Alternatif Bir Meta-Malzeme (Meta-Materyal) Nasıl Geliştirilir?
Ferromanyetik / Süperiletken Hibrit Magnonik Meta-Maddeler Üzerine...

Rusya ve Avrupa'dan fizikçiler, elektronik biliminin post-silikon/silikon-sonrası çağına girecek olan spin-dalga cihazlarının çekirdeğinde yer alan magnonik kristalleri oluşturmak için süperiletken/ferromanyetik sistemlerin kullanılma olasılığını gösterdiler.
Magnonikler, kısaca, bilgi iletmek ve işlemek için spin dalgalarını kullanma olanaklarını araştırır. Modern katı hal fiziğinin bir alt alanı olarak düşünülebilecek modern bir manyetizma alanıdır; dalgaları ve manyetizmayı birleştirir, asıl amacı nano yapılı materyallerdeki spin dalgalarının davranışını araştırmaktır. Fotonikler, fotonlar ve elektromanyetik dalgalar ile ilgilenirken, magnoniklerin odağı, manyetik momentlerin oryantasyonunun harmonik salınımlara olan dönüş dalgaları veya magnonlar üzerindedir. Ferromanyetik malzemelerde, elektronların manyetik momentleri, yani bunların dönüşleri manyetik bir alanda hizalanır. Manyetik bir sistemde gözlemlenen spin/dönüş hizalama dalgalarına, spin dalgaları denir.
Magnonikler, post-silikon dalga elektroniğinde umut verici bir araştırma alanı olarak görülmektedir, çünkü spin dalgaları mikrodalga fotonlara göre bir takım avantajlara sahiptir. Örneğin, spin dalgaları, harici bir manyetik alan tarafından kontrol edilebilir. Esasında, elektromanyetik dalgalar olan mikrodalgalar, bir santimetrelik ortalama dalga boyuna sahipken, aynı mikrodalga frekans aralığındaki spin dalgaları mikrometrelerin dalga boylarına sahiptir. Kontrol edilebilir dalgaların, mikrodalga sinyalleri için çok kompakt mikro bölmeler oluşturmak adına kullanılmasının nedeni budur.
Magnonik kristaller, spin dalgası sinyalleri kullanarak çalışan bir cihaz oluşturmak için gereken en temel sistemlerdir (bazen yapı taşları olarak adlandırılır). Bu kristaller çok çeşitli potansiyel uygulamalara sahiptir ve transistörlerin analogları olan frekans filtrelerinin, ızgara/kafes bağlantı elemanlarının/bağlantı kolu(örneğin, optik fiberler ve nanofotonik dalga-kılavuzları arasındaki bağlantılarda kullanılır), dalga-kılavuzlarının ve magnonik cihazların kalbinde yer alır.
Çalışmanın yazarları, temel hipotezlerini şu soruya göre test ettilerdir: Bir ferromanyetik / süper iletken hibrit sistem kullanılarak bir magnonik kristal oluşturulabilir mi? Ferromanyetizma ve süperiletkenlik iki antagonistik(karşıt olarak hareket anlamında) olgudur. Bir süper iletkende, bir Cooper çiftine bağlanan elektronların dönüşleri, ters yönlerde yönlendirilirken, ferromanyetlerde, aynı yönde hizalanma eğilimindedir. Bilim insanları geleneksel olarak süperiletken özellikleri ferromanyetizma ile etkilemeye çalıştılar.
MIPT’nin Süperiletkenlik Sistemlerde Topolojik Kuantum Olayları Laboratuvarı’nda araştırmacı ve çalışmanın yardımcı yazarlarından biri olan Dr. Igor Golovchanskiy şöyle anlatıyor:
Son birkaç yılda, işlemin tersini gerçekleştirmekte başarılı olduk. İlk olarak, ferromanyetik sistemleri inceliyoruz ve ferromanyetik özelliklerinin bir şekilde süperiletkenler kullanılarak değiştirilip değiştirilemediğini görüyoruz. Bu yüzden küresel çapta ilgiyi çekmiştir. Başlangıçta, manyetikler yalnızca oda sıcaklığı incelemelerini içeriyordu. Bu nedenle, ferromanyetlerin oda sıcaklığında bulunmayan süper iletkenlerle hibridizasyonu söz konusu değildi. Ayrıca, ferromanyetizma geleneksel olarak süperiletkenlikten daha güçlü olarak kabul edilir ve bundan etkilenemez. Laboratuvarımız kriyojenik sistemleri incelemektedir ve manyetik iletkenlerin süper iletkenlerle etkileşime girmeye zorlandıklarında magnonik sistemlerin kriyojenik sıcaklıklarda nasıl davrandıklarına bakmak için kendimize bir hedef koyarız.
Bu araştırmanın temel sonucu, bilim insanlarının süperiletken / ferromanyetik hibrit sistemini kullanarak magnonik kristallerle çalışmanın mümkün olduğunu kanıtlamalarıdır. Bilim insanları ayrıca, sistem mimarilerinde, gigahertz frekans aralığında "yasaklanmış bantlar"ın bulunmasıyla karakterize edilen tuhaf bir magnonik bant yapısını gözlemlemişlerdir.

Araştırma üç aşamada gerçekleştirildi: bir örnek üretildi ve ölçüldü, ardından simülasyonlar yapıldı. Sistem, ferromanyetik bir Ni80Fe20 (Py: Permalloy; mıknatıslanma oranı yüksek nikel-demir alaşımı) ince filmin üzerine yerleştirilmiş düzenli bir süperiletken niyobyum (Nb) yapısından oluşuyordu.
Sistem bir kriyostat içerisine yerleştirildi ve mikrodalga sinyal iletim katsayısı ölçüldü. Değer, sistemin temel frekansları ile aynı ise, rezonans emilimi gözlendi; buna ferromanyetik rezonans denir. Elde edilen spektrum iki hat gösterdi; bu, periyodik yapının, değişken ferromanyetik rezonans koşullarına sahip, iki bağlı alandan oluştuğunu gösterir. Ferromanyetik özellikler, süper iletken yapı aracılığıyla modüle edildi.
Üçüncü aşamada “mikromanyetik simülasyonlar” yapıldı. Bu, araştırmacıların "izin verilen ve yasaklanmış bantlar"ın oluşturduğu manyetik bant yapısını farklı bir geometri ile yeniden yaratmalarına yardımcı oldu.
