Psi_{R}^{+} \right\rangle ve ∣ΨR−⟩\left. \mid \Psi_{R}^{-} \right\rangle , f±(θ) olarak Gauss dağılımını sağladığını varsayıyoruz. f+(θ) ∝ exp [ − (θ − 30)2/402] (alttaki şekilde yer alan mavi çizgi); f−(θ) ∝ exp [− (θ − 150)2/402] (alttaki şekilde yer alan kırmızı çizgi).
Simülasyonlar için, oryantasyonu yayılma yönüne paralel olan ∣H〉 durumunda, ∣v = 1, j = 2, m = 0〉yönelimli HD molekülleri hazırlanarak başlanıyor (Şekil-2A'daki y ekseni) ve yönü dikey olan, ∣V〉 durumu (Şekil-2'deki z ekseni) oluyor. Grup I'deki bir molekül ve grup II'deki başka bir molekül birleştirilir ve daha sonra, Şekil-2B'de gösterildiği gibi farklı durumlarda (Werner durumu, süperpozisyon durumu veya karışık halde) hazırlanır. Her çift için, HD molekülleri iki kanala ayrılmıştır. Kanal I'de H2 kümeleriyle birlikte dağılırlar. HD'nin H2 ile çarpışması durumunda, turuncu sensörler saçılma parçacıklarını ölçer ve saçılma sonuçları Z ölçümü ile gerçekleştirilir. Eğer HD, H2 molekülleri ile çarpışmazsa, gri sensör bir X ölçümü gerçekleştirir (Şekil-2C). II kanalındaki saçılma işlemi Z+X2\frac{Z + X}{\sqrt{2}} ölçümünden geçecek ve saçılmayan HD, Z−X2\frac{Z - X}{\sqrt{2}} ile ölçülecektir.

(A): HD molekülleri, Stark Kaynaklı Adyabatik Raman Geçişi (SARP) kullanılarak ∣v = 1, j = 2, m = 0〉durumunda hazırlanır (Zare-Mukherjee vd., 2018). Daha sonra, onları iki moleküler kirişe ayırabiliriz (iki grup). Pumps ve Stokes elektrik alanını y ekseni boyunca uygularsak, o zaman grup I'de HD ∣H〉 durumuna getirilir (HD'nin yönü, yayılma yönüne paralel olarak y ekseni boyuncadır). II grubundaki HD molekülü, ∣V〉 durumundadır (HD'nin yönü, norm yayılma yönüne göre z ekseni boyuncadır). Grup I'den bir grup ve grup II'den bir başkası bir araya getirilir ve daha sonra HD başlangıç çiftleri farklı başlangıç durumlarında hazırlanır (eğer bir şey yapmazsak, bu çiftler ∣H〉 ⊗ ∣ V〉karışık hâlde kalır).
(B): Spesifik hazırlanmış durum, iki kanaldan geçecek, kanal I'deki molekül H2 kümeleriyle dağılacak, H2'nin bağ ekseni izotropik olarak dağıtılmış olacak.
(C): Sensörler (turuncu) saçılmış parçacıkları tespit etmek ve her açı için sayıları saymak için kullanılır (Z ölçümü). Saçılmayan moleküller, ∣ + 〉 ve ∣ − 〉(X ölçümü) üzerinde, özdurumlarda ölçülecekleri başka bir sensöre (gri) gider.
(D): II. kanalda, başka bir deney yapılıyor; böylece izotropik olarak dağılmış H2 kümeleriyle dağınık hazırlanan HD molekülleri Z+X2\frac{Z + X}{\sqrt{2}} altında ölçülürken, diğerleri Z−X2\frac{Z - X}{\sqrt{2}} altında ölçülüyor.
