Anafranil ve Etken Maddesi Klomipramin Nedir? Neden Kullanılır?
FDA Tarafından Depresyon İçin Onaylanmayan Tek Trisiklik Antidepresan Anafranil, Nelerde Kullanılır?

Bu içerik tıp ve sağlık ile ilişkilidir. Sadece bilgi amaçlı olarak hazırlanmıştır. Bireysel bir tıbbi tavsiye olarak görülmemelidir. Evrim Ağacı'ndaki hiçbir içerik; profesyonel bir hekim tarafından verilen tıbbi tavsiyelerin, konulan bir teşhisin veya önerilen bir tedavinin yerini alacak biçimde kullanılmamalıdır.
Bu Makalede Neler Öğreneceksiniz?
- Identify clomipramine as a tricyclic antidepressant discovered by Ciba-Geigy in 1964 and sold under the Anafranil brand.
- List clomipramine's FDA-approved indication as obsessive-compulsive disorder and its off-label uses including depression and neuropathic pain.
- Highlight contraindications such as recent myocardial infarction and monoamine oxidase inhibitor use, and side effects including nausea and cardiac arrhythmias.
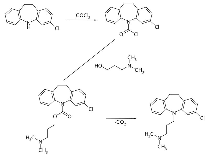
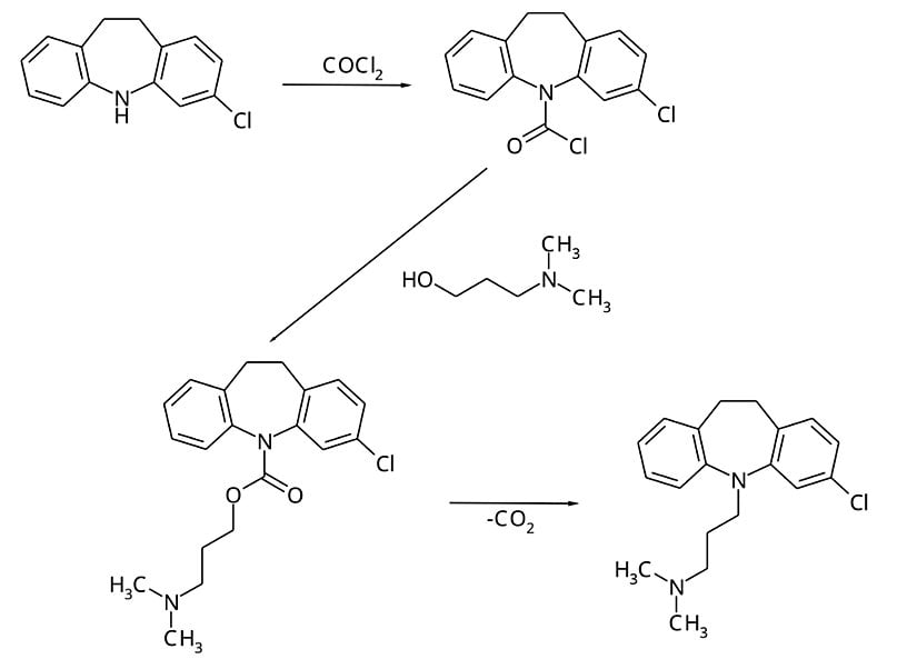
Anafranil markası altında satılan klomipramin, bir trisiklik antidepresandır (TCA).[1] Klomipramin 1964 yılında İsviçreli ilaç üreticisi Ciba-Geigy tarafından keşfedilmiştir.[2]
Diğer antidepresanlarda olduğu gibi (özellikle seçici serotonin geri alım inhibitörleri dahil), 25 yaşın altındaki kişilerde, en azından tedavinin ilk birkaç haftasında, paradoksal olarak intihar riskini artırabilir.
Klomipramin; depresyon, anksiyete, tedaviye dirençli depresyon, katapleksi sendromu, uykusuzluk, nöropatik ağrı, kronik ağrı, vücut dismorfik bozukluğu, panik bozukluk, erken boşalma, pediatrik gece idrar kaçırma ve trikotillomani hastalarını tedavi etmek için endikasyon dışı kullanılır.[10] Klomipramin, hidroklorür tuzu olarak kapsül formunda 25 mg, 50 mg ve 75 mg dozlarında mevcuttur.