Silisyum bazlı mikroelektronik bileşenlerin geliştirilmesindeki teknolojik süreç, mevcut boyutların teorik sınırına ulaşmaktadır. Sonuç olarak, hesaplama kapasitesinde daha fazla artış ve dolayısıyla bileşenlerin minyatürleştirilmesinin devam etmesi, yeni yaklaşımlar gerektiriyor. Bu bağlamda, incelenen süperiletken / ferromanyetik sistemler, dalga elektroniği için iyi beklentiler sunmaktadır, çünkü süperiletken malzemeler için kritik boyutlar bir mikrometreden daha azdır. Bu nedenle, süperiletken yapmak çok daha küçük yapmak mümkündür.
Aslında maddi destek istememizin nedeni çok basit: Çünkü Evrim Ağacı, bizim tek mesleğimiz, tek gelir kaynağımız. Birçoklarının aksine bizler, sosyal medyada gördüğünüz makale ve videolarımızı hobi olarak, mesleğimizden arta kalan zamanlarda yapmıyoruz. Dolayısıyla bu işi sürdürebilmek için gelir elde etmemiz gerekiyor.
Bunda elbette ki hiçbir sakınca yok; kimin, ne şartlar altında yayın yapmayı seçtiği büyük oranda bir tercih meselesi. Ne var ki biz, eğer ana mesleklerimizi icra edecek olursak (yani kendi mesleğimiz doğrultusunda bir iş sahibi olursak) Evrim Ağacı'na zaman ayıramayacağımızı, ayakta tutamayacağımızı biliyoruz. Çünkü az sonra detaylarını vereceğimiz üzere, Evrim Ağacı sosyal medyada denk geldiğiniz makale ve videolardan çok daha büyük, kapsamlı ve aşırı zaman alan bir bilim platformu projesi. Bu nedenle bizler, meslek olarak Evrim Ağacı'nı seçtik.
Eğer hem Evrim Ağacı'ndan hayatımızı idame ettirecek, mesleklerimizi bırakmayı en azından kısmen meşrulaştıracak ve mantıklı kılacak kadar bir gelir kaynağı elde edemezsek, mecburen Evrim Ağacı'nı bırakıp, kendi mesleklerimize döneceğiz. Ama bunu istemiyoruz ve bu nedenle didiniyoruz.
Araştırmanın yazarları, araştırmalarının sonuçlarının, kuantum magnonik alanı da dahil olmak üzere, mikrodalga elektroniği ve magnonik alanında kullanacağına inanmaktadır. Bununla birlikte, potansiyel uygulamaların aralığı, sistem oda sıcaklığında yaşayamayacağı için hâlâ sınırlıdır.
Çalışmaya Yönelik Detaylar
Gelin, şimdi de bu araştırmanın teknik detaylarını inceleyelim. Bunun için, önce, yukarıda bahsettiğimiz genel hatları irdeleyebilmek adına, şu tanımlara değinmemiz gerekir:
Çalışmada, manyetik alanlardaki uygulamalar için ferromanyet / süperiletken hibridizasyon(melezleme) temelinde bir "sınıf malzemesi" önerilmiştir. Bu meta-malzemeler, süperiletken bir periyodik mikro yapıya, endüktif olarak bağlanmış bir ferromanyetik magnon ortamdan oluşur. Bu tür hibritlerde mıknatıslanma dinamiğinin spektroskopisi, magnonik kristaller olarak bilinen meta-materyallerin geliştirilmesinde temel gereksinim olan dönüş dalgası yayılması için, değişken dağılımlı ortamdaki alanların oluşumunu gösterir.
Spektrum, süperiletken yapının dispersiyon üzerindeki etkisinin türetilmesine izin verir; süperiletkenlerin, dış ve başıboş(rasgele) manyetik alanlar üzerindeki diamagnetic tepkisi nedeniyle gerçekleşir. Ek olarak, spektrum, yapının süperiletken kritik durumuna bir bağımlılık gösterir; böylece, Meissner ve Tip-II süperiletkenin karışık durumları ayırt edilir. Bu bağımlılık, hibrit metamalzemelerin manyetik alan üzerindeki doğrusal olmayan tepkisine işaret eder.
Spin-dalga dağılımının hibrit meta-malzemelerde araştırılması, spin-dalga yayılımı için izin verilen ve yasaklanmış bantların oluşumunu göstermektedir. Bant yapıları, spin-dalga yayılımının geometrisi ile yönetilir; şöyle ki: geriye doğru geometride bant yapısı gelenekseldir, yüzey geometrisinde bant yapısı ters olmayandır ve dolaylı bant boşlukları tarafından oluşturulur.
Şimdi ise magnonik biliminin ne olduğunu tekrar hatırlayalım: Magnonikler, mikrodalga sinyallerinin dönüş dalgaları aracılığıyla aktarılması ve işlenmesi için materyalleri, yapıları, cihazları ve devreleri inceleyen hızla büyüyen bir araştırma alanıdır.
Magnonikte, ana yapı taşlarından biri, magnonik kristaller olarak adlandırılır (kısaca, MCs olarak belirtebiliriz). MCs'ler, spin-dalgalarının dağılmasıyla ilgili herhangi bir manyetik parametrenin, periyodik modülasyonuna sahip manyetik meta-malzemelerdir: dış manyetik alan, doygunluk mıknatıslanması, değişim özellikleri, manyetik anizotropi, film kalınlığı, mekanik gerilme, vb.
MCs'ler, fotonik kristallerin manyetik karşılığı olarak anlaşılabilir; ana karakteristikleri, spin-dalgası yayılımı için izin verilen ve yasaklanmış bantların varlığıdır. MCs'ler artık, dalga kılavuzları, filtreler, bağlantı elemanları ve veri işleme cihazlarında uygulamalı olarak kabul görmüştür. MCs'lerin uygulamalar için temel avantajları, bant yapısının dış manyetik alana uygun mikro ve alt mikro ölçüler ve hatta ince frekans çalışma aralığı ile ayarlanabilmesidir.
Halen, düzlem geometride 1-boyutlu(1D) ve 2-boyutlu(2D) MCs'lerin geliştirilmesi için zengin bir yaklaşım çeşitliliği vardır. Bu çeşitlilik, ferromanyetik filmlerin periyodik oluk açma veya inceltme işlemleri gibi basit yöntemler içermesinin yanı sıra daha karmaşık teknikler de içerir. Örneğin, iki bileşenli MCs'lerin, nokta ve antidotun, ferromanyetik kafeslerin, nanohat tellerinin, antiferromagnetik bağlantılı sistem mühendisliğinin ve periyodik Dzyaloshinskii-Moriya etkileşimlerinin olduğu sistemlerin, mevcut güncel mikroyapı gelişiminde kullanıldığı bildirilmiştir. Magnonik cihazların minyatürleştirilmesi ve çalışma bantlarının ayarlanması için çeşitli MCs tipleri geliştirilmiştir.