Simülasyon Sonuçları
Simülasyonları gerçekleştirmek için, mevcut durumların iki odaklı moleküler ışınlardan ∣H〉 ∣ H〉; ∣V〉 ∣ V〉ve ∣ + 〉 ∣ + 〉, ∣ − 〉 ∣ − 〉 kombinasyonlarına hazırlanabileceğini varsayacağız; en sonunda ise Werner durumuna ulaşacağız (Denklem-12):
ρw(p)=p2(∣HV⟩+∣VH⟩)(⟨HV∣+⟨VH∣)+1−p4I\rho_{w}(p) = \frac{p}{2}(\operatorname{} \mid \mathit{HV}\rangle + \mid \mathit{VH}\rangle\operatorname{})(\operatorname{}\langle\mathit{HV} \mid + \langle\mathit{VH} \mid \operatorname{}) + \frac{1 - p}{4}I
Serbest parametre p, Werner durumunun dolanıklığını açıklar. p = 0, ayrılabilirliği; p ≤ 1/3 için dolanıklık ve p = 1'deki maksimum dolanıklık durumlarını gösterir (Werner, 1989).
Yukarıda belirtildiği gibi yeterli miktarda HD molekül çifti hazırlanırsa, farklı başlangıç durumları için öngörülen spektrum Şekil-3’te gösterilmektedir. Simülasyon, alınan HD ve H2 kümeleri arasındaki saçılma deneyine dayanmaktadır (saçılma spektrumu; Şekil-4, A ve B) (Zare-Perreault vd., 2018).

Şekil, kanal I ve kanal II'deki farklı ölçümlerin bir fonksiyonu olarak simülasyon sayım sonuçlarının histogramlarını (şekilde z ekseni) göstermektedir.
Satır-1: Ayrılabilir durum olan ∣HH〉 için spektrum, her iki HD molekülünde ∣H〉 durumundadır.
Satır-2: Ayrılabilir durum ∣VV〉 için spektrum.
Satır-3: Süperpozisyon durumu için spektrum ∣ + +〉, ki burada ∣−undefined=12(∣H⟩+∣D⟩)\left. \mid - \middle\rangle = \frac{1}{\sqrt{2}}( \mid H\rangle + \mid D\rangle) \right. .
Satır-4: Süperpozisyon durumu için spektrum ∣ - -〉burada ∣−undefined=12(∣H⟩−∣D⟩)\left. \mid - \middle\rangle = \frac{1}{\sqrt{2}}( \mid H\rangle - \mid D\rangle) \right. .
Satır-5,6 ve 7: Werner durumu ρw (p) için spektrum. ρ = 1 olduğunda, hazırlanan çiftler Bell durumundadır; yani 12(∣HD⟩+∣DH⟩)\frac{1}{\sqrt{2}}( \mid \mathit{HD}\rangle + \mid \mathit{DH}\rangle) .

İntegrali hesaplamak için saçılma açısı 18 yuvaya ayrılmış (slot başına 10 °). Simülasyonda 1 × 106 parçacık incelendi ve dağılma olasılığı 0.4 olarak belirlendi.
Farklı ölçümler için ρw yoğunluk matrisini hesaplayabiliriz. Örneğin, I ve II kanallarındaki her iki parçacık da dağınıksa, o zaman ∣H〉 ve ∣V〉 bazlarındaki ölçümler şunları verir (Denklem-13):
ρw=∣HH ∣HV ∣VH ∣VV∣HH ∣HV ∣VH ∣VV (1−p400001+p4p200p21+p400001−p4)\rho_{w} = \begin{array}{ll} & \left. {\mid \mathit{HH}}{~ \mid \mathit{HV}}{~ \mid \mathit{VH}}{~ \mid \mathit{VV}} \right. \\ \begin{array}{l} \left. {{\mid \mathit{HH}}~} \right. \\ \left. {{\mid \mathit{HV}}~} \right. \\ \left. {{\mid \mathit{VH}}~} \right. \\ \left. {{\mid \mathit{VV}}~} \right. \\ \end{array} & \left( \begin{array}{llll} \frac{1 - p}{4} & 0 & 0 & 0 \\ 0 & \frac{1 + p}{4} & \frac{p}{2} & 0 \\ 0 & \frac{p}{2} & \frac{1 + p}{4} & 0 \\ 0 & 0 & 0 & \frac{1 - p}{4} \\ \end{array} \right) \\ \end{array}