Klomipramin Endikasyonları
- Obsesif Kompulsif Bozukluk (OKB), ABD Gıda ve İlaç İdaresi etiketli tek endikasyonudur.[3], [4] Diğer düzenleyici kurumlar, (Avustralya'daki TGA ve İngiltere'deki MHRA gibi) bu endikasyon için klomipramini onaylamıştır.[5], [6]
- Majör Depresif Bozukluk (MDB), ABD'de popüler bir etiket dışı (endikasyon dışı) kullanım olarak bilinir. Bu endikasyon için TGA ve MHRA tarafından onaylanmıştır.[7], [8], [9]
- Narkolepsi ile ilişkili katapleksi. Bu, klomipramin için TGA ve MHRA etiketli bir endikasyondur.
Kontrendikasyonlar
Kontrendikasyonlar şunlardır:
- Klomipramine veya yardımcı maddelerden herhangi birine karşı bilinen aşırı duyarlılık veya dibenzazepin grubu trisiklik antidepresanlara karşı çapraz duyarlılık.
- Yakın zamanda geçirilmiş miyokard enfarktüsü (kalp krizi). Herhangi bir derecede kalp bloğu veya diğer kardiyak aritmiler.
- Mani.
- Şiddetli karaciğer hastalığı.
- Dar açılı glokom.
- Tedavi edilmemiş üriner retansiyon (İdrar yapma ve mesaneyi tamamen boşaltma güçlüğü).
- Bir monoamin oksidaz inhibitörü ile kombine olarak veya tedaviden önceki veya sonraki 3 hafta içinde verilmemelidir. (Moklobemid dahil; ancak, klomipramin moklobemidin kesilmesinden 48 saat sonra daha erken başlatılabilir).
Yan Etkileri Nelerdir?
Klomipraminin yan etkileri arasında bulantı, kilo alımı, iştah artışı, sedasyon, ağız kuruluğu, kabızlık, idrar retansiyonu, bulanık görme, baş ağrısı, baş dönmesi, yorgunluk, hipotansiyon, anksiyete, huzursuzluk, terleme, mavi-yeşil idrar ve cinsel işlev bozukluğu yer almaktadır.
Hayatı tehdit eden advers etkiler arasında aritmi, taşikardi, QTc uzaması, ortostaz, nöbetler, paralitik ileus, hipertermi, karaciğer yetmezliği, göz içi basıncında artış, mani indüksiyonu ve intihar eğiliminin aktivasyonu yer almaktadır.
Klomipraminin Farmakolojisi
Trisiklik bir antidepresan olan Klomipramin, İmipramin'in 3-kloro türevidir. Trisiklik antidepresanların sadece norepinefrin ve serotonin nörotransmitterlerinin sinir hücreleri tarafından yeniden alımını engelleyerek etki gösterdiği düşünülmekteydi. Bununla birlikte bu tepki hemen ortaya çıkar ancak ruh hali yaklaşık iki hafta boyunca düzelmez. Artık serebral korteks ve hipokampüsteki reseptör duyarlılığında değişiklikler meydana geldiği düşünülmektedir. Hipokampus, beynin duygularla ilgili bir bölümü olan limbik sistemin bir parçasıdır. Presinaptik reseptörler etkilenir: α1 ve β1 reseptörleri hassaslaşır, α2 reseptörleri duyarsızlaşır (noradrenalin üretiminin artmasına neden olur). Trisiklikler, özellikle nöropatik veya nevraljik ağrılar olmak üzere farklı ağrı türleri için etkili analjezikler olarak da bilinmektedir.[11]

Klomipramin ve Obsesif Kompulsif Bozukluk
Klomipramin için FDA onaylı tek kullanım alanı, on yaş ve üzeri Obsesif Kompulsif Bozukluk (OKB) tedavisidir. OKB tedavisi için bir meta-analizde klomipraminin; sertralin, fluoksetin ve fluvoksaminden daha etkili olduğu bulunmuştur.
