Merhaba. Elementlerin kimyasal özelliklerini değiştirmeden bir elementi başka bir elemente dönüştürülemez. Atomları bir elementten diğerine dönüştürebilmek için nükleer reaksiyonlara ihtiyacınız vardır.
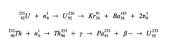
Örneğin Th-232 izotoplu bir atomu Th-233'e çevirip, Th-233 belirli nötron bombardımanlarına tutulup Pa-233'e çevirilebilir veya tam tersine U-235 nötron bombardımanına tutulup U-236 halini alınca kendiliğinden parçalanarak Ba-142 ve Kr-91'e dönüşür.
/old/qna_media/Cu9hM1n3XFbmKTcqHdztwWQYhVHJD4r9.png)
Kısacası, elementlerin temel kimyasal özellikleri, atom numaraları ve elektron dizilimleri ile belirlenir. Bu özellikleri değiştirmeden bir elementi başka bir elemente dönüştürmek mümkün değildir. Ancak, nükleer reaksiyonlarla atım çekirdeklerinin değiştirilmesi sonucu farklı elementlere dönüşüm gerçekleşebilir
[1]
Kaynaklar
- Doç. Dr. Yasemin G. İŞGÖR. Ankara Üniversitesi Açık Ders Malzemeleri. Alındığı Tarih: 9 Kasım 2023. Alındığı Yer: AcikdersAnkaraEduTr | Arşiv Bağlantısı