Temel kümeyi değiştirirsek, ∣ +〉 ve ∣ -〉 tabanlarındaki yoğunluk matrisi aşağıdakileri verir (Denklem-14):
ρw=∣++ ∣+− ∣−+ ∣−−∣++∣+−∣−+∣−−(1+p400−p201−p400001−p40−p2001+p4)\rho_{w} = \begin{array}{ll} & \left. {\mid + +}{~ \mid + -}{~ \mid {- +}}{~ \mid {- -}} \right. \\ \begin{array}{l} \left. {\mid + +} \right. \\ \left. {\mid + -} \right. \\ \left. {\mid {- +}} \right. \\ \left. {\mid {- -}} \right. \\ \end{array} & \left( \begin{array}{llll} \frac{1 + p}{4} & 0 & 0 & {- \frac{p}{2}} \\ 0 & \frac{1 - p}{4} & 0 & 0 \\ 0 & 0 & \frac{1 - p}{4} & 0 \\ {- \frac{p}{2}} & 0 & 0 & \frac{1 + p}{4} \\ \end{array} \right) \\ \end{array}
Farklı ölçümler için aynı genişletmeyi yapabiliriz. Denklem-8 ‘e dayanarak, Şekil-3 ‘te gösterildiği gibi farklı başlangıç durumlarının sonuçlarını tahmin edebiliriz:
- İlk sütun, her iki kanaldaki moleküller saçıldığındaki simülasyon sonuçlarını temsil eder.
- İkinci sütun, kanal I'den geçen HD dağılırken, kanal II için dağılmadığında simülasyon sonuçlarını temsil eder.
- Üçüncü sütun, II kanalından geçen HD dağıldığı, ancak kanal I için yayılmadığı zaman simülasyon sonuçlarını temsil eder.
- Son sütun, parçacıklar dağılmadığında oluşan sonuçları temsil eder.
∣HH〉 hâli birinci sütundaki (Kanal I, dağınık; Kanal II, dağınık) özel tayfı olarak kolayca sınıflandırılabilir ve ∣ + + 〉durumları ikinci (Kanal I, dağınık; Kanal II, dağınık değil) ve üçüncü sütunlarda (Kanal I, dağınık değil; Kanal II, dağınık) diğerlerinde anlamlı fark gösterir. Werner durumu için, ikinci ve üçüncü sütunlarda aynı spektrumu paylaşıyorlar, ancak son sütundaki spektrumları (Kanal I, dağınık değil; Kanal II, dağınık değil) bize bazı özellikler sunuyor: ve sayıları ρ arttıkça azalacaktır. Ayrıca, bir alt tepe noktasının bulunduğu ilk sütundaki fark (yaklaşık θ1 = 30, θ2 = 90), ρ arttığında artar. Bu özelliklere dayanarak, onları birbirinden ayırmak mümkündür. Bununla birlikte, eğer ilk durum karmaşık bir karma durum ise, o zaman ilk durumu türetmemiz mümkün değildir; çünkü sadece ve ∑i=1mpi=1\sum_{i = 1}^{m}\operatorname{}p_{i} = 1 ve ∑j1,2 = ±∣ci(r, t, j1, j2)∣2 = 1 kısıtlı olarak ∑i=1mpi∣ci(r,t,±±)∣2\sum_{i = 1}^{m}\operatorname{}p_{i}{\mid c_{i}(r,t, \pm \pm ) \mid}^{2} sonsuz olası sonuç vardır. Bununla beraber, ρi'nin daha fazla bilgisiyle kuantum hâlini çözme şansı vardır. Örneğin, çiftlerin Werner durumunda olduğunu bilmiş olsaydık, simülasyon çalışmasında gösterildiği gibi kuantum durumunu elde edebilirdik.
