Bir Noktadan Doğruya Çekilen En Kısa Çizgi, Doğruyu Neden Dik Keser?

- Özgün
- Kalkülüs
Bu Makalede Neler Öğreneceksiniz?
- Explain the well-known fact from middle school geometry stating the shortest line from a point to a line is perpendicular to the line.
- Introduce the derivative as a formal mathematical tool to provide alternative proofs and insights about the shortest distance problem.
- Define key terms and variables necessary for applying calculus methods to solve the geometric problem of distance minimization.
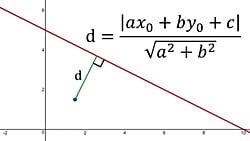
Çoğu kişinin ortaokuldan beri duyup kullandığı bir bilgi olan "Noktanın doğruya uzaklığı (aralarındaki en kısa çizgi) doğruyu dik keser." bilgisi hem çok temel olmasıyla hem de doğruluğunun kolayca görülebilir olmasıyla üzerinde pek durulmamış bir bilgidir. Noktadan çekilen çizginin uzunluğunun, doğru üzerinde diklik oluşturan noktadan uzaklaşıldıkça arttığını herkes görebilir. Ana görselde bu durumu siz de görebilirsiniz.
Yine de hem daha formal hem de türev gibi aslında düşününce alakasız bir aracın uygulandığı alternatif bir yol arayışı, bize bu tür araçların kapsamının ne kadar geniş olduğunu gösterecek ve konu hakkında halihazırda bulunan ispatlara yenisini ekleyecektir.
Neden Türev?
Türev, "en az" ve "en çok" soruları için ideal bir araçtır. Grafik üzerindeki geometrik yorumundan kaynaklı olarak değişkene bağlı bir ifadenin hangi değişken değerinde minimum ya da maksimum değerine ulaşacağını bulmamızı sağlar.[2]
Tanımlar
Sorumuzu çözebilmek için, bazı tanımlar yapmamız gerekmektedir:
- Çizginin başlangıç noktası (x1x_1 ve y1y_1 sabit birer sayı olmak üzere): P(x1,y1)P(x_1,y_1)
- Çizginin çekileceği doğru denklemi (xx bir değişken, mm ve cc birer sabit birer sayı olmak üzere): y=mx+cy=mx+c
- PP noktasından doğruya çizilen çizginin uzunluğu: LL
Değişkenler Cinsinden Çizginin Uzunluğu
P noktasından y doğrusuna çekilen çizginin uzunluğu Pisagor Teoremi ile kolaylıkla bulunabilir:
- Yatay uzaklık: ∣x−x1∣|x-x_1|
- Dikey uzaklık: ∣y−y1∣|y-y_1|
- Uzunluk (Hipotenüs): L=(x−x1)2+(y−y1)2L=\sqrt{(x-x_1)^2+(y-y_1)^2}
Ufak bir not düşelim: Kare alma işlemi zaten pozitif sonuç vereceği için mutlak değer sembolleri yazılmamıştır.
Minimum Uzunluk Değeri
Bulduğumuz uzunluk ifadesi değişken xx ve ona bağlı olan yy'ye bağlı olduğu için xx'in bir fonksiyonudur. Bu da minimum değerini bulmak için fonksiyonun xx'e göre türevini alıp 0'a eşitleyebileceğimiz anlamına gelir:
L′(x)=0L'(x)=0
1L[(x−x1)+(y−y1)y′]=0\frac{1}{L}[(x-x_1)+(y-y_1)y']=0
İfadenin iki çarpanından biri olan 1/L1/L, 0 olamayacağına göre, parantezin içi 0 olmalıdır:
(x−x1)+(y−y1)y′=0(x-x_1)+(y-y_1)y'=0
Evrim Ağacı'nın çalışmalarına Kreosus, Patreon veya YouTube üzerinden maddi destekte bulunarak hem Türkiye'de bilim anlatıcılığının gelişmesine katkı sağlayabilirsiniz, hem de site ve uygulamamızı reklamsız olarak deneyimleyebilirsiniz. Reklamsız deneyim, sitemizin/uygulamamızın çeşitli kısımlarda gösterilen Google reklamlarını ve destek çağrılarını görmediğiniz, %100 reklamsız ve çok daha temiz bir site deneyimi sunmaktadır.
KreosusKreosus'ta her 50₺'lik destek, 1 aylık reklamsız deneyime karşılık geliyor. Bu sayede, tek seferlik destekçilerimiz de, aylık destekçilerimiz de toplam destekleriyle doğru orantılı bir süre boyunca reklamsız deneyim elde edebiliyorlar.
Kreosus destekçilerimizin reklamsız deneyimi, destek olmaya başladıkları anda devreye girmektedir ve ek bir işleme gerek yoktur.
PatreonPatreon destekçilerimiz, destek miktarından bağımsız olarak, Evrim Ağacı'na destek oldukları süre boyunca reklamsız deneyime erişmeyi sürdürebiliyorlar.
Patreon destekçilerimizin Patreon ile ilişkili e-posta hesapları, Evrim Ağacı'ndaki üyelik e-postaları ile birebir aynı olmalıdır. Patreon destekçilerimizin reklamsız deneyiminin devreye girmesi 24 saat alabilmektedir.
YouTubeYouTube destekçilerimizin hepsi otomatik olarak reklamsız deneyime şimdilik erişemiyorlar ve şu anda, YouTube üzerinden her destek seviyesine reklamsız deneyim ayrıcalığını sunamamaktayız. YouTube Destek Sistemi üzerinde sunulan farklı seviyelerin açıklamalarını okuyarak, hangi ayrıcalıklara erişebileceğinizi öğrenebilirsiniz.
