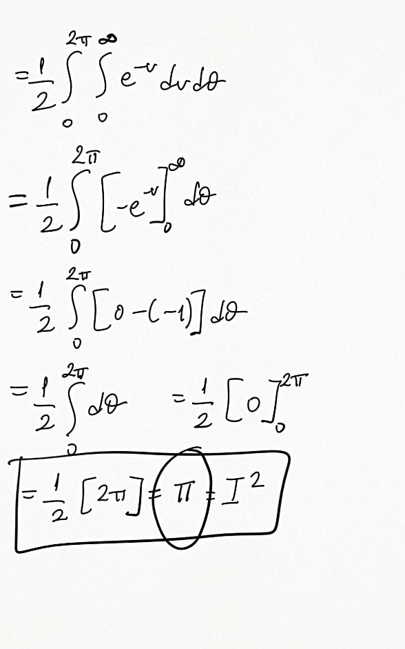
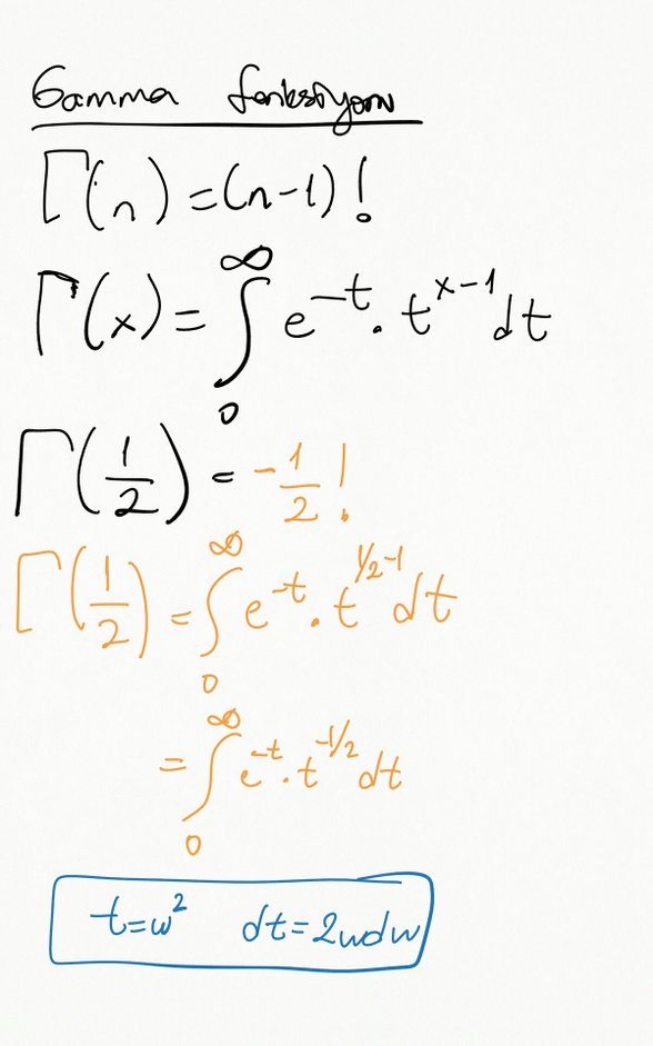
İyi günler, öncelikle Hüseyin Açar'ın güzel ispatından dolayı tebrik ederim. Ben de gama fonksiyonunun yanında beta fonksiyonunu da kullanarak bir ispat bırakmak isterim.
/old/qna_media/b840a81352528eea4278fd2b7902ed07.png)
Ayrıca şunu da belirtelim ki (1/2)! değeri değil (-1/2)! değeri kök pi'ye eşittir. Dolayısıyla sizin de istediğiniz şeyin gama(1/2) olduğunu varsaydım.
Tüm Reklamları Kapat
Kaynaklar
- Yazar Yok. Gama Fonksiyonun Tanımı Ve Bazı Özellikleri. (4 Ağustos 2020). Alındığı Tarih: 4 Ağustos 2020. Alındığı Yer: Bağlantı | Arşiv Bağlantısı
- Yazar Yok. Beta Fonksiyonunun Tanımı Ve Bazı Özellikleri. (4 Ağustos 2020). Alındığı Tarih: 4 Ağustos 2020. Alındığı Yer: Bağlantı | Arşiv Bağlantısı
- Yazar Yok. Bazı Gama Fonsiyon Değerleri. (4 Ağustos 2020). Alındığı Tarih: 4 Ağustos 2020. Alındığı Yer: Bağlantı | Arşiv Bağlantısı
/old/qna_media/e37b97fb246979d018f77ca72bbb1fd3.jpg)
/old/qna_media/5e025a69f0064e5c634a028379256206.jpg)
/old/qna_media/9eda6197dcb74d168b196e225ec708ac.jpg)
/old/qna_media/0699a4b001fc538d7204831b4e623094.jpg)
/old/qna_media/406a9d3441078949c62ea297fd8c1b29.jpg)