Malzemeler ve Yöntemler
Burada, simülasyon sonuçlarının nasıl alınacağını gösteriliyor. Örnek olarak, Şekil-3 ‘teki ilk satırı alacağız (durum ∣HH〉: kanal I, dağınık; kanal II, dağınık). Kanal I'den geçen HD molekülünü düşünün. Eğer molekül HD bir olasılık Pdağılım ile dağılmışsa, o zaman RNG'nin tekdüze dağılımlı rastgele sayılar ürettiğini varsaydığımız rastgele sayı üreteci (RNG), a1, 0 ≤ a1 ≤ 1 sayısını üretir. Belirli bir duruma sahip olan HD molekülü, H2 kümeleri ile çarpışacaktır; aksi takdirde, Şekil 2'de gösterildiği gibi gri sensör tarafından ölçülecektir. Eğer a1 ≤ Pdağılım ise, o zaman belirli bir duruma sahip olan bu HD molekülü H2 kümeleri ile çarpışacaktır; aksi takdirde, Şekil-2’de gösterildiği gibi gri sensör tarafından ölçülecektir. Saçılmış HD molekülleri için, saçılma spektrumu (ölçüm dağılımı), θ saçılma açılarını temsil eden Şekil 1'de gösterildiği gibi fH'dir (θ) ve sonuçları Zare ve iş arkadaşlarının deneysel ölçümlerine yerleştirerek fH (θ) alabiliriz (Zare-Mukherjee vd., 2018). ∣H〉durumunda HD molekülü saçılırsa, o zaman saçılma açısını oluşturmak için şu işlem uygulanır: RNG tarafından 0 ≤ θ ≤ 180 arasında rastgele bir açı ve 0 ≤ a2 ≤ 1 arasında rastgele bir a2 sayı üretilir. Eğer a2 ≤ fH (θ) ise, saçılma açısı olarak kabul ederiz; aksi takdirde, bu işlem tekrarlanır. Saçılmayan moleküller için, ∣Hundefined=12(∣+⟩+∣−⟩)\left. \mid H \middle\rangle = \frac{1}{\sqrt{2}}( \mid + \rangle + \mid - \rangle) \right. olduğu gibi, ölçüm sonucunun yarı yarıya S+ olması ve S- gibi başka bir yarıya sahip olması gerekir. Bu dağınık moleküllerin ölçüm sonuçlarını simüle etmek için bir rastgele sayı kullanabiliriz.
Tartışma ve Sonuç
Werner durumunun ölçüm ayarında, \frac{1}{\sqrt{2}}">p>12p > \frac{1}{\sqrt{2}} olduğunda Denklem-11 ihlâl edilir. Bu arada Werner durumunun, \frac{1}{3}">p>13p > \frac{1}{3} olduğunda, dolanıklık hâlinde olacağını biliyoruz. Bu nedenle, Denklem – 11’in ihlâli dolanıklık varlığını garanti eder; ancak eşitsizliğin ihlâli, dolanıklık olasılığını dışlamaz.
Şekil-4'te gösterildiği gibi, simülasyon sonucu (kırmızı), E teori sonucuna (siyah) çok yakındır. Fark, çoğunlukla istatistiksel hatadan kaynaklanmaktadır (lütfen simülasyondaki yöntem için Ek Malzemelere bakınız). 1 × 106 parçacık incelendi ve saçılma açısını eşit şekilde 18 yuvaya ayrıldı. Ayrıca, saçılma açısını çok fazla veya çok az sayıda yuvaya (≤10 veya ≥50) bölersek, simülasyon sonucunun E teori tahmininden çok daha ileride olacağını belirtmek gerekir.
Özet olarak, standart Bell Eşitsizliği’i ayrık ölçümden sürekli ölçüm sonuçlarına kadar genelleştirildi. Bell Eşitsizliği’ni ihlâl etmenin potansiyel bir uygulaması olarak bir deney ortamı tasarlandı. Önerilen deneyin geçerliliğini göstermek için teorik simülasyonlar yapıldı. Yöntem geneldir ve yeni moleküler saçılma deneylerinde dolanıklığı tasarlamak ve sınıflandırmak için kullanılabilir.
Ek Malzemeler ve daha fazlası için buraya göz atabilirsiniz.
Evrim Ağacı'nda tek bir hedefimiz var: Bilimsel gerçekleri en doğru, tarafsız ve kolay anlaşılır şekilde Türkiye'ye ulaştırmak. Ancak tahmin edebileceğiniz gibi Türkiye'de bilim anlatmak hiç kolay bir iş değil; hele ki bir yandan ekonomik bir hayatta kalma mücadelesi verirken...
