Abiyogenez Teorisi'nde Önemli Keşif: Metaller ve Enzimler Olmadan da Krebs Döngüsünün Çalışabildiği Gösterildi!

- Türev
- Evrimsel Biyoloji
- Abiyogenez
Bu haber 4 yıl öncesine aittir. Haber güncelliğini yitirmiş olabilir; ancak arşivsel değeri ve bilimsel gelişme/ilerleme anlamındaki önemi dolayısıyla yayında tutulmaktadır. Ayrıca konuyla ilgili gelişmeler yaşandıkça bu içerik de güncellenebilir.
Nature Chemistry dergisinde yayınlanan yeni bir makalenin yazarlarından olan Furman Üniversitesi lisansüstü öğrencilerinden Trent Stubbs'ın çalışması, yaşamın kökenlerine yönelik algımızı kökünden değiştirme potansiyeline sahip.[1] Çünkü bu araştırma, organik kimyasal reaksiyonların, milyarlarca yıl önce inorganik süreçlerden başlayabileceğini gösteriyor.
Bu reaksiyonlardan birisi, yediğimiz besinleri enerjiye dönüştürmemizi ve böylece yaşamımızı sürdürmemizi sağlayan, sitrik asit döngüsü olarak da bilinen Krebs Döngüsü'dür. Çalışma, bu döngünün sentetik olarak üretildiği ilk araştırma olma özelliğini de taşıyor. Üniversitenin Kimya Bölümü profesörlerinden Greg Springsteen şöyle diyor:
Öğrencimiz Trent, bazı küçük moleküllerle başladı ve Krebs Döngüsü'nün nasıl sürdüğünü çözmeyi başardı. Onun ürettiği sistemde, ortalama bir pH değerinde, suyun içinde enzimler olmaksızın döngü devam edebiliyor! Bu keşif, Dünya'da yaşamın nasıl başladığını ve Evren'in geri kalanında tekrardan nasıl başlayabileceğini anlamamızı sağlayabilir.
Hipotezlerini oluşturmak için Stubbs ve Springsteen, yaşam için temel olan şeyin ne olduğunu sorarak başladılar. Stubbs şöyle anlatıyor:
"Canlı hücreler içinde var olan nedir?" diye sorduk. En erken dönemde var olması gereken temel bileşenler nelerdir? Cevap, sitrik asit döngüsüydü. Bu döngü, besini enerjiye dönüştüren süreçlerden birisidir. İnsan da olsanız, bitki de, kertenkele de, bu döngüyü kullanmak zorundasınız. Dolayısıyla bu döngü, yaşamın en erken dönemlerinden beri var olmalıdır ve bizim makalemiz de bununla ilgili. Günümüzde karmaşık bir mekanizmayla çalışan bu döngünün daha basit versiyonları, bu üst düzey mekanizma olmaksızın nasıl evrimleşmiş olabilir?

Nature Chemistry dergisinde yayınlanan araştırma, Springsteen'in Ulusal Bilim Enstitüsü (NSF) ve Kimyasal Evrim Merkezi olarak bilinen NASA araştırma konsorsiyumunun bir ürünü olarak ortaya çıktı. Springsteen, organik kimyanın mekanistik prensiplerinin yaşamın kökenlerine uyarlanması konusunda uzmanlaşıyor. O ve öğrencileri, bu alanda 10 yıldan uzun bir süredir araştırmalar yürütüyorlar. Amaçları, doğal kimyasal tepkimelerin kendi kendisine yetecek bir metabolik reaksiyon ağını nasıl oluşturmuş olabileceklerini aydınlatmak; çünkü bu, yaşamın temel kriteridir. Araştırmacılar şöyle yazıyor:
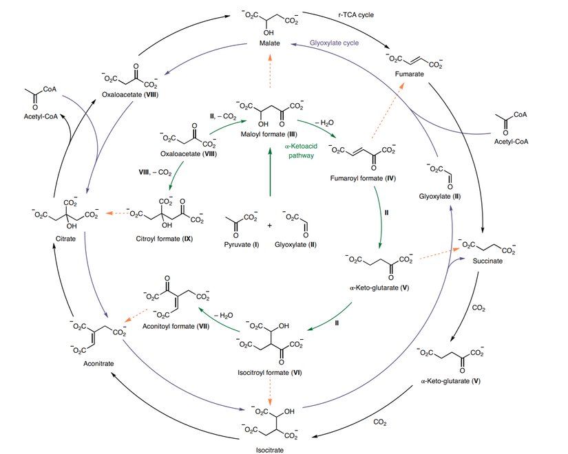
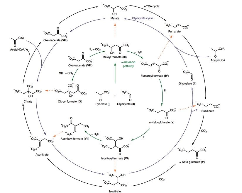
Bu çalışmamızda, ortamın tepkimeye giren kimyasallar ve ürünler için yıkıcı olmadığı durumlarda, glioksilatın hem bir karbon kaynağı hem de redüktan olarak görev görebileceğini ve bunun, yaşam öncesi biyokimyasal süreçler için küçük bir organik yapıtaşı olabileceğini gösterdik. Bu durum, kısmen sucul ve metalden yoksun ortamlarda anabolik potansiyele sahip proto-metabolizmaların evrimleşebileceğine yönelik hipotezi güçlü bir şekilde desteklemektedir.
