Keşfedin, Öğrenin ve Paylaşın
Evrim Ağacı'nda Aradığın Her Şeye Ulaşabilirsin!
Yeni Soru Sor
Paylaşım Yap
Hatice Kutbay'ın cevabı ödüllü bir soruda en iyi cevap seçildi! Ödüllü cevabı okumak için tıklayın!
Sorulara Dön
Mehmet Kaplan
Üye 6 Eylül 2019
2

Teknik olarak ulaşabileceğimiz en yüksek hız nedir?

Merhaba bilindiği gibi ışık hızını geçmeyi bırakın ulaşamıyoruz bile ancak bu hızın yarısına ya da yüzde onuna ulaşırsak neler olur. Şu ana kadar ulaşabildiğimiz en yüksek hız 265 000 km/s merak ettiğim uygun aerodinamik yapı ve yüksek enerji ile teorik olarak ne kadar hıza çıkabiliriz.
3 Cevap - 6,180 görüntülenme
  • Şikayet Et
  • Mantık Hatası
0
  • Paylaş
  • Alıntıla
  • Alıntıları Göster
Tüm Reklamları Kapat
3 Cevap
Deniz Deniz
Fizik öğrencisi 1 Mart 2024

Merhaba şu ana kadar ulaşabildiğimiz en yüksek hız 265000km/sa demişsiniz. Bu bilginin kaynağını ve ayrıntılarını söyler misiniz? Bir araştırma yapıyorum ve bu hız verisi hakkında kaynaklara ve daha fazla bilgiye ihtiyacım var. Araştırdığım kaynaklarda bu hız verisine ulaşamadım. Bu veriyi hangi kaynaktan elde ettiniz lütfen paylaşınız, iyi günler.

Kaynaklar

  1. Evrim Ağacı. Teknik Olarak Ulaşabileceğimiz En Yüksek Hız Nedir? | Soru & Cevap - Evrim Ağacı. Alındığı Tarih: 1 Mart 2024. Alındığı Yer: Evrim Ağacı | Arşiv Bağlantısı
1
  • Şikayet Et
  • Mantık Hatası
0
  • Paylaş
  • Alıntıla
  • Alıntıları Göster
Nice'z Kok
Nice'z Kok
38.7K UP
Lisans Öğrencisi 6 Eylül 2019

Öncelikle merhabalar,

Bahsetmiş olduğunuz insanoğlunun yapmış olduğu bir aracın eriştiği en yüksek hız olan yaklaşık saatte iki yüz altmış beş bin kilometre,Juno adlı uzay aracı tarafından 2016 yılında yapıldı.Ancak bu hız yukarıda bahsedildiği üzere bir 'araç' tarafından katedildi.NASA’dan alınan bilgiye göre; Juno Dünya etrafında dolanırken(buna kütle çekimi yardımı deniliyor) Dünya’nın Güneş etrafındaki dönmesinden elde ettiği momentumun bir kısmını kullanarak Jupiter’e ulaşabildi. Bunu yapmadan Juno’nun Jüpiter’e varması imkansızdı, çünkü roketler sadece belirli bir yere kadar mesafe almasını sağlıyor.Çekim kuvvetinden faydalanılarak ulaşılan bu hız,insanoğlunun ulaştığı en yüksek hızın yakınından bile geçememektedir.

Işık hızının %99,9999991'ne ulaşmış bulunmaktayız.Bu hız tahmin edildiği üzere malesef bir araç hatta görülebilir boyutta olan bir nesneye bile ait değildir.Ulaşılan bu hız parçacık hızlandırıcıların protonları hızlandırmaları sonucunda elde edilmiştir.Paylaşılan bilgilere göre bu hız her geçen gün arttırılmaya devam ediyor ancak asla ışık hızına ulaşamıyor.Bunun sebebi bir parçacağın hızını teorik sınır olan ışık hızına yükseltmeye çalışırsak bunun için sonsuz enerjiye ihtiyacımızın oluşudur.Bu da pratikte mümkün değildir.Bu küçük parçacıkların bu kadar hızlandırılabilmelerinin birden çok nedeni bulunmaktadır.Öncelikle küçük parçacıkların doğal olarak küçük kütleleri vardır ve fiziğin temel kanunlarına bakılırsa,bir parçacığın kütlesi ne kadar küçükse,hızlandırmak için o kadar az enerji gerekir.Bir diğer nedeni ise parçacık çok küçük olduğundan sürtünecek yüzeyi ve sürtüneceği madde miktarı da küçük olduğundan sürtünmeye kaybedilen enerji de azdır.Bu da hızlandırmak için gereken enerjiyi düşürmekle kalmayıp hızlandırmak için ideal ortamı da oluşturmaktadır.