Bu çalışmada, ferromanyetik (F) filmleri periyodik süperiletken (S) yapılarıyla, yani S / F hibritleri ile hibritleyerek/melezleyerek MCs'lerin oluşturulması hedefleniyor. Günümüzde, ferromanyetlerin, manyetikler için süperiletkenlerle melezleştirilmesi bir ivme kazanmaktadır.
Özellikle, süperiletkende çiftli/bağlı-yakınlık Nb / Ni80Fe20 / Nb düzlem alanlarındaki üç ‐ katmanda, μ0H ≈ 30–80 mT ile ferromanyetik rezonans (FMR) alanının önemli ölçüde azaldığı (ve FMR frekansının birkaç GHz ile ilgili artması) rapor edilmiştir. Rezonans alanının süper iletken fenomen tarafından azaltılmasının, konvansiyonel olmayan spin‐üçlü süper iletkenlik oluşumuna veya süper iletken indüklü manyetik akı ile ferromanyetik tabakanın etkileşimine atfedildiğine inanılmaktadır.
Ayrıca, düzlem dışı manyetik alanlardaki "ayrışımlı-yakınlıktaki süperiletken/ferromanyet" iki katmanlı sistemler için bir takım etkiler bildirilmiştir. Bu tür sistemlerdeki temel seviyede, bir süperiletkenliğin kritik manyetik durumu olan bir ferromanyetle mıknatıslanma dinamiklerinin etkileşimi, FMR emiliminin karmaşık bir histerez davranışı (doğa olaylarının evriminde görülen gecikme veya bir sistemin durumunun geçmişine bağımlılığıdır. Örneğin, bir alanın geçmişte nasıl değiştiğine bağlı olarak belirli bir manyetik alanda birden fazla olası manyetik moment olabilir) ile sonuçlanmaktadır.
Öte yandan, ferromanyetik bir filmin ideal, altıgen-düzenli süperiletken vorteks kafesiyle birleştirilmesi, filmde periyodik manyetik düzen sapmalarına neden olur ve spin-dalgasının yayılması için yasak bantların oluşumunu kolaylaştırır. Bu tür magnonik yapıda, yasak bantlar, akı çizgisi örgüsünün periyoduna karşılık gelen Brillouin dalga-numarası boyunca açılır ve bu nedenle manyetik alanın düzlem dışı bileşeninin değiştirilmesi ile ayarlanabilir. Ayrıca, hareketli süperiletken vorteksler, süperiletken/ferromanyetik çok katmanlı tabakalardaki radyasyon için de kullanılabilir.

Ayrıca, düzlem alanlardaki, "ayrışımlı-yakınlık süperiletken/ferromanyet" iki katmanlı durumda, spin-dalgalarının bir süper iletken ile birleştirilmesinin, spin-dalgalarının artan faz hızı ile sonuçlandığı gösterilmiştir. Bu gelişme, rasgele AC manyetostatik alanların, bir süper iletken tarafından taranması nedeniyle oluşur ve spin-dalgalarının ideal bir iletkenle veya Meissner tarama akımlarıyla etkileşimi olarak görülebilir.
Bu çalışmada, periyodik olarak modüle edilmiş spin-dalga dispersiyonlu bir ortamın geliştirilmesi için, ferromanyetlerin dinamik özelliklerini değiştirmek adına süperiletkenlerin yeteneklerinin kullanılması öneriliyor. Bu çalışmada tartışıldığı gibi, bu tür meta-maddelerin dağılımı magnonik bant yapıları sergiler. MCs'lerin dinamik davranışı, spin-dalga yayılımının geometrisi ile belirlenir. Ek olarak, hibrit meta-malzemelerin, manyetik alan üzerindeki doğrusal olmayan bir tepkisi olduğu da belirtilmiştir. Süperiletkenlerle ferromanyetik filmlerin hibridize edilmesiyle MCs'lerin geliştirilmesi, kriyojenik sıcaklıklarda uygulama için etkili görünebilir ve mikro ölçüler üzerine ayarlanabilir MCs'lerin tasarımının önünü açar.
Deneysel Sistem
İncelenen hibrit sistem, Şekil-1'de gösterilmektedir. Sistem, ferromanyetik Ni80Fe20 (Py) ince filmin üzerine yerleştirilmiş olağan bir süperiletken Niyobyum (Nb) yapısından oluşur. Süperiletken periyodik yapı, x-ekseni boyunca a = 4 µm periyodu ile yerleştirilmiş, X x Y x Z = 3 x 130 x 0,7 µm3 boyutlarında Nb dizisiyle temsil edilir. Şeritler, tabanı 3 µm ve yüksekliği 0.7 µm olan x-z düzleminde dikdörtgen bir kesitten ziyade üçgen şeklindedir (bkz: Şekil-1b ve ek bilgiler).
Üçgen kesit, ayrışma işlemi için astarlanarak, yani desenli bir fotorezist(bir yüzey üzerinde desenli bir kaplama oluşturmak için fotolitografi ve fotoengraj gibi birçok endüstriyel işlemde kullanılan ışığa duyarlı bir malzemedir) ile kaplanmış olan, substrat üzerine magnetron püskürtülmüş Nb filminin eksen dışı birikimi nedeniyle oluşur.
Çizgili şeritler ise d = 50 nm kalınlığındaki 1100 x 130 µm2 Py dikdörtgen filmi üzerine yerleştirilir. Py / Nb numunesi, Si substrat üzerinde oluşturulan 50 Ω empedanslı süperiletken Nb düzlemsel dalga kılavuzunun (CPW) 150 µm genişliğindeki merkezi şeridinin üstüne yerleştirilir. Süper iletken yakınlık etkisini önlemek için süper iletken ve ferromanyetik tabakalar arasında 5 nm kalınlığında bir AlOx yalıtkan tabaka bırakılır.
Ölçülen Nb CPW süperiletken kritik sıcaklığı Tc ≈ 9 K'dir. Nb şeritlerinin süper iletken kritik sıcaklığının, çökelme sırasında organik dirençten kaynaklanan kirlenme nedeniyle azaltılması ve Tc > 8 K olması beklenir. Manyetik alan H, x yönü boyunca uygulanır ve geri hacim (BV) geometrisi olarak adlandırılır.

FMR absorpsiyon spektroskopisi, vektör ağ analizörü (VNA; VNA-FMR yaklaşımı olarak adlandırılır) kullanılarak yapıldı. Bu çalışmada, rezonant emiliminin ve aynı örnek düzeninin araştırılmasında aynı deney düzeni kullanılmıştır.
Hibrit Meta-Malzemelerin FMR Spektrumu Bize Ne Anlatıyor?
Şekil-2a ve b, T = 4 K'da çalışılan örneğin dS21(f, H)/dH iletim spektrumunu gösterir. Deney verilerinin daha iyi görünmesi için, her iki ölçülen spektrum S21(f, H), ilk önce S21(f) ile µ0H = 0.5 T'de normalleştirildi ve sonra H'ye göre sayısal olarak farklılaştırıldı.