İlk olarak İkinci Dünya Savaşı'ndan sonraki yıllarda geliştirilen TCA'lar, ruh sağlığı tedavisinde önemli bir atılımı temsil ediyordu. İlk TCA olan imipramin (Tofranil) 1959 yılında depresyon tedavisi için FDA tarafından onaylanmıştır. Klomipramin 15 yıl sonra 1974'te depresyon tedavisi için onaylandı ancak OKB tedavisinde FDA onayı alan ilk ilaç olması için 15 yıl daha geçmesi gerekti.[13]
Trisiklik antidepresanlar sınıfına ait bir ilaç olan klomipramin, SSRI'lar kadar iyi çalışıyor gibi görünmektedir ancak daha yüksek oranda yan etkiye sahiptir.[12]
Bir trisiklik antidepresan (TCA) olan klomipramin, OKB tedavisinde etkinlik gösteren ilk ilaç olmuştur. Meta-analizler, SSRI'lara kıyasla daha yüksek etkinliğini göstermektedir ancak erken dönem klomipramin çalışmaları daha az tedaviye dirençli hastayı içerdiğinden bu bulgu dikkat gerektirmektedir. Doğrudan karşılaştırmalar, klomipramin ve SSRI'lar arasında eşdeğer etkinlik olduğunu göstermektedir. SSRI'lar, diğer antidepresanlara göre daha üstün güvenlik profilleri ve tolere edilebilirlikleri nedeniyle uzun süreli tedavi için tercih edilmektedir.[14]
Aslında maddi destek istememizin nedeni çok basit: Çünkü Evrim Ağacı, bizim tek mesleğimiz, tek gelir kaynağımız. Birçoklarının aksine bizler, sosyal medyada gördüğünüz makale ve videolarımızı hobi olarak, mesleğimizden arta kalan zamanlarda yapmıyoruz. Dolayısıyla bu işi sürdürebilmek için gelir elde etmemiz gerekiyor.
Bunda elbette ki hiçbir sakınca yok; kimin, ne şartlar altında yayın yapmayı seçtiği büyük oranda bir tercih meselesi. Ne var ki biz, eğer ana mesleklerimizi icra edecek olursak (yani kendi mesleğimiz doğrultusunda bir iş sahibi olursak) Evrim Ağacı'na zaman ayıramayacağımızı, ayakta tutamayacağımızı biliyoruz. Çünkü az sonra detaylarını vereceğimiz üzere, Evrim Ağacı sosyal medyada denk geldiğiniz makale ve videolardan çok daha büyük, kapsamlı ve aşırı zaman alan bir bilim platformu projesi. Bu nedenle bizler, meslek olarak Evrim Ağacı'nı seçtik.
Eğer hem Evrim Ağacı'ndan hayatımızı idame ettirecek, mesleklerimizi bırakmayı en azından kısmen meşrulaştıracak ve mantıklı kılacak kadar bir gelir kaynağı elde edemezsek, mecburen Evrim Ağacı'nı bırakıp, kendi mesleklerimize döneceğiz. Ama bunu istemiyoruz ve bu nedenle didiniyoruz.
SSRI'lar; antipsikotikler, trisiklik antidepresanlar veya glutamaterjik ajanlarla desteklenebilir.[15], [16] Fluoksetin ve klomipramin kombinasyonu, bir antipsikotik ile fluoksetinden daha iyi performans gösterir. Bununla birlikte fluoksetin ve klomipramin kombinasyonu, her iki ilacın kan seviyelerinin yükselmesi riskini taşır ve potansiyel olarak ciddi advers olaylara (örneğin nöbetler, kardiyak aritmiler ve serotonerjik sendrom) yol açar.[17]
Yirmi bir merkezde yürütülen iki çift kör çalışmada, 239'u en az 2 yıldır (çalışma 1) ve 281'i en az 1 yıldır (çalışma 2) obsesif kompulsif bozukluğu olan 520 hastanın tedavisinde 300 mg/gün'e kadar klomipramin hidroklorür veya eşdeğer sayıda plasebo kapsülün terapötik etkinliği, güvenliği ve tolere edilebilirliği değerlendirilmiştir.
