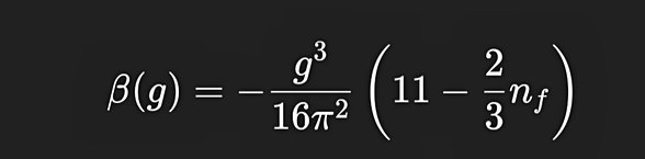
Kuantum kromodinamiğinde (QCD) yeniden normalize grubu denklemleri (RGEs), bağlaşım sabitinin (αs) enerji ölçeğine göre nasıl değiştiğini açıklar. Bu bağımlılık bağlaşım sabitinin enerji ölçeğine (μ) göre değişim hızını tanımlayan β-fonksiyonu ile yönetilir. Yüksek enerjilerde (veya kısa mesafelerde) bağlaşım sabiti zayıflar ve bu kuarkların serbest parçacıklar gibi davranmasına neden olan asimptotik özgürlüğe yol açar. Düşük enerjilerde ise bağlaşım sabiti güçlenir ve bu da kuarkların hadronlar içinde hapsolmasına sebep olur.
QCD için RG denklemleri fiziksel gözlemlerin yeniden normalize etme ölçeğindeki değişikliklere karşı değişmez kalmasını sağlama gerekliliğinden doğar. Yani β-fonksiyonu bağlaşımın ölçeğe bağlılığını tanımlayan pertürbatif katsayıları içerir. Ayrıca bu bağımlılık yüksek enerjilerde QCD hesaplamalarının pertürbatif olmasını ancak düşük enerjilerde güçlü etkileşimin baskın hale gelmesiyle hesaplamaların pertürbatif olmaktan çıkmasını açıklar.[1]
Kaynaklar
- C. A. Dominguez. (2018). Renormalization Group Equation. Quantum Chromodynamics Sum Rules, sf: 13-19. doi: 10.1007/978-3-319-97722-5_3. | Arşiv Bağlantısı
:sharpen(0.5,0.5,true)/qna%2F81a320ce-00b8-4db0-89ba-2909e16fea46.jpeg)
:sharpen(0.5,0.5,true)/qna%2F6bbf6be8-3eb9-4981-be9e-46b557bdb6b8.jpeg)