Spektrumlar iki numune için ölçülmüştür: Nb şeritlerinin (Şekil-2a) biriktirilmesinden önce bozulmamış bir ferromanyetik film için ve MC örneği olarak adlandırılan, depolanmış Nb şeritlerinin (Şekil-2b) aynı Py filmi için. Şekil-2a ve b'deki alana bağlı spektral çizgiler, fr(H) 'nin FMR eğrilerine karşılık gelir. Şekil-2c, Nb çizgilerinin bırakılmasından önce ve sonra elde edilen dS21(f)/dH spektrumlarının çapraz kesitlerini karşılaştırmaktadır.


Bozulmamış numunenin FMR eğrisi fr(H), manyetik-düzlem alanlarındaki ince ferromanyetik filmler için tipik Kittel bağımlılığını izler (Denklem-1):
(2πfr/μ0γ)2=(H+Ha)(H+Ha+Meff)\left( {2\pi f_{r}/\mu_{0}\gamma} \right)^{2} = \left( {H + H_{a}} \right)\left( {H + H_{a} + M_{eff}} \right)
Vakum geçirgenliği µ0 ise, γ = 1.856 × 1011 Hz T-1, Py için jeomanyetik orandır, Ha, anizotropi alanıdır ve Meff, manyetik anizotropi gerçek doygunluk mıknatıslaması Ms ve düzleminin seviyesini içeren etkili doyma mıknatıslanmasıdır. Şekil 2(a)'daki FMR eğrisinin Denklem-1 ile uyumu, Py için tipik olan parametreleri verir: µ0Ha = 4 mT ve µ0Meff = 1.14 T. Tabi burada, geleneksel olarak Py için etkili mıknatıslama değerinin yaklaşık 1 T olduğunu unutmamakta fayda var. Bu çalışmada, Meff'in biraz daha yüksek olan değeri, Bloch teorisine (Ms∝ - T3/2) uygun olarak, düşük sıcaklıklarda doygunluk mıknatıslamasının arttırılmasıyla ve ayrıca ‐ indüklenmiş veya termal ‐ genleşmenin muhtemel aracılı-anizotropiler varlığı ile açıklanabilir.
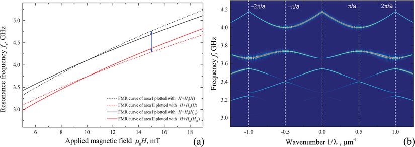
MC numunesinin spektrumu [Şekil-2(b)ve (c)], Nb'nin süperiletken kritik sıcaklığının altında ölçüldüğünde niteliksel olarak farklıdır. Süperiletken Nb şeritlerinin uygulanması, FMR sinyalinin iki spektral çizgiye bölünmesine neden olur. MC numunesi için deneysel rezonans eğrileri fr(H), noktalar ile Şekil-2(d)'de verilmiştir. Şekil-2(b) ve (d)'den itibaren, manyetik alan 0 ila to10 mT arasında değiştiğinde rezonans eğrileri Δfr arasındaki mesafe kademeli olarak 0'dan ≈0.45 GHz'ye yükselir ve ardından manyetik alan 0 ila ≈10 mT olarak değiştirildiğinde yavaşça azalır, sonra ardından Δfr ≈ 0,45 GHz'den Δfr ≈ 0,4 GHz'ye yavaşça düşer ve manyetik alan µ0H ≈ 10 mT'den 50 mT'ye yükseltilmiştir (Şekil 2(d)'deki ekte görülüyor). Ayrıca, önemli olarak, T > Tc'de MC numunesinin FMR spektrumu, tek bir rezonans hattından oluşur ve genel olarak bozulmamış numunelerden birini üretir. Bu nedenle, FMR sinyalinin ayrılması, Nb şeritlerinin süperiletkenliği ile açıkça bağlantılıdır.
Süperiletkenlerin çok temel özelliklerinin, yani manyetik alanın bir süperiletkenden çıkarılmasının, bölünme işleminden sorumlu olduğunu belirtiyoruz. Gerçekten de, süperiletken çizgiler manyetik alanın içinden dışarı doğru, ekrandan çıkarıldığı zaman, manyetik etkisizleştirme etkisinden dolayı çevrelerindeki şeritlerin dışında H'yi artırır. Bu nedenle, Şekil-2(b) ve (d)'deki yüksek frekanslı daha güçlü FMR çizgisinin, alanın arttırıldığı (alan I olarak adlandırılır), doğrudan Nb çizgilerinin altında bulunan Py film alanı tarafından FMR emiliminin bir sonucudur; ayrıca, düşük frekanslı zayıf FMR çizgisi, Nb şeritleri arasında bulunan (II. bölge olarak adlandırılır) Py film bölgesi tarafından FMR emiliminin bir sonucudur.
Genel olarak, değişken FMR koşullarına sahip iki periyodik alandan oluşan bir manyetik yapı MC olarak adlandırılır, böyle bir yapı için, spin-dalgası spektrumunun süreksizliği, yapının Brillouin dalgalanmalarında ∝1/a olarak beklenir. Aşağıda, süper iletken çizgilerin MC numunesinin FMR spektrumu üzerindeki etkisini detaylı olarak analiz edeceğiz.
Şekil-2(d)'deki Δfr(H) eğrisi, Nb çizgilerinin süperiletken kritik durumunun manyetik alana bağımlılığını yansıtmaktadır. Düşük manyetik alanlarda µ0H <10 mT, Δfr(H) ile hızlı bir şekilde büyür, Nb çizgileri ideal diamagnetic (yani, Meissner) durumundadır. Meissner durumunda, manyetik akı, dolaşan Meissner tarama akımları tarafından bir süperiletkenden dışarı atılır ve bu nedenle, süperiletken manyetik alanın FMR üzerindeki etkisi, uygulanan manyetik alanla orantılıdır. Manyetik alanın arttırılması üzerine Meissner durumu -ilk süperiletken kritik alan olarak bilinen-, µ0Hc1 ≈ 10 mT olarak sonlandırılır. Bu, Nb çizgilerinin manyetik olmayan faktörünü içerir.
H > Hc1'de, manyetik akı Abrikosov girdapları şeklinde nüfuz etmeye başlar, Nb çizgilerinin dış manyetik alan üzerindeki ideal diamagnetic tepkisi durur. Bununla birlikte, Meissner tarama akımları her iki FMR çizgisi ayrı kaldığından devam eder. Bu davranış, spin-dalgası dağılımının manyetik alanda doğrusal olmayan bir bağımlılığı olduğu anlamına gelir. Bu noktada, tipik olarak Nb'deki ilk kritik alan µ0Hc1 ∼ 10–100 mT olduğuna dikkat edin. Bu çalışmada, düşük µ0Hc1 ≈ 10 mT, organik dirençle kaplı substrat üzerine Nb birikmesinin bir sonucu olarak, mükemmel olmayan bir Nb kalitesini gösterir.