Yale-Brown Obsesif Kompulsif Ölçeği ve Ulusal Akıl Sağlığı Enstitüsü Global Obsesif Kompulsif Ölçeği gibi bozukluğun ciddiyetine ilişkin iki temel ölçümde, klomipramin her iki çalışmada da plasebodan anlamlı derecede daha etkili olmuştur. Yale-Brown Obsesif Kompulsif Ölçeği skorunda 10 haftalık tedavinin sonunda ortalama azalma, klomipraminle tedavi edilen hastalar için çalışma 1 ve 2'de sırasıyla %38 ve %44 ve plasebo ile tedavi edilen hastalar için %3 ve %5 olmuştur. İlaç, hekimlerin ve hastaların global terapötik değişim değerlendirmeleri temelinde de üstün bulunmuştur. Klomipramin tedavisi sırasında en sık gözlenen advers etkiler (yan etkiler) tipik olarak trisiklik antidepresan ilaçlarla ilişkili olanlardır. Nadir görülmekle birlikte, nöbetlerin ortaya çıkması ve aminotransferaz değerlerinin yükselmesi klomipraminin potansiyel olarak ciddi yan etkileridir. Klomipramin genellikle iyi tolere edilmiş ve obsesif ve kompulsif semptomların azaltılmasında etkili olmuştur.[18]
Klomipraminin OKB tedavisindeki etkinliği diğer Trisiklik antidepresanlardan (TCA'lar) çok daha fazladır ve NICE (Ulusal Klinik ve Sağlık Mükemmelliği Enstitüsü) kılavuzlarının SSRI ilaçları dışında önerdiği tek SSRI olmayan ilaçtır.[19]
OKB tedavisinde etkinlik için nispeten yüksek SSRI dozlarına ihtiyaç vardır. Çalışmalar, normalde önerilen maksimum dozların üzerindeki yüksek SSRI dozlarının OKB tedavisinde düşük dozlara göre önemli ölçüde daha etkili olduğunu bulmuştur (örneğin 250 ila 400 mg/gün sertraline karşı 200 mg/gün sertralin). Ayrıca, klomipramin ve SSRI kombinasyonunun da OKB semptomlarını hafifletmede önemli ölçüde daha etkili olduğu bulunmuştur ve klomipramin bu nedenle SSRI'ları güçlendirmek için yaygın olarak kullanılmaktadır. Çalışmalar, ilacın çok yüksek dolaşım konsantrasyonları ve klomipraminin metaboliti desmetilklomipramine çok daha yüksek bir oranı ile ilişkili olan intravenöz klomipraminin OKB tedavisinde oral klomipraminden daha etkili olduğunu bulmuştur.[24], [25], [26]
Klomipramin ve Majör Depresif Bozukluk
Bazı makaleler Majör Depresif Bozukluk tedavisinde klomipraminin diğer antidepresanlara kıyasla olası üstün etkinliğini öne sürmüştür.[20], [21] Ancak şu anda bu iddiayı tam olarak doğrulayacak kanıtlar yetersiz olabilir.[22] Klomipramin yada jenerik adıyla Anafranil, FDA tarafından depresyon için onaylanmamıştır.
Klompraminin İçinde Bulunduğu İlaç Grubu Olan TCA Nedir?
Trisiklik antidepresanlar (TCA'lar), ilk olarak 1959 yılında Majör Depresif Bozukluk (MDB) için farmakoterapi olarak piyasaya sürülen bir ilaç sınıfını oluşturmaktadır. TCA'lar günümüzde seçici serotonin geri alım inhibitörlerinin (SSRI'lar) yanında ikinci basamak tedavi seçenekleri olarak kabul edilmektedir. Kimyasal yapılarında 3 halka bulunması nedeniyle "trisiklik" adını almışlardır. Bu ilaçlar, serotonin ve norepinefrin gibi nörotransmitterlerin geri alımını inhibe ederek işlev görür ve bu da bireylerde ruh halini, dikkati ve ağrıyı modüle edebilir. İlk TCA olan imipramin başlangıçta bir antipsikotik olarak üretilmiş ancak daha sonra güçlü antidepresan özelliklere sahip olduğu keşfedilmiştir. İmipraminin başarısı, amitriptilin, nortriptilin, desipramin ve doksepin gibi sonraki TCA'ların formüle edilmesine yol açan ek araştırmaları teşvik etti.
ABD Gıda ve İlaç Dairesi (FDA), klinik deneylere ve belirli tıbbi durumlar için etkinlik ve güvenliklerinin kanıtlanmış kanıtlarına dayanarak belirli endikasyonlar için farklı TCA'ları onaylamıştır. TCA'ların onayı formülasyona bağlı olarak değişir ve çeşitli durumların tedavisini kapsar. MDB tedavisi için FDA onayı alan TCA'lar amitriptilin, amoksapin, doksepin, desipramin, nortriptilin, protriptilin, imipramin ve trimipraminden oluşur.
Klomipramin, 10 yaş ve üzeri bireylerde Obsesif Kompulsif Bozukluk (OKB) tedavisi için FDA onayına sahiptir.

TCA'lar etkilerini yaklaşık 5 farklı nörotransmitter yolunu modüle ederek gösterirler. Bu ilaçlar presinaptik terminallerde serotonin ve norepinefrin geri alımını inhibe ederek işlev görür ve sinaptik yarık içinde bu nörotransmitterlerin konsantrasyonlarının yükselmesine neden olur. Sinapsta artan norepinefrin ve serotonin seviyeleri antidepresan etkiye katkıda bulunabilir. Ek olarak nörotransmitterler postsinaptik kolinerjik (alfa-1 ve alfa-2), muskarinik ve histamin reseptörleri (H1) üzerinde rekabetçi antagonistler olarak hareket eder. Her reseptörün moleküler yapısı, TCA'nın bu reseptörlerin her birine olan afinitesini önemli ölçüde etkiler. Bir TCA'nın kimyasal yapısı, bağlı bir ikincil veya üçüncül amin ile 3 halkalı bir düzenlemeden oluşur. Desipramin, nortriptilin ve protriptilin ikincil aminler olarak kategorize edilirken, amitriptilin, klomipramin, doksepin, imipramin ve trimipramin üçüncül aminler grubuna aittir. Üçüncül aminler tipik olarak belirgin serotonin geri alım inhibisyonu sergilerken, ikincil aminler norepinefrin alımının yüksek oranda inhibisyonunu gösterir.