Araştırmacılar, prebiyotik (yaşam öncesi) kimya ile modern biyoloji arasında birebir bağlantı kurmak yanıltıcı olabileceği konusunda da uyarıyorlar; ancak alfa-ketoasit temelli bir kimyadan, biyolojik organizmaların doğrusal bir şekilde evrimleşmesinin çok olası olduğunu vurguluyorlar. Örneğin modern Krebs döngüsünde var olmaya devam eden tek alfa-ketoasitler oksaloasetat ve alfa-ketoglutarattır. Bunlardan ilki Krebs döngüsünde glutamata dönüştürülür (ki o da sonradan glutamine, proline ve arjinine dönüşür), ikincisi ise aspartata dönüştürülür (ki o da sonradan asparajin, metiyonin, threonin ve lisine dönüşür). Görülebileceği gibi diğer alfa-ketoasitlerden çok daha merkezi olan bu iki kimyasalın evrimsel süreçte günümüze kadar korunmuş olması çok mantıklıdır.
Diğer alfa-ketoasitlerin çoğunda doymamışlık görülür veya fonksiyonel grupların reaktiviteyi düşürücü etkisi vardır; dolayısıyla evrimsel süreçte bu diğer alfa-ketossitlerin modern Krebs döngüsünde olduğu gibi polikarboksilat analoglarına dönüşmüş olması da çok makuldür. Tüm bunlar, Krebs döngüsünün atasal ve canlılık-öncesi kimyasal yolaklarından birinin nihayet keşfedilmiş olması ihtimalini güçlendirmektedir - ki bu da, canlılığın cansızlıktan evrimini daha net anlama yolunda atılan büyük bir adımdır.
Makale, popüler bilim oluşumlarınca da yaygın bir şekilde işlendi. Örneğin Quanta dergisi, bu çalışmayı "öne çıkan makale" olarak yayınlandı. Stated Clearly YouTube kanalı ise, "Yaşamın Kökeninin Metabolizma-Önce Hipotezi Nedir?" başlıklı bir video hazırladı. Quanta dergisinden baş editör John Rennie şöyle diyor:
Birçok diğer bilim insanı da bu yeni bulguların önemini, araştırmanın orijinalliğini ve araştırmacıların derin kimyasal becerilerini övüyor.
Evrim Ağacı'nda tek bir hedefimiz var: Bilimsel gerçekleri en doğru, tarafsız ve kolay anlaşılır şekilde Türkiye'ye ulaştırmak. Ancak tahmin edebileceğiniz gibi Türkiye'de bilim anlatmak hiç kolay bir iş değil; hele ki bir yandan ekonomik bir hayatta kalma mücadelesi verirken...
O nedenle sizin desteklerinize ihtiyacımız var. Eğer yazılarımızı okuyanların %1'i bize bütçesinin elverdiği kadar destek olmayı seçseydi, bir daha tek bir reklam göstermeden Evrim Ağacı'nın bütün bilim iletişimi faaliyetlerini sürdürebilirdik. Bir düşünün: sadece %1'i...
O %1'i inşa etmemize yardım eder misiniz? Evrim Ağacı Premium üyesi olarak, ekibimizin size ve Türkiye'ye bilimi daha etkili ve profesyonel bir şekilde ulaştırmamızı mümkün kılmış olacaksınız. Ayrıca size olan minnetimizin bir ifadesi olarak, çok sayıda ayrıcalığa erişim sağlayacaksınız.
Makalelerimizin bilimsel gerçekleri doğru bir şekilde yansıtması için en üst düzey çabayı gösteriyoruz. Gözünüze doğru gelmeyen bir şey varsa, mümkünse güvenilir kaynaklarınızla birlikte bize ulaşın!
Bu makalemizle ilgili merak ettiğin bir şey mi var? Buraya tıklayarak sorabilirsin.
Soru & Cevap Platformuna Git- 14
- 10
- 8
- 7
- 5
- 4
- 3
- 0
- 0
- 0
- 0
- 0
- Türev İçerik Kaynağı: Phys.org | Arşiv Bağlantısı
- ^ R. T. Stubbs, et al. (2020). A Plausible Metal-Free Ancestral Analogue Of The Krebs Cycle Composed Entirely Of Α-Ketoacids. Nature Chemistry, sf: 1-7. doi: 10.1038/s41557-020-00560-7. | Arşiv Bağlantısı
Evrim Ağacı'na her ay sadece 1 kahve ısmarlayarak destek olmak ister misiniz?
Şu iki siteden birini kullanarak şimdi destek olabilirsiniz:
kreosus.com/evrimagaci | patreon.com/evrimagaci
Çıktı Bilgisi: Bu sayfa, Evrim Ağacı yazdırma aracı kullanılarak 07/10/2025 22:16:10 tarihinde oluşturulmuştur. Evrim Ağacı'ndaki içeriklerin tamamı, birden fazla editör tarafından, durmaksızın elden geçirilmekte, güncellenmekte ve geliştirilmektedir. Dolayısıyla bu çıktının alındığı tarihten sonra yapılan güncellemeleri görmek ve bu içeriğin en güncel halini okumak için lütfen şu adrese gidiniz: https://evrimagaci.org/s/9456
İçerik Kullanım İzinleri: Evrim Ağacı'ndaki yazılı içerikler orijinallerine hiçbir şekilde dokunulmadığı müddetçe izin alınmaksızın paylaşılabilir, kopyalanabilir, yapıştırılabilir, çoğaltılabilir, basılabilir, dağıtılabilir, yayılabilir, alıntılanabilir. Ancak bu içeriklerin hiçbiri izin alınmaksızın değiştirilemez ve değiştirilmiş halleri Evrim Ağacı'na aitmiş gibi sunulamaz. Benzer şekilde, içeriklerin hiçbiri, söz konusu içeriğin açıkça belirtilmiş yazarlarından ve Evrim Ağacı'ndan başkasına aitmiş gibi sunulamaz. Bu sayfa izin alınmaksızın düzenlenemez, Evrim Ağacı logosu, yazar/editör bilgileri ve içeriğin diğer kısımları izin alınmaksızın değiştirilemez veya kaldırılamaz.