Hatırlamakta fayda var: Şekil-2(b)'deki MC örneğinin spektrumu H-eksenine göre neredeyse geri dönüşümlüdür. FMR spektrumunun tersine çevrilebilirliği, süper iletken Nb çizgilerinin mıknatıslanmasının tersine çevrilebilirliğini gösterir.
Bir tip-II süperiletkenin mıknatıslanmasının tersine çevrilebilirliği, "sert tip ‐ II" süperiletkenlerin mıknatıslanmasını Abrikosov girdaplarının etkileşimiyle sabitleyen Bean kritik durum modelinin uygulanamazlığına işaret eder. Bizim durumumuzda, alternatif manyetik alanlar, girdapları boşalttığında ve manyetik akının Bean gradyanının oluşumunu önlediğinde, Nb şeritlerinin mıknatıslanmasının tersine çevrilebilirliği çalkalama mekanizması tarafından desteklenmektedir. FMR spektrumunun geri dönüşümlü davranışının, düzlem dışı manyetik alanlardaki S/F film yapıları için olan ile zıt olduğunu unutmayın.
Süperiletken yapının FMR spektrumu üzerindeki etkisi, Şekil-3'te gösterildiği gibi, süper iletken yapı tarafından indüklenen Py filmindeki manyetostatik rasgele alanların değerlendirilmesi ile ölçülebilir. İdeal diamagnets olarak işlem gören süper iletken şeritler, M→sc(H)=−H→{\overset{\rightarrow}{M}}_{sc}(H) = - \overset{\rightarrow}{H} şeritlerin içindeki her yerde mıknatıslanabilir. Ek olarak, Py / Nb örneği, süper iletken Nb CPW'nin merkez hattının üstüne yerleştirildiği için (bakınız Şekil-1), her mıknatıslanmış süperiletken şerit, dalga-kılavuzunun yüzeyine göre yansıtılmış görüntü ile birliktedir.
Bu mıknatıslanmaların manyetostatik rasgele alanları, periyodik olarak Py filminde x ‐ ekseni boyunca DC manyetik alanı düzenler. Py filmindeki gerçek ortalama manyetik alanın, I alanındaki süper iletken çizgiler tarafından indüklenen x ‐ ekseni boyunca HI(H) ≈ +0.18H ve II alanında HII(H) ≈ −0.27H olduğunu tahmin ediyoruz. Z-ekseni boyunca Py filminde Nb çizgileri tarafından üretilen manyetostatik alan, görüntü alanlarının z-bileşeni ile dengelenir.
Şekil-2(d)'deki kesikli eğriler, µ0Ha = 5 mT ile Denklem-1 kullanılarak, hesaplanan örnek ile aynı Meff ve H + HI ve H + HII ile ikâme edilmesiyle, H ve Denklem-1 kullanılarak hesaplanan Kittel FMR hatlarını göstermektedir. Her iki eğri de manyetik alanı arttırdıktan sonra farklılaşır ve düşük manyetik alanlardaki (µ0H ≲ 10 mT) ilgili FMR hatlarına iyi oturur; bu, Meissner durumundaki süperiletkenler için kullanılan mıknatıslanma tahmininin M→sc=−H→{\overset{\rightarrow}{M}}_{sc} = - \overset{\rightarrow}{H} ile uygulanabileceğini gösterir. µ0H > 10 mT'de, süper iletkenlerin diamagnetic tepkisi H = Hc1'e sabitlenerek elde edilebilir.
Şekil-2(d)'deki sabit eğriler, kesikli çizgilerle aynı manyetik parametrelerle ve H + HI(Hc1) ve H + HII(Hc1) ile ikâme edilen H ve Denklem-1 kullanılarak hesaplanan Kittel FMR çizgilerini göstermektedir. Her iki eğri de, µ0H > 10 mT yüksek manyetik alanlardaki ilgili FMR hatlarına iyi uyum sağlar; bu, H > Hc1'de nüfuz edilmiş durumdaki süperiletkenler için kullanılan tersinir mıknatıslanma M→sc=−H→c1{\overset{\rightarrow}{M}}_{sc} = - {\overset{\rightarrow}{H}}_{c1} tahmininin uygulanabilirliğini gösterir.

Meissner-taraması Nb çizgileri tarafından indüklenen ek DC manyetik alanın tahmini. Her süperiletken şerit, siyah oklarla gösterilen M→sc(H)=−H→{\overset{\rightarrow}{M}}_{sc}(H) = - \overset{\rightarrow}{H} manyetik momentine sahiptir. Her mıknatıslanmış süper iletken şeride, siyah kesikli oklarla gösterilen aynı manyetik momenti M→sc(H)=−H→{\overset{\rightarrow}{M}}_{sc}(H) = - \overset{\rightarrow}{H} gösteren dalga-kılavuzunun yüzeyine göre yansıtılmış görüntüsü eşlik eder. Bu anların manyetostatik rasgele alanları (siyah çizgilerle gösterilmiştir), x filmi boyunca Py filminde DC manyetik alanı periyodik olarak modüle eder.
Magnonik Bant Yapıları
Süperiletkenlerin mıknatıslanması için belirtilen tahmin, manyetik bant yapısının mikromanyetik simülasyonlarında kullanılabilir. Bununla birlikte, imâl edilen numunenin bant yapısının araştırılması (Şekil-1), temel olarak yapının büyük periyodundan ötürü, tavizsiz ve hesaplamalı olarak ağırdır. Bu nedenle, sayısal simülasyonlar için farklı boyutlarda bir yapı göz önüne alınmıştır.
Yanal boyutları X × Y = 900 × 900 µm2 olan 100 nm kalınlığındaki bir Py ferromanyetik film ve X × Y × Z = 0.5 × 900 × 0.3 µm3 boyutlarında bir dizi süperiletken çizgi ile temsil edilen hibrit MC, x ‐ ekseni boyunca a = 1 µm periyodundadır. Bu geometride, süperiletken çizgiler tarafından indüklenen x-ekseni boyunca Py filmindeki ortalama manyetik alan, I'deki alan için HI(H) ≈ + 0.14H ve II alanında HII(H) ≈ -0.14H'dir. Bu MC için manyetik alandaki rezonans frekansının bağımlılıkları Şekil-4(a)'da verilmiştir.