O nedenle sizin desteklerinize ihtiyacımız var. Eğer yazılarımızı okuyanların %1'i bize bütçesinin elverdiği kadar destek olmayı seçseydi, bir daha tek bir reklam göstermeden Evrim Ağacı'nın bütün bilim iletişimi faaliyetlerini sürdürebilirdik. Bir düşünün: sadece %1'i...
O %1'i inşa etmemize yardım eder misiniz? Evrim Ağacı Premium üyesi olarak, ekibimizin size ve Türkiye'ye bilimi daha etkili ve profesyonel bir şekilde ulaştırmamızı mümkün kılmış olacaksınız. Ayrıca size olan minnetimizin bir ifadesi olarak, çok sayıda ayrıcalığa erişim sağlayacaksınız.
Makalelerimizin bilimsel gerçekleri doğru bir şekilde yansıtması için en üst düzey çabayı gösteriyoruz. Gözünüze doğru gelmeyen bir şey varsa, mümkünse güvenilir kaynaklarınızla birlikte bize ulaşın!
Bu makalemizle ilgili merak ettiğin bir şey mi var? Buraya tıklayarak sorabilirsin.
Soru & Cevap Platformuna Git- 2
- 2
- 1
- 1
- 0
- 0
- 0
- 0
- 0
- 0
- 0
- 0
- Türev İçerik Kaynağı: Science Advances | Arşiv Bağlantısı
- M. Horodecki, et al. (2001). Separability Of N-Particle Mixed States: Necessary And Sufficient Conditions In Terms Of Linear Maps. Physics Letters A. | Arşiv Bağlantısı
- P. Neumann, et al. (2008). Multipartite Entanglement Among Single Spins In Diamond. Science. | Arşiv Bağlantısı
- R. N. Zare, et al. (2018). Cold Quantum-Controlled Rotationally Inelastic Scattering Of Hd With H2 And D2 Reveals Collisional Partner Reorientation. Nature. | Arşiv Bağlantısı
- J. S. Bell. (1964). On The Einstein Podolsky Rosen Paradox. Physics. | Arşiv Bağlantısı
- S. Kais, et al. (2019). Entanglement Classifier In Chemical Reactions. Science Advances. | Arşiv Bağlantısı
Evrim Ağacı'na her ay sadece 1 kahve ısmarlayarak destek olmak ister misiniz?
Şu iki siteden birini kullanarak şimdi destek olabilirsiniz:
kreosus.com/evrimagaci | patreon.com/evrimagaci
Çıktı Bilgisi: Bu sayfa, Evrim Ağacı yazdırma aracı kullanılarak 09/10/2025 15:31:05 tarihinde oluşturulmuştur. Evrim Ağacı'ndaki içeriklerin tamamı, birden fazla editör tarafından, durmaksızın elden geçirilmekte, güncellenmekte ve geliştirilmektedir. Dolayısıyla bu çıktının alındığı tarihten sonra yapılan güncellemeleri görmek ve bu içeriğin en güncel halini okumak için lütfen şu adrese gidiniz: https://evrimagaci.org/s/545
İçerik Kullanım İzinleri: Evrim Ağacı'ndaki yazılı içerikler orijinallerine hiçbir şekilde dokunulmadığı müddetçe izin alınmaksızın paylaşılabilir, kopyalanabilir, yapıştırılabilir, çoğaltılabilir, basılabilir, dağıtılabilir, yayılabilir, alıntılanabilir. Ancak bu içeriklerin hiçbiri izin alınmaksızın değiştirilemez ve değiştirilmiş halleri Evrim Ağacı'na aitmiş gibi sunulamaz. Benzer şekilde, içeriklerin hiçbiri, söz konusu içeriğin açıkça belirtilmiş yazarlarından ve Evrim Ağacı'ndan başkasına aitmiş gibi sunulamaz. Bu sayfa izin alınmaksızın düzenlenemez, Evrim Ağacı logosu, yazar/editör bilgileri ve içeriğin diğer kısımları izin alınmaksızın değiştirilemez veya kaldırılamaz.