Özel Popülasyonda Kullanımı
Karaciğer Yetmezliği Olan Hastalar: Karaciğer fonksiyon bozukluğu klirensi azaltabilir ve karaciğerde önemli ölçüde metabolizmaya uğrayan TCA'ların birikiminin artmasına yol açabilir. Karaciğer fonksiyon bozukluğu olan hastalarda dozun azaltılması ve plazma düzeylerinin ve TCA'larla ilişkili advers etkilerin daha sık izlenmesi gerekebilir. Nortriptilin ve desipramin, hepatotoksisiteye neden olma potansiyellerinin daha düşük olması nedeniyle karaciğer yetmezliği olan hastalarda diğer TCA'lara tercih edilebilir.
Böbrek Yetmezliği Olan Hastalar: TCA'lar ve metabolitleri ağırlıklı olarak renal yolla elimine edildiğinden, hastalarda böbrek yetmezliği farmakokinetiklerini önemli ölçüde etkileyebilir. Nortriptilin, daha az aktif metabolitleri ve daha az antikolinerjik etkileri nedeniyle böbrek yetmezliği olan hastalarda diğer TCA'lara tercih edilebilir. Gebelik ile ilgili dikkat edilmesi gereken çeşitli hususlar mevcuttur. Bazı çalışmalar, TCA'ların potansiyel olarak göz, kulak, yüz ve boyun kusurlarıyla ilişkili konjenital malformasyon riskini artırabileceğini göstermiştir. Buna ek olarak TCA'lar erken doğum, düşük doğum ağırlığı, yenidoğan yoksunluk sendromu ve yenidoğanlarda kalıcı pulmoner hipertansiyon ile ilişkilendirilmiştir. Özellikle, klomipramin, kardiyak defektler de dahil olmak üzere daha şiddetli yenidoğan semptomları ile ilişkilidir. Bununla birlikte diğer çalışmalar TCA'lar ve olumsuz gebelik sonuçları arasında önemli bağlantılar tespit etmemiştir. Genel olarak, TCA'lar hamilelik sırasında tipik olarak güvenli ilaçlar olarak kabul edilmez.Klinik bir gereklilik varsa, gebelik sırasında TCA'ları kullanma kararı, her vakaya özgü fayda ve risklerin dikkatlice değerlendirilmesine dayanmalıdır. Bu değerlendirme maternal depresyonun ciddiyetini, önceki tedavilere verilen yanıtı, ilaç etkileşimi potansiyelini ve hastanın tercihlerini kapsamalıdır. Bazı TCA'lar, özellikle nortriptilin ve desipramin, fetal maruziyetin azalması ve daha olumlu güvenlik profili nedeniyle gebelik sırasında tercih edilmektedir.
Emzirme ile İlgili Hususlar: TCA'lar lipofilisitelerine, proteine bağlanmalarına ve metabolizmalarına bağlı olarak anne sütüne değişen miktarlarda geçerler. Genel olarak, bebekler anne sütü yoluyla düşük seviyelerde TCA'lara maruz kalırlar ve genellikle önemli bir yan etki görülmez. Bununla birlikte, birkaç sedasyon, sinirlilik, zayıf beslenme ve kolik vakası bildirilmiştir. Doksepin hariç TCA'lar emzirme üzerinde zararlı etkilerle ilişkilendirilmemiştir ve bu nedenle kullanımları güvenli kabul edilmektedir. Nortriptilin, sakinleştirici olmayan profili nedeniyle emzirme döneminde kullanılabilecek en güvenli ilaç olarak kabul edilir.