BV geometrideki hibrit MC için mıknatıslanma dinamiğinin özellikleri. MC, 100 nm kalınlığındaki Py filmden ve x ‐ ekseni boyunca a = 1 µm periyodunda yer alan X × Z = 0,5 × 0,3 µm2 kesitli dikdörtgen süperiletken çizgiler dizisinden oluşur.
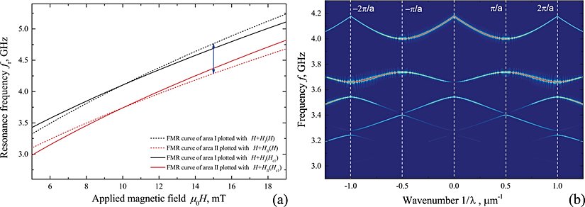
Şekil 4b, S / F hibrid MC'nin BV geometrisindeki, yani deneyin geometrisindeki (Şekil 1), µ0H = 15 mT'de simüle edilmiş bant yapısını gösterir. Şekil-4'teki spektrumu hesaplarken, yalnızca uygulanan manyetik alanın süperiletken şeritler tarafından DC taraması göz önünde bulundurulur. Ayrıca, altta yar alan süperiletken yüzey tarafından tarama yapılması düşünülmemektedir.
Şekil-4(b)'deki bant yapısı BV'de bir MC geometrisi için tipiktir. Yasaklanmış bantlar kesikli çizgilerle gösterilen ∝1 / a Brillouin dalga-kalvuzu ile açılır. İlk iki boşluk, sırasıyla bant aralığı Δf = 0.26 ve 0.1 GHz olan f = 3.87 ve 3.6 GHz frekanslarında açılır. Daha büyük sayılara sahip bant boşlukları, yani daha düşük frekanslarda, daha küçük boşluk genişliği Δf anlamına gelir. Bu geometride, süperiletken çizgilerin manyetik alan üzerindeki doğrusal olmayan tepkisinin, H < Hc1'de H artışı ile yasaklanmış bantların genişletilmesinde ve H > Hc1'de H artışı ile bantların daralmasında kendini göstermesi beklenir [Şekil-2(d) ve 4(a)'ya göre].
Süperiletken şeritler Şekil-1 ve 3'teki x yönünde hizalandığında manyetostatik yüzey dönüş dalgası (MSSW) geometrisinde, mıknatıslanma dinamiklerinin süper iletken şeritler ile etkileşimi farklıdır. Bu geometride, Py filmindeki dış manyetik alan boyunca süperiletken çizgiler tarafından indüklenen DC manyetik alan, şeritlerin küçük manyetik giderme faktörü nedeniyle önemsizdir. Bu, Nb çizgilerinin FMR spektrumu üzerinde herhangi bir etkisinin olmamasına yol açar.
Bununla birlikte, MSSW geometrisinde süperiletken şeritler, spin-dalgalarında olduğu gibi, uzamsal olarak tek biçimli olmayan manyetik momentlerin önlenmesi ile etkileşime girebilir. Bu etkileşimin sonucu, MSSW geometrisinde iki S / F hibrid MC'nin simüle edilmiş bant yapılarının gösterildiği Şekil-5'te verilmiştir. Şekil-5'teki S / F hibrit yapılar, aynı 100 nm kalınlığındaki Py ferromanyetik film ve X × Y x Z = 900 x 0.3 x 0.4 µm3 [Şekil-5(a)] ve X x Y x Z = boyutlarında süper iletken çizgiler dizileriyle temsil edilir ve 900 x 0.9 x 0.4 µm [Şekil-5(b)], aynı periyotta y-ekseni boyunca 1 µm 'de bulunur. Şekil-5'teki sağ paneller, spektrumun entegre genliğinin, dalga boyu ekseni boyunca pozitif (+k) ve negatif (-k) spin-dalgasının yayılma yönlerine olan bağımlılığını göstermektedir. Bu genlik, spin-dalgasının iletim özellikleri ile ilişkilidir.

Şekil-5'teki MSSW geometrisindeki S / F hibritlerinin spektrumu, BV geometrisinde olduğundan daha karmaşıktır ve birçok özelliğe sahiptir. İlk olarak, net bir karşılıklılık gözlenmedi, pozitif dalgalanmalara sahip spektral çizgiler, yasak bantları ortaya çıkarırken, negatif dalgalanmalara sahip spektral çizgiler süreklidir. Bant yapısının değişmezliği, MSSW modunun genel bir değişmezliğinin bir sonucudur: dalga enerjisi, uygulanan manyetik alana göre dalga yayılımının yönüne bağlı olarak filmin belirli bir yüzeyinde lokalizedir.
Ferromanyetik filmin bir tarafındaki süperiletken yapının lokalizasyonu, mıknatıslanma dinamiğinin, özel olarak döndürülen dalgaları pozitif olarak yaymak için süper iletken şeritler ile etkili bir şekilde etkileşmesine neden olur. Karşılıklı olmayan spin-dalgası iletim özellikleri, bu tür MCs'lerin tek yönlü dalga-kılavuzları ve filtreler olarak uygulanmasını önerir. Ek olarak, Şekil-5'teki bant boşlukları, Brillouin dalgalanmalarından ∝1 / a uzağa açılır. Bu gibi bant boşlukları, dolaylı bant boşlukları olarak adlandırılır ve dağılım yasasının değişmemesinin bir sonucu olarak ortaya çıkar.
Aynı kafes periyoduna sahip, ancak farklı boyutlarda süperiletken çizgilere sahip iki S / F hibridin hızlı bir görsel karşılaştırması, (1 / λ, f) koordinatlarındaki bant boşluklarının pozisyonunun ve bant boşluklarının genişliğinin, boyutlara bağlı olduğunu gösterir. BV geometrisinden farklı olarak (Şekil-4), daha yüksek frekanslarda bulunan daha büyük sayıları olan bant boşlukları daha geniş Δf gösterir; Şekil-5(a)'da f = 18.0 GHz'de maksimum Δf = 2.5 GHz, Şekil-5(b)'de f = 20.4 GHz'de maksimum Δf = 0.7 GHz gözlemlenmiştir.
Bu etki, I ve II bölgeleri arasındaki dağılım özelliklerinde daha büyük fark üreten daha kısa spin-dalgaları için daha etkili bir taramanın sonucudur. MSSW geometrisinde, süperiletkenin manyetik alana mıknatıslanmasının, doğrusal olmayan bağımlılığının, bant yapısının uyarıcı alanının genliği üzerindeki bağımlılığında kendini göstermesi beklenir.