Eğer seçtiğiniz seviye reklamsız deneyim ayrıcalığı sunuyorsa, destek olduktan sonra YouTube tarafından gösterilecek olan bağlantıdaki formu doldurarak reklamsız deneyime erişebilirsiniz. YouTube destekçilerimizin reklamsız deneyiminin devreye girmesi, formu doldurduktan sonra 24-72 saat alabilmektedir.
Diğer PlatformlarBu 3 platform haricinde destek olan destekçilerimize ne yazık ki reklamsız deneyim ayrıcalığını sunamamaktayız. Destekleriniz sayesinde sistemlerimizi geliştirmeyi sürdürüyoruz ve umuyoruz bu ayrıcalıkları zamanla genişletebileceğiz.
Giriş yapmayı unutmayın!Reklamsız deneyim için, maddi desteğiniz ile ilişkilendirilmiş olan Evrim Ağacı hesabınıza üye girişi yapmanız gerekmektedir. Giriş yapmadığınız takdirde reklamları görmeye devam edeceksinizdir.
yy'nin türevi tanımladığımız doğrunun eğimi yani mm'dir, denklemin iki tarafını da (x−x1)(x-x_1) ifadesine bölüp, 1 çıkardığımızda gelen sonuç:
m(y−y1)(x−x1)=−1m\frac{(y-y_1)}{(x-x_1)}=-1
Burada denklemin sol tarafındaki kesirli ifade, bir doğru eğiminin temel tanımını belirtmektedir. Bu doğru ise aslında bizim uzunluğunu minimalize etmeye çalıştığımız çizgidir.
Sonuç olarak doğrunun eğimi ile çizilen en kısa çizginin eğiminin çarpımı -1'dir, bu da doğru ile çizilen en kısa çizginin birbirlerine dik oldukları anlamına gelir.[1]
Evrim Ağacı'nda tek bir hedefimiz var: Bilimsel gerçekleri en doğru, tarafsız ve kolay anlaşılır şekilde Türkiye'ye ulaştırmak. Ancak tahmin edebileceğiniz gibi Türkiye'de bilim anlatmak hiç kolay bir iş değil; hele ki bir yandan ekonomik bir hayatta kalma mücadelesi verirken...
O nedenle sizin desteklerinize ihtiyacımız var. Eğer yazılarımızı okuyanların %1'i bize bütçesinin elverdiği kadar destek olmayı seçseydi, bir daha tek bir reklam göstermeden Evrim Ağacı'nın bütün bilim iletişimi faaliyetlerini sürdürebilirdik. Bir düşünün: sadece %1'i...
O %1'i inşa etmemize yardım eder misiniz? Evrim Ağacı Premium üyesi olarak, ekibimizin size ve Türkiye'ye bilimi daha etkili ve profesyonel bir şekilde ulaştırmamızı mümkün kılmış olacaksınız. Ayrıca size olan minnetimizin bir ifadesi olarak, çok sayıda ayrıcalığa erişim sağlayacaksınız.
Makalelerimizin bilimsel gerçekleri doğru bir şekilde yansıtması için en üst düzey çabayı gösteriyoruz. Gözünüze doğru gelmeyen bir şey varsa, mümkünse güvenilir kaynaklarınızla birlikte bize ulaşın!
Bu makalemizle ilgili merak ettiğin bir şey mi var? Buraya tıklayarak sorabilirsin.
Soru & Cevap Platformuna Git- 20
- 9
- 7
- 4
- 3
- 3
- 0
- 0
- 0
- 0
- 0
- 0
Evrim Ağacı'na her ay sadece 1 kahve ısmarlayarak destek olmak ister misiniz?
Şu iki siteden birini kullanarak şimdi destek olabilirsiniz:
kreosus.com/evrimagaci | patreon.com/evrimagaci
Çıktı Bilgisi: Bu sayfa, Evrim Ağacı yazdırma aracı kullanılarak 07/10/2025 13:52:08 tarihinde oluşturulmuştur. Evrim Ağacı'ndaki içeriklerin tamamı, birden fazla editör tarafından, durmaksızın elden geçirilmekte, güncellenmekte ve geliştirilmektedir. Dolayısıyla bu çıktının alındığı tarihten sonra yapılan güncellemeleri görmek ve bu içeriğin en güncel halini okumak için lütfen şu adrese gidiniz: https://evrimagaci.org/s/13052
İçerik Kullanım İzinleri: Evrim Ağacı'ndaki yazılı içerikler orijinallerine hiçbir şekilde dokunulmadığı müddetçe izin alınmaksızın paylaşılabilir, kopyalanabilir, yapıştırılabilir, çoğaltılabilir, basılabilir, dağıtılabilir, yayılabilir, alıntılanabilir. Ancak bu içeriklerin hiçbiri izin alınmaksızın değiştirilemez ve değiştirilmiş halleri Evrim Ağacı'na aitmiş gibi sunulamaz. Benzer şekilde, içeriklerin hiçbiri, söz konusu içeriğin açıkça belirtilmiş yazarlarından ve Evrim Ağacı'ndan başkasına aitmiş gibi sunulamaz. Bu sayfa izin alınmaksızın düzenlenemez, Evrim Ağacı logosu, yazar/editör bilgileri ve içeriğin diğer kısımları izin alınmaksızın değiştirilemez veya kaldırılamaz.