Pediyatrik Hastalar: TCA'lar, güvenlik endişeleri ve bu popülasyon için daha iyi ve daha güvenli diğer tedavi seçeneklerinin bulunması nedeniyle genellikle pediyatrik hastalarda kullanım için onaylanmamıştır. TCA'ların çoğu, pediatrik popülasyonlarda depresyon tedavisi için plaseboya kıyasla üstün etkinlik göstermemiştir. Bununla birlikte, klomipramin 10 yaş ve üzeri bireylerde OKB tedavisi için FDA onayı olan istisnai bir ilaçtır. Geriatrik hastalar: Farmakokinetikte yaşa bağlı değişiklikler, antikolinerjik etkilere karşı artan hassasiyet ve potansiyel ilaç etkileşimleri nedeniyle TCA ilaçları kullanan yaşlı hastalar için dikkatli olunması tavsiye edilir. Yaşlı hastalarda ilacın potansiyel risklerini veya yan etkilerini azaltmak için daha düşük başlangıç dozları ve daha kademeli bir titrasyon gerekli olabilir. Bilişsel bozukluk düşmeleri ve diğer olası yan etkiler için tutarlı izleme bu hasta demografisinde çok önemlidir. Nortriptilin ve desipramin, azalmış antikolinerjik etkileri, azalmış kardiyak toksisiteleri ve daha doğrusal farmakokinetik özellikleri nedeniyle yaşlı yetişkinler arasında diğer TCA'lara göre tercih edilen ilaçlar olabilir.[23]

Veterinerlikte Klomipramin
ABD'de klomipramin yalnızca Clomicalm markası altında satıldığı köpeklerde ayrılık anksiyetesini tedavi etmek için onaylıdır.[27]
- Kedi ve köpeklerde obsesif-kompulsif bozuklukların tedavisinde etkili olduğu kanıtlanmıştır.[28], [29]
- Köpeklerde de kuyruk kovalamayı tedavi etmede fluoksetine benzer etkinlik göstermiştir.[30]
- Köpeklerde gürültü fobisinin tedavisinde etkili olduğuna dair bazı kanıtlar bulunmaktadır.[31]
- Klomipraminin kedilerde idrar püskürtme (İng: "urine spraying") tedavisinde etkinliği gösterilmiştir.[32]
İdrar püskürtme/işaretleme davranışını azaltmak için klomipraminin kediler üzerindeki etkileri üzerine çeşitli çalışmalar yapılmıştır. Dört haftalık bir deneme süresinde bu davranışı %75'e kadar azaltabildiği gösterilmiştir.[33]
Evrim Ağacı'nda tek bir hedefimiz var: Bilimsel gerçekleri en doğru, tarafsız ve kolay anlaşılır şekilde Türkiye'ye ulaştırmak. Ancak tahmin edebileceğiniz gibi Türkiye'de bilim anlatmak hiç kolay bir iş değil; hele ki bir yandan ekonomik bir hayatta kalma mücadelesi verirken...
O nedenle sizin desteklerinize ihtiyacımız var. Eğer yazılarımızı okuyanların %1'i bize bütçesinin elverdiği kadar destek olmayı seçseydi, bir daha tek bir reklam göstermeden Evrim Ağacı'nın bütün bilim iletişimi faaliyetlerini sürdürebilirdik. Bir düşünün: sadece %1'i...
O %1'i inşa etmemize yardım eder misiniz? Evrim Ağacı Premium üyesi olarak, ekibimizin size ve Türkiye'ye bilimi daha etkili ve profesyonel bir şekilde ulaştırmamızı mümkün kılmış olacaksınız. Ayrıca size olan minnetimizin bir ifadesi olarak, çok sayıda ayrıcalığa erişim sağlayacaksınız.
Makalelerimizin bilimsel gerçekleri doğru bir şekilde yansıtması için en üst düzey çabayı gösteriyoruz. Gözünüze doğru gelmeyen bir şey varsa, mümkünse güvenilir kaynaklarınızla birlikte bize ulaşın!
Bu makalemizle ilgili merak ettiğin bir şey mi var? Buraya tıklayarak sorabilirsin.
Soru & Cevap Platformuna Git- 2
- 1
- 1
- 1
- 1
- 1
- 1
- 0
- 0
- 0
- 0
- 0
- ^ Drugs. Clomipramine Monograph For Professionals - Drugs.com. Alındığı Tarih: 18 Temmuz 2024. Alındığı Yer: Drugs | Arşiv Bağlantısı
- ^ J. Zohar. Obsessive Compulsive Disorder: Current Science And Clinical Practice. ISBN: 9781118308011.