Deneysel Bölümü Ayrıntılı Tanılamak
Süperiletken dalga-kılavuzu, Sitostrat üzerinde, magnetron püskürtülen 100 nm kalınlığındaki Nb filmden, süper litografi ve CF4 + O2 plazmasında kimyasal plazma aşındırıcı kullanılarak süperiletken kritik sıcaklık Tc ≃ 9 K ile üretildi. Büyüme haznesinde birikme öncesi taban basıncı, 5 x 10−9 mBar'dır. Nb'nin birikmesinden önce, substrat PAr = 2 x 10 ×2 mBar, 60 W RF gücü ve 500 V DC voltajda plazma temizlendi. Nb'nin biriktirilmesi sırasında, argon basıncı, RF gücü, birikme hızı ve DC gerilimi sırasıyla 4 x 10−3 mBar, 200 W, 2.2 Å s−1 ve 200 V idi. Py ince film, Py alaşım hedefinin, art arda gelen magnetron RF ‐ püskürtmesi ve çift dirençli kaldırma tekniği kullanılarak biriktirildi. Py biriktirme sırasında, argon basıncı, RF gücü, biriktirme hızı ve DC gerilimi sırasıyla 4 x 10−3 mBar, 200 W, 1.5 Å s−1 ve 450 V idi.
Periyodik Nb süperiletken şeritler, art arda magnetron RF-püskürtme ve çift dirençli kapatma tekniği kullanılarak biriktirildi. AlOx yalıtım katmanı, 115 sccm Ar akışı ve 35 sccm O2 akışı ile Ar + O2 atmosferinde, Al temel hedefi püskürtülerek bırakıldı. AlOx biriktirme sırasında, Ar + O2 basıncı, RF-gücü, birikme hızı ve DC gerilimi sırasıyla 4 x 10−3 mBar, 200 W, 0,6 Å s-1 ve 510 V idi.
Sayısal analiz, mikromanyetik simülasyonlar kullanılarak şöyle yapıldı: DC manyetik alana ortogonal olarak simüle edilmiş bir ferromanyete, yerel olarak simüle edilmiş uzaysal profillerine manyetik alan atımı uygulandı ve yerel manyetik alanların ferromanyeti M→(r→,t)\overset{\rightarrow}{M}(\overset{\rightarrow}{r},t) olarak kaydedildi. Uygulanan uzay-zaman Fourier dönüşümü, maksimum M→(r→,t)\overset{\rightarrow}{M}(\overset{\rightarrow}{r},t) ile f(k→)f(\overset{\rightarrow}{k}) dağılımını sağladı.
Yansımaları önlemek için, filmin sınırlarının yakınında üssel bir Gilbert sönümleme profili oluşturulmuştur. Hesaplamalar için Py: µ0H = 15 mT (Şekil-4) ve µ0H = 3.8 mT (Şekil-5), µ0Ms = 1.14 T, µ0Ha = 3.1 mT, γ = 1.856 × 1011 Hz T-1 , değişim sertliği sabiti A için mikro-manyetik parametreler kullanıldı; A = 1.3 × 10−11 J m-1. Simüle edilmiş Py filminin boyutları L x G x d = 900 x 900 x 0,1 µm3 idi. Eksitasyon nabzı, maksimum frekansı fmax = 8 GHz ve fmax = 30 GHz olan maksimum dalga‐vektör kmax = 2π / 800 nm-1 ve 0.001Ms amplitüdünde, maksimum frekansa sahip bir profile sahipti. Manyetostatik spin-dalga dağılımını doğru yakalamak için 1D (1 boyutlu) ağ kullanan mikromanyetik simülasyonu gerçekleştirmek yeterliydi.
Şekil-4'ün hesaplanması için, süperiletken yapının etkisi, Py filmdeki süperiletkenlerin diamagnetik mıknatıslanması tarafından indüklenen DC magnetostatik rasgele alanın dağılımının hesaplanmasıyla muhasebeleştirilmiştir. Manyetostatik alanın hem x, hem de z bileşenleri göz önünde bulunduruldu.
MSSW geometrisindeki S / F hibritlerin manyetostatik problemi (Şekil-5) BV geometrisindekinden farklıydı çünkü dış manyetik alanın DC taramasından kaynaklanan etki göz ardı edilebilir. Bu problem, değişken sarkma alanları tarafından indüklenen salınımlı mıknatıslanma M→sc=−H→{\overset{\rightarrow}{M}}_{sc} = - \overset{\rightarrow}{H} ile ideal bir çapa sahip olan bir manyetostatik etkileşim olarak ele alınmıştır.
Mikromanyetik simülasyonlarda S / F hibritlerinin manyetostatik probleminin sayısal uygulaması, hem DC dış alandaki hem de AC yolundaki diamagnetic tepkisinin bir sonucu olan mıknatıslanma M→sc{\overset{\rightarrow}{M}}_{sc} 'nin hesaplanması için bir ara adım dahil edilerek gerçekleştirildi. Bu, ferromanyete alanları ve daha sonra Landau – Lifshitz – Gilbert denkleminin entegrasyonunun her bir aşamasındaki etkili alanın toplam dipol-dipol bileşeninin hesaplanmasıyla dahil edildi. Bu sayısal yaklaşımın, sonsuz süper iletken yüzeyin üzerine yerleştirilen, bir ferromanyetteki mıknatıslanma dinamiklerini incelemek için daha önce kullanılan görüntü yönteminden farklı olduğunu unutmamakta fayda var.
Adım Adım Sonuca Ulaşmak
Özetle, bu çalışmada, süperiletken periyodik mikro yapıya endüktif olarak bağlanmış bir ferromanyetik filmden oluşan ferromanyetik / süperiletken hibrit MCs'lerde, mıknatıslanmadaki dinamikler dikkate alındı. Hibritin FMR spektrumunu inceleyerek, süper iletken periyodik alt sistemin manyetik iletkenlik dinamiğine olan gerçek katkısı tanımlandı; yani süper iletkenin diyagnostik tepkisi. Ek olarak, FMR spektrumunun süperiletken kritik durumlarla korelasyonunu gözlemlendi, Meissner durumunu ve nüfuz eden vortex/girdap durumu tanımladık. FMR spektrumunun tersine çevrilebilirliği, süperiletken vorteksler üzerinde, vorteks çalkalama mekanizmasının bir eylemini göstermektedir.
Hibrit MCs'lerde spin-dalgalarının dağılımı, düzlem geometrilerinde dikkate alınmıştır. BV geometrisinde, Brillouin dalga-numarası'nda açılan bant boşlukları ile geleneksel bir bant yapısı oluşturulur. Bant yapısı temel olarak, dış DC manyetik alanın süperiletken şeritler tarafından taranmasından ve DC alanınına karşılık gelen uzamsal varyasyonunun oluşmasından kaynaklanır.
