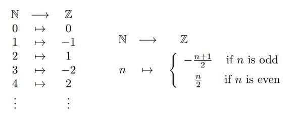
Sonsuz kümelerin denkliğini ilk kez matematikçi Georg Cantor ortaya attı. Buna göre eğer iki sonsuz küme arasında bire bir eşleme yapılabiliyorsa o iki sonsuz küme bir birine denktir. Buna kümelerin kardinalitesi denir. Örneğin doğal sayılar kümesi ile tam sayılar kümesi her ne kadar sezgisel olarak öyle görünmese de denktir. Doğal sayılar ile tam sayıları şu şekilde eşleyebiliriz:
/old/qna_media/Ncreb5h4bVa98oi8B5Wju7JTsHAdoIHs.png)
Bunun dışında (-∞, +∞) reel aralığı ile (0, 1) aralığı da bire bir eşlenebilir. Örneğin 1/(1+e^-x) sigmoid fonksiyonu f:R→(0, 1) şeklinde tanımlı bir fonksiyon. Yani reel eksendeki herhangi bir noktayı alıp 0 ile 1 arasındaki tek bir değere eşliyor.
Aynı şekilde doğal sayılar ile tek doğal sayılar da bire bir eşlenebilir. Bu kümelerin kardinalitesi Aleph 0 olarak sembolize edilir ve en küçük sayılabilir sonsuzluğun büyüklüğünü ifade eder. N pozitif doğal sayılar olmak üzere N → 2N-1 şeklinde bir eşleme yaparsak her bir doğal sayının tek doğal sayılarla eşlenebildiğini görürüz. Aşağıdaki gibi eşlenirler.
1 → 1
2→ 3
3 →5
4→7
5→9
...