- ^ dailymed. Dailymed - Anafranil- Clomipramine Hydrochloride Capsule. Alındığı Tarih: 18 Temmuz 2024. Alındığı Yer: dailymed | Arşiv Bağlantısı
- ^ Medscape. Anafranil (Clomipramine) Dosing, Indications, Interactions, Adverse Effects, And More. Alındığı Tarih: 18 Temmuz 2024. Alındığı Yer: Medscape | Arşiv Bağlantısı
- ^ TGA. Tga Ebs - Product And Consumer Medicine Information Licence. Alındığı Tarih: 18 Temmuz 2024. Alındığı Yer: TGA | Arşiv Bağlantısı
- ^ webarchive. Anafranil 75Mg Sr Tablets - Summary Of Product Characteristics (Spc) - (Emc). Alındığı Tarih: 18 Temmuz 2024. Alındığı Yer: webarchive | Arşiv Bağlantısı
- ^ J. F. Committee. British National Formulary (Bnf) 65. ISBN: 9780857110848.
- ^ U. Author. Australian Medicines Handbook. ISBN: 9780980579093.
- ^ medicines. Clomipramine 50 Mg Capsules, Hard - Summary Of Product Characteristics (Smpc) - (Emc). Alındığı Tarih: 18 Temmuz 2024. Alındığı Yer: medicines | Arşiv Bağlantısı
- ^ M. Wilson, et al. (2022). Clomipramine. StatPearls [Internet]. | Arşiv Bağlantısı
- ^ DrugBank. Clomipramine. Alındığı Tarih: 18 Temmuz 2024. Alındığı Yer: DrugBank | Arşiv Bağlantısı
- ^ J. E. Grant, et al. (2014). Obsessive–Compulsive Disorder. Massachusetts Medical Society, sf: 646-653. doi: 10.1056/NEJMcp1402176. | Arşiv Bağlantısı
- ^ NOCD. What You Should Know About Using Clomipramine (Anafranil) For Ocd. Alındığı Tarih: 18 Temmuz 2024. Alındığı Yer: NOCD | Arşiv Bağlantısı
- ^ D. J. Stein, et al. (2019). Obsessive-Compulsive Disorder. Nature reviews. Disease primers. doi: 10.1038/s41572-019-0102-3. | Arşiv Bağlantısı
- ^ U. Albert, et al. (2016). Role And Clinical Implications Of Atypical Antipsychotics In Anxiety Disorders, Obsessive-Compulsive Disorder, Trauma-Related, And Somatic Symptom Disorders: A Systematized Review. International clinical psychopharmacology, sf: 249-258. doi: 10.1097/YIC.0000000000000127. | Arşiv Bağlantısı
- ^ M. Dold, et al. (2015). Antipsychotic Augmentation Of Serotonin Reuptake Inhibitors In Treatment-Resistant Obsessive-Compulsive Disorder: An Update Meta-Analysis Of Double-Blind, Randomized, Placebo-Controlled Trials. The international journal of neuropsychopharmacology, sf: pyv047. doi: 10.1093/ijnp/pyv047. | Arşiv Bağlantısı
- ^ J. B. Diniz, et al. (2011). A Double-Blind, Randomized, Controlled Trial Of Fluoxetine Plus Quetiapine Or Clomipramine Versus Fluoxetine Plus Placebo For Obsessive-Compulsive Disorder. Journal of clinical psychopharmacology, sf: 763-768. doi: 10.1097/JCP.0b013e3182367aee. | Arşiv Bağlantısı
- ^ JAMA Network. (1991). Clomipramine In The Treatment Of Patients With Obsessive-Compulsive Disorder. Archives of General Psychiatry, sf: 730-738. doi: 10.1001/archpsyc.1991.01810320054008. | Arşiv Bağlantısı
- ^ Ocd-Uk. Clomipramine | Ocd-Uk. Alındığı Tarih: 18 Temmuz 2024. Alındığı Yer: Ocd-Uk | Arşiv Bağlantısı
- ^ L. F. Gram. (1986). Citalopram: Clinical Effect Profile In Comparison With Clomipramine. A Controlled Multicenter Study. Psychopharmacology, sf: 131-138. doi: 10.1007/BF00172884. | Arşiv Bağlantısı
- ^ P. Vestergaard, et al. (1993). Therapeutic Potentials Of Recently Introduced Antidepressants. Clinical Pharmacology in Psychiatry, sf: 190-198. doi: 10.1007/978-3-642-78010-3_18. | Arşiv Bağlantısı
- ^ S. A. Montgomery, et al. (2009). Which Antidepressants Have Demonstrated Superior Efficacy? A Review Of The Evidence. International Clinical Psychopharmacology, sf: 323-329. doi: 10.1097/YIC.0b013e3282eff7e0. | Arşiv Bağlantısı
- ^ J. Moraczewski, et al. (2023). Tricyclic Antidepressants. StatPearls [Internet]. | Arşiv Bağlantısı
- ^ M. Kellner. (2020). Drug Treatment Of Obsessive-Compulsive Disorder. Informa UK Limited, sf: 187-197. doi: 10.31887/DCNS.2010.12.2/mkellner. | Arşiv Bağlantısı
- ^ American Journal of Psychiatry. (2006). High Doses Of Sertraline For Treatment-Resistant Obsessive-Compulsive Disorder. American Journal of Psychiatry, sf: 1232b-1233. doi: 10.1176/ajp.153.9.1232b. | Arşiv Bağlantısı
- ^ R. Hudak. (2011). Clinical Obsessive-Compulsive Disorders In Adults And Children. ISBN: 9781139496261. Yayınevi: Cambridge University Press.