MSSW geometrisinde dispersiyon karşılıklı değildir ve bant yapısı dolaylı bant boşluklarından oluşur. Bu bant yapısı esas olarak, önceki manyetik momentlerin rasgele alanlarının AC bileşeninin taranması nedeniyle oluşur. Genel olarak, önerilen meta-materyaller, süperiletken periyodik yapının geometrik parametrelerini ayarlayarak veya spin-dalga yayılımının oryantasyonunu ayarlayarak dispersiyonlarının basit bir şekilde ayarlanmasını sağlar. Süperiletken elemanların, ayrıştırma yeteneklerinin manyetik alan üzerindeki bağımlılığı, S / F magnonik materyallerinde doğrusal olmayan bir spin-dalga dinamiğine işaret eder.
Ek olarak, manyetik iletkenler için süperiletkenlerin uygulanmasındaki sınırlamalar not ediliyor. Süperiletkenlerin diamagnet olarak çalıştırılması, süper iletken kritik sıcaklığın altındaki sıcaklıklarda ve üst süper iletken kritik alanın altındaki manyetik alanlarda mümkündür. Çalışma frekansı süper iletken boşluk frekansının altında kalmalıdır. Süper iletkenlerin boyutları, Londra penetrasyon derinliği λL'nin üzerinde kalmalıdır. Küçük, tipik λL ölçüleri, mikro ve alt mikroskobik periyodikliğe sahip MCs'lerin gelişimine yol açmaktadır.
Evrim Ağacı'nda tek bir hedefimiz var: Bilimsel gerçekleri en doğru, tarafsız ve kolay anlaşılır şekilde Türkiye'ye ulaştırmak. Ancak tahmin edebileceğiniz gibi Türkiye'de bilim anlatmak hiç kolay bir iş değil; hele ki bir yandan ekonomik bir hayatta kalma mücadelesi verirken...
O nedenle sizin desteklerinize ihtiyacımız var. Eğer yazılarımızı okuyanların %1'i bize bütçesinin elverdiği kadar destek olmayı seçseydi, bir daha tek bir reklam göstermeden Evrim Ağacı'nın bütün bilim iletişimi faaliyetlerini sürdürebilirdik. Bir düşünün: sadece %1'i...
O %1'i inşa etmemize yardım eder misiniz? Evrim Ağacı Premium üyesi olarak, ekibimizin size ve Türkiye'ye bilimi daha etkili ve profesyonel bir şekilde ulaştırmamızı mümkün kılmış olacaksınız. Ayrıca size olan minnetimizin bir ifadesi olarak, çok sayıda ayrıcalığa erişim sağlayacaksınız.
Makalelerimizin bilimsel gerçekleri doğru bir şekilde yansıtması için en üst düzey çabayı gösteriyoruz. Gözünüze doğru gelmeyen bir şey varsa, mümkünse güvenilir kaynaklarınızla birlikte bize ulaşın!
Bu makalemizle ilgili merak ettiğin bir şey mi var? Buraya tıklayarak sorabilirsin.
Soru & Cevap Platformuna Git- 2
- 2
- 2
- 1
- 1
- 0
- 0
- 0
- 0
- 0
- 0
- 0
- Türev İçerik Kaynağı: Advanced Science | Arşiv Bağlantısı
- M. Langer, et al. (2018). Spin-Wave Modes In Transition From A Thin Film To A Full Magnonic Crystal. Arxiv. | Arşiv Bağlantısı
- Y. Li, et al. (2018). Topological Magnon Modes In Patterned Ferrimagnetic Insulator Thin Films. ACS Publications. | Arşiv Bağlantısı
- I. A. Golovchanskıy, et al. (2019). Interplay Of Magnetization Dynamics With A Microwave Waveguide At Cryogenic Temperatures. Physical Review Applied. | Arşiv Bağlantısı
- A. A. Bespalov, et al. (2019). Magnon Radiation By Moving Abrikosov Vortices In Ferromagnetic Superconductors And Superconductor-Ferromagnet Multilayers. Physical Review B. | Arşiv Bağlantısı
- I. Neudecker, et al. (2006). Comparison Of Frequency, Field, And Time Domain Ferromagnetic Resonance Methods. ScienceDirect. | Arşiv Bağlantısı
- I. A. Golovchanskiy, et al. (2016). Magnetization Dynamics In Dilute Pd1-Xfex Thin Films And Patterned Microstructures Considered For Superconducting Electronics. Journal of Applied Physics. | Arşiv Bağlantısı
- W. T. Norris. (1969). Calculation Of Hysteresis Losses In Hard Superconductors Carrying Ac: Isolated Conductors And Edges Of Thin Sheets. Journal of Physics D. | Arşiv Bağlantısı
- N. N. Abramov, et al. (2018). Modified Dispersion Law For Spin Waves Coupled To A Superconductor. Journal of Applied Physics. | Arşiv Bağlantısı
- I. A. Golovchanskiy, et al. (2019). Ferromagnet/Superconductor Hybrid Magnonic Metamaterials. Advanced Science. | Arşiv Bağlantısı
Evrim Ağacı'na her ay sadece 1 kahve ısmarlayarak destek olmak ister misiniz?
Şu iki siteden birini kullanarak şimdi destek olabilirsiniz:
kreosus.com/evrimagaci | patreon.com/evrimagaci
Çıktı Bilgisi: Bu sayfa, Evrim Ağacı yazdırma aracı kullanılarak 09/10/2025 15:11:06 tarihinde oluşturulmuştur. Evrim Ağacı'ndaki içeriklerin tamamı, birden fazla editör tarafından, durmaksızın elden geçirilmekte, güncellenmekte ve geliştirilmektedir. Dolayısıyla bu çıktının alındığı tarihten sonra yapılan güncellemeleri görmek ve bu içeriğin en güncel halini okumak için lütfen şu adrese gidiniz: https://evrimagaci.org/s/7937
İçerik Kullanım İzinleri: Evrim Ağacı'ndaki yazılı içerikler orijinallerine hiçbir şekilde dokunulmadığı müddetçe izin alınmaksızın paylaşılabilir, kopyalanabilir, yapıştırılabilir, çoğaltılabilir, basılabilir, dağıtılabilir, yayılabilir, alıntılanabilir. Ancak bu içeriklerin hiçbiri izin alınmaksızın değiştirilemez ve değiştirilmiş halleri Evrim Ağacı'na aitmiş gibi sunulamaz. Benzer şekilde, içeriklerin hiçbiri, söz konusu içeriğin açıkça belirtilmiş yazarlarından ve Evrim Ağacı'ndan başkasına aitmiş gibi sunulamaz. Bu sayfa izin alınmaksızın düzenlenemez, Evrim Ağacı logosu, yazar/editör bilgileri ve içeriğin diğer kısımları izin alınmaksızın değiştirilemez veya kaldırılamaz.