Tüm Reklamları Kapat

Varsayalım ki teknolojimiz ilerlemiş olsun ve parçacık yerine bir cismi yüksek hızlara eriştirebileceğimiz ideal ortamı sağlayabilelim.Bu durumda bir cismin çıkabileceği maksimum hız ne olurdu ?

Cevap çok da farklı değil.Yeterli enerji ve düşük sürtünme ortamı sağlanırsa bir cisim de ışık hızına oldukça yakın hızlara çıkartılabilir.Yani neredeyse saniyede üç yüz bin kilometre ! Aerodinamik ise cismin ortamda daha kolay akıp gitmesini yani sürtünmenin azaltılmasında kullanılabilir

Kaynaklar

  1. Yazar Yok. Symmetry Dergisi. (6 Eylül 2019). Alındığı Tarih: 6 Eylül 2019. Alındığı Yer: Bağlantı | Arşiv Bağlantısı
  2. Yazar Yok. Forbes Bilim Sitesi. (6 Eylül 2019). Alındığı Tarih: 6 Eylül 2019. Alındığı Yer: Bağlantı | Arşiv Bağlantısı
  3. Yazar Yok. Wikipedia. (6 Eylül 2019). Alındığı Tarih: 6 Eylül 2019. Alındığı Yer: Bağlantı | Arşiv Bağlantısı
  4. Yazar Yok. Fizik Akademisi. (6 Eylül 2019). Alındığı Tarih: 6 Eylül 2019. Alındığı Yer: Bağlantı | Arşiv Bağlantısı
4
  • Şikayet Et
  • Mantık Hatası
0
  • Paylaş
  • Alıntıla
  • Alıntıları Göster
Matej' El
Matej' El
4,477 UP
Cevabı ne yapacaksın bize daha çok soru lazım 7 Eylül 2019

Işık hızı limit olmakla beraber ışık hızının altındaki her değere yüklemeye çalıştığımız enerjiyi arttırarak ulaşabiliriz gibi duruyor.. Bunun sebebi maddelerin ışık hızına yaklaştıkça kütlelerinin giderek artmasıdır..

Işık hızında hareket eden bir maddenin sonsuz kütleye sahip olması gerekeceğinden ve sonsuz kütleyi hareket ettirmek için sonsuz enerji gerekeceğinden ışık hızı limit olarak ön görülmektedir.. Dolayısıyla ışık hızına ne kadar yaklaşabileceğimiz de harcamak istediğimiz enerji ile ışık hızına yaklaşacak ancak asla ulaşamayacaktır.. En azından şimdilik öyle görünüyor..

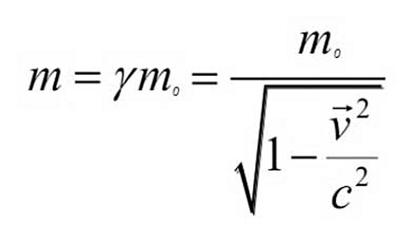
Matematiksel denklemi ise aşağıdaki gibidir;

Tüm Reklamları Kapat

Denkleme baktığımızda hızın yani V‘nin arttıkça, C değerine yaklaştıkça kök içindeki sayının azalmaya başladığını görürüz. Kesirin payı olan M durgun kütleyi temsil ettiği için sabittir fakat kök içindeki payda kısmı azaldığı için eşitliğin diğer tarafındaki M değeri yani göreli kütle cisim hız kazandıkça artar.

Kaynaklar

  1. Yazar Yok. Özel Görelilik. (7 Eylül 2019). Alındığı Tarih: 7 Eylül 2019. Alındığı Yer: Bağlantı | Arşiv Bağlantısı
3
  • Şikayet Et
  • Mantık Hatası
0
  • Paylaş
  • Alıntıla
  • Alıntıları Göster
Daha Fazla Cevap Göster
Cevap Ver
Evrim Ağacı Soru & Cevap Platformu, Türkiye'deki bilimseverler tarafından kolektif ve öz denetime dayalı bir şekilde sürdürülen, özgür bir ortamdır. Evrim Ağacı tarafından yayınlanan makalelerin aksine, bu platforma girilen soru ve cevapların içeriği veya gerçek/doğru olup olmadıkları Evrim Ağacı yönetimi tarafından denetlenmemektedir. Evrim Ağacı, bu platformda yayınlanan cevapları herhangi bir şekilde desteklememekte veya doğruluğunu garanti etmemektedir. Doğru olmadığını düşündüğünüz cevapları, size sunulan denetim araçlarıyla işaretleyebilir, daha doğru olan cevapları kaynaklarıyla girebilir ve oylama araçlarıyla platformun daha güvenilir bir ortama evrimleşmesine katkı sağlayabilirsiniz.
Popüler Yazılar
30 gün
90 gün
1 yıl
Evrim Ağacı'na Destek Ol

