Canlıların Yaşam Öyküleri Neden Birbirinden Bu Kadar Farklıdır?

- Çeviri
Farklı bitkilerin, hayvanların ve mikropların ömürleri, dakikalardan bin yıllara kadar uzanan bir değişkenlik gösteriyor. Kimi ömrü boyunca yalnızca bir kez, kimi ise birçok kez ürüyor. Peki yaşam öykülerine baktığımızda, neden bu kadar büyük bir çeşitlilik gözlemliyoruz?
Sınırsız sayıda yavrulayabilme yetisine sahip ve sonsuza kadar yaşayabilen bir organizma hayal edelim. Bu hayali organizma Darwin’in Cini olarak bilinir ve hiçbir zaman var olmamıştır (Law 1979). Bunun yerine evrim bize farklı üreme, ömür ve yaşam evreleri kombinasyonlarından oluşan çeşitli yaşam öyküleri sunar. Peki, nasıl oldu da bu çeşitlilik evrimleşti?
Evrimsel Yanıt Olarak Yaşam Öyküsü
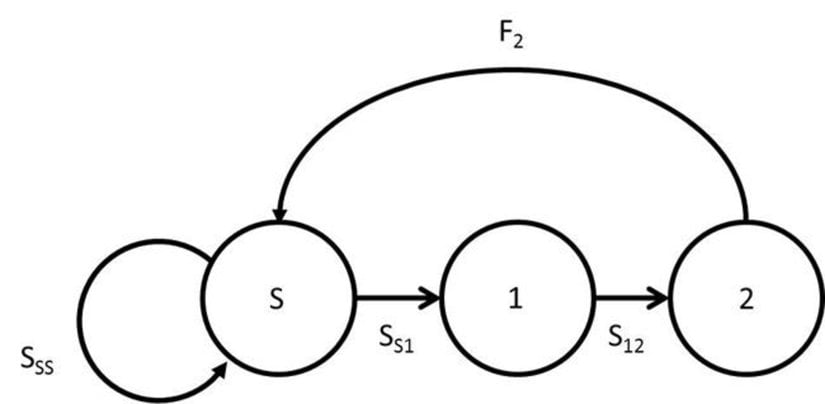
Canlılar için yaşam öyküsü, bir organizmanın doğumundan ölümüne kadar başından geçenleri içeren gelişim evreleri ve demografik olguların benzersiz bir kombinasyonudur. En basit şekilde anlatmaya çalışırsak yaşam öyküleri, her biri kendi ölüm ve geçiş (transition) olasılıklarını ve doğurganlık oranlarını içinde barındıran ana yaşam evrelerinin oluşturduğu diziler şeklinde tanımlanabilir (Görsel 1). Lamont Cole, spesifik yaşam öyküsü stratejilerinin evrimleşmesi konusu üzerine çalışan ilk bilim insanlarından biriydi. Cole, bütün diğer koşulların eşit olduğu düşünüldüğünde, bir yıldan fazla yaşama ve üremenin getirdiği avantajın, yıllık bir yaşam öyküsüne sahip olanların edindiğinden çok fazla olmadığını öne sürmüştü (Cole 1954). Uzun ve kısa ömürlü canlıların birden birçok keze kadar üreyebiliyor çeşitlilikte olduğu gerçeği ise, Cole’un hipotezine ters düşerek Cole Paradoksu adı verilen bir olguyu ortaya çıkarmıştır (Charnov & Schaffer 1973). Yaşam öykülerinin ölümlülük, üreme ve diğer yönleri hem organizmanın özünden gelen içsel faktörler hem de çevreden kaynaklanan dış faktörler nedeniyle popülasyon içerisinde çeşitlilik gösterdiklerinden Cole’ün modeli artık fazla basit bir model olarak görülmektedir. Yani, yaşam öykülerini aslında bu faktörler bütününe verilmiş evrimsel yanıtlar olarak görebiliriz.

İçsel faktörler; genler arasındaki ilişkilerin yanı sıra fizyolojik, davranışsal ve demografik özellikler arasındaki ilişkileri de içerir. Özellikle kaynakların sınırlılığının fiziksel olarak oluşturduğu zorluklarla ortaya çıkan negatif ilişkilerin görülme sıklığı sebebiyle, bu tip ilişkiler sıkça takas (trade-offs) veya bedel (costs) olarak adlandırılır. Takas, bir özelliğin evriminin hem diğer özellikler üzerindeki etkileri hem de bu tip ilişkilerce kısıtlanması demektir. Örneğin bir yetişkin olarak kaynakların çoğunlukla büyümeye ayrılması, o anki üreme başarısına ayrılacak kaynaklardan kısılması anlamına gelebilir. Fakat bu kaynak dağıtımı, aynı zamanda yetişkin ölüm oranını düşürebileceği için yetişkinin gelecekte üreme ihtimalini de arttırabilir.