- ^ FDA. Clomicalm. Alındığı Tarih: 18 Temmuz 2024. Alındığı Yer: FDA | Arşiv Bağlantısı
- ^ K. Seksel, et al. (2008). Use Of Clomipramine In The Treatment Of Anxiety‐Related And Obsessive‐Compulsive Disorders In Cats. Wiley, sf: 317-321. doi: 10.1111/j.1751-0813.1998.tb12353.x. | Arşiv Bağlantısı
- ^ K. L. Overall, et al. (2002). Clinical Features And Outcome In Dogs And Cats With Obsessive-Compulsive Disorder: 126 Cases (1989–2000). Journal of the American Veterinary Medical Association, sf: 1445-1452. doi: 10.2460/javma.2002.221.1445. | Arşiv Bağlantısı
- ^ E. Yalcin. (2010). Comparison Of Clomipramine And Fluoxetine Treatment Of Dogs With Tail Chasing. Tierärztliche Praxis Ausgabe K: Kleintiere / Heimtiere, sf: 295-299. doi: 10.1055/s-0038-1622860. | Arşiv Bağlantısı
- ^ K. Seksel, et al. (2008). Use Of Clomipramine In Treatment Of Obsessive‐Compulsive Disorder, Separation Anxiety And Noise Phobia In Dogs: A Preliminary, Clinical Study. Wiley, sf: 252-256. doi: 10.1111/j.1751-0813.2001.tb11976.x. | Arşiv Bağlantısı
- ^ J. N. King, et al. (2004). Determination Of The Dosage Of Clomipramine For The Treatment Of Urine Spraying In Cats. Journal of the American Veterinary Medical Association, sf: 881-887. doi: 10.2460/javma.2004.225.881. | Arşiv Bağlantısı
- ^ G. M. Landsberg, et al. (2014). Effects Of Clomipramine On Cats Presented For Urine Marking. American Animal Hospital Association, sf: 3-11. doi: 10.5326/0410003. | Arşiv Bağlantısı
Evrim Ağacı'na her ay sadece 1 kahve ısmarlayarak destek olmak ister misiniz?
Şu iki siteden birini kullanarak şimdi destek olabilirsiniz:
kreosus.com/evrimagaci | patreon.com/evrimagaci
Çıktı Bilgisi: Bu sayfa, Evrim Ağacı yazdırma aracı kullanılarak 22/10/2025 09:36:53 tarihinde oluşturulmuştur. Evrim Ağacı'ndaki içeriklerin tamamı, birden fazla editör tarafından, durmaksızın elden geçirilmekte, güncellenmekte ve geliştirilmektedir. Dolayısıyla bu çıktının alındığı tarihten sonra yapılan güncellemeleri görmek ve bu içeriğin en güncel halini okumak için lütfen şu adrese gidiniz: https://evrimagaci.org/s/18136
İçerik Kullanım İzinleri: Evrim Ağacı'ndaki yazılı içerikler orijinallerine hiçbir şekilde dokunulmadığı müddetçe izin alınmaksızın paylaşılabilir, kopyalanabilir, yapıştırılabilir, çoğaltılabilir, basılabilir, dağıtılabilir, yayılabilir, alıntılanabilir. Ancak bu içeriklerin hiçbiri izin alınmaksızın değiştirilemez ve değiştirilmiş halleri Evrim Ağacı'na aitmiş gibi sunulamaz. Benzer şekilde, içeriklerin hiçbiri, söz konusu içeriğin açıkça belirtilmiş yazarlarından ve Evrim Ağacı'ndan başkasına aitmiş gibi sunulamaz. Bu sayfa izin alınmaksızın düzenlenemez, Evrim Ağacı logosu, yazar/editör bilgileri ve içeriğin diğer kısımları izin alınmaksızın değiştirilemez veya kaldırılamaz.