Evrim Ağacı'nın %100 okur destekli bir bilim platformu olduğunu biliyor muydunuz? Evrim Ağacı'nın maddi destekçileri arasına katılarak Türkiye'de bilimin yayılmasına güç katın.

Evrim Ağacı'nı Takip Et!
Aklımdan Geçen
Komünite Seç
Aklımdan Geçen
Fark Ettim ki...
Bugün Öğrendim ki...
İşe Yarar İpucu
Bilim Haberleri
Hikaye Fikri
Video Konu Önerisi
Başlık
Bugün Türkiye'de bilime ve bilim okuryazarlığına neler katacaksın?
Gündem
Bağlantı
Ekle
Soru Sor
Stiller
Kurallar
Komünite Kuralları
Bu komünite, aklınızdan geçen düşünceleri Evrim Ağacı ailesiyle paylaşabilmeniz içindir. Yapacağınız paylaşımlar Evrim Ağacı'nın kurallarına tabidir. Ayrıca bu komünitenin ek kurallarına da uymanız gerekmektedir.
1
Bilim kimliğinizi önceleyin.
Evrim Ağacı bir bilim platformudur. Dolayısıyla aklınızdan geçen her şeyden ziyade, bilim veya yaşamla ilgili olabilecek düşüncelerinizle ilgileniyoruz.
2
Propaganda ve baskı amaçlı kullanmayın.
Herkesin aklından her şey geçebilir; fakat bu platformun amacı, insanların belli ideolojiler için propaganda yapmaları veya başkaları üzerinde baskı kurma amacıyla geliştirilmemiştir. Paylaştığınız fikirlerin değer kattığından emin olun.
3
Gerilim yaratmayın.
Gerilim, tersleme, tahrik, taciz, alay, dedikodu, trollük, vurdumduymazlık, duyarsızlık, ırkçılık, bağnazlık, nefret söylemi, azınlıklara saldırı, fanatizm, holiganlık, sloganlar yasaktır.
4
Değer katın; hassas konulardan ve öznel yoruma açık alanlardan uzak durun.
Bu komünitenin amacı okurlara hayatla ilgili keyifli farkındalıklar yaşatabilmektir. Din, politika, spor, aktüel konular gibi anlık tepkilere neden olabilecek konulardaki tespitlerden kaçının. Ayrıca aklınızdan geçenlerin Türkiye’deki bilim komünitesine değer katması beklenmektedir.
5
Cevap hakkı doğurmayın.
Aklınızdan geçenlerin bu platformda bulunmuyor olabilecek kişilere cevap hakkı doğurmadığından emin olun.
Keşfet
Ara
Yakında
Sohbet
Agora

Bize Ulaşın

ve seni takip ediyor
Türkiye'deki bilimseverlerin buluşma noktasına hoşgeldiniz!

Göster

Şifremi unuttum Üyelik Aktivasyonu

Göster

Şifrenizi mi unuttunuz? Lütfen e-posta adresinizi giriniz. E-posta adresinize şifrenizi sıfırlamak için bir bağlantı gönderilecektir.

Geri dön

Eğer aktivasyon kodunu almadıysanız lütfen e-posta adresinizi giriniz. Üyeliğinizi aktive etmek için e-posta adresinize bir bağlantı gönderilecektir.

Geri dön

Close
"Hiç kimse, dünyada yarattığı dalgalanmalar yok olana kadar, kurduğu saat durana kadar, yaptığı şarap mayalanmasını tamamlayana kadar, ektiği ürün hasat edilene kadar nihayet ölmüş sayılmaz. Birinin yaşam süresi, onun gerçek varlığının sadece özünden ibarettir."
Terry Pratchett
Kapak Görseli Seç
Videodan otomatik olarak çıkartılan karelerden birini seçin.
Kareler yükleniyor…
Videoyu kaydırarak istediğiniz kareyi seçin.
0:00 / 0:00
Kendi kapak görselinizi yükleyin. Görsel otomatik olarak kırpılacaktır.
Görseli sürükleyin veya tıklayın PNG, JPG veya WEBP (Maks. 10MB)