Takaslar, kaynak dağıtımında sıkça izlenen kalıplar nedeniyle olduğu kadar onlardan sorumlu olan genler arasındaki ilişkiler sebebiyle de karmaşık bir yapı sergiler (de Jong 1993). Örneğin X ve Y özellikleri, geçmişteki bir evrim veya bu özelliklerin ifade edilmesini kontrol eden aynı veya yakın birkaç gen sebebiyle tesadüf eseri beklenenden daha sık bir oranda birlikte görülebilir. Burada, X özelliğinin lehine işleyen doğal seçilim, kaçınılmaz olarak Y özelliğinin de pozitif ama dolaylı bir şekilde seçilmesine neden olur. Bir popülasyondaki bireyler her bir özelliğe ayrılan kaynak dağıtımında sistematik bir çeşitlilikk gösterdiklerinde ve dolayısıyla yaşam öykülerindeki belli özellik değerleri arasında bir korelasyona sebep olduklarında da aynı kalıplar ortaya çıkabilir (Görsel 2). Bazı takaslar ise daha karmaşık yaşam öykülerini kayıran bir yaklaşım sergileyebilir. Örneğin ebeveyn olmaksızın kendi kendine büyüme ile ebeveynli yavru büyütme arasındaki takasın, amfibiler ve böcekler gibi birçok organizmada larva evresinin evrimleşmesini kayırdığı düşünülmektedir. Larvanın beslenme düzeni, aynı türün yetişkin bireylerininkinden tipik olarak farklı olduğu için, larva üretimi ebeveyn ve yavrular arasındaki yiyecek rekabeti olasılığını azaltır.
Çevresel Değişim
Yaşam öyküleri içsel kısıtlamalara olduğu kadar, çevreye, yani dışsal faktörlere de birer yanıt olarak evrimleşir. Çevrenin devamlı değişiyor oluşu doğal seçilime adeta bir “hareketli hedef” verir. Kırmızı Kraliçe hipotezi (The Red Queen hypothesis), çevre koşullarındaki bu devamlı değişim nedeniyle doğal seçilimin zamanla değişme eğiliminin, hiçbir organizmanın kusursuz bir şekilde adapte olamamasına ve tüm türlerin durmaksızın evrimleşmesine sebep olduğunu öne sürer (van Valen 1973). Hipotezin adı ise, Lewis Carroll’ın “Aynanın İçinden” (Through the Looking Glass) isimli kitabında, Alice’e aynı yerde kalmak için koşmasının bütün enerjisini harcadığını söyleyen karaktere bir göndermedir.
Çevre değişikliğinin seviyesi ve örüntüsü, spesifik yaşam öyküsü stratejilerini kayıran bir yaklaşım gösterebilir. Çevre değişkenliği zamana veya mekana özgü olabilirken aynı zamanda deterministik, stokastik (tamamen rastgele) veya öngörülebilir olabilmektedir. Deterministik çevre değişkenliği, çevresel bir faktörün önceki ortalama değerinden kaymasıdır ve genellikle spesifik yaşam öykülerinin evrimiyle sonuçlanmaz. Örneğin günümüzdeki iklim değişikliği, daha ılık bir iklime doğru giden deterministik bir değişimdir ve bu durum muhtemelen türlerin coğrafi dağılımını etkileyecektir. Stokastik çevre değişkenliği ise, çevresel faktörlerin rastgele bir şekilde değişim göstermesi anlamına gelir ve bu faktörlerin ortalama değerleri üzerinde uzun süreli bir etki bırakmaz. Öngörülebilir çevre değişkenliği ise, tipik olarak gün ışığı ve sıcaklığın günlük veya mevsimlik değişimleri gibi döngüsel bir yol izler. Yüksek seviyede çevre değişkenliği, bu değişkenliğe maruz kalan canlılarda stresli durumlara yol açabilir. Şu anda çevremizdeki yaşam öykülerinde gözlediğimiz bu çeşitliliği yaratan da, organizmaların bu tip değişkenliklerle başa çıkmasına veya bunlardan kaçmasına sebep olan adaptasyon çabalarıdır.
Stokastik (Rastgele) Değişim

Stokastik (rastgele) çevre değişkenliği, yaşam süresinde ve üreme stratejilerinde değişimlere yöneltici bir yol izler. Bu tip bir değişkenlik, genellikle doğal seçilimin türün genç (henüz olgunluğa erişmemiş) üyeleri üzerindeki etkileriyle evrimsel bir yanıta sebep olur. Genç üyelerin uyum başarısı, olgun üyelere oranla çok daha kuvvetlidir, bunun sebebi de yaş ve uyum başarısı arasındaki genellikle negatif ilişkidir (Hamilton 1966). Genç üyelerdeki hem yüksek ölüm oranları ve hem de değişken ölüm nedenleri, ötelenmiş üremenin evrimini destekleyici bir yol izler, ancak ötelenmiş üremenin yaşayabilir yavru üretimi ihtimalini artırması kaydıyla. Yaşayabilir yavru üretimi ihtimali, eğer birey daha çok sayıda yavrulama veya daha kaliteli yavrular üretme kabiliyetini edinebilirse artabilir (Görsel 3). Genç üyelerin ölüm oranlarında böyle bir artış, yaşam süresi içinde daha uzun bir üreme sürecine de yol açabilir. Tersine, genç üyelerin ölüm oranlarındaki düşme erken olgunlaşmanın evrimleşmesini destekler. Fakat aşırı uç durumlarda, stokastik çevre değişimi felaketle de sonuçlanabilir. Felaketler türlerin soyunun tükenmesine yol açarak varlıklarını sona erdirebiliyor olsa da, aynı zamanda sert çevre koşullarına dayanabilen yaşam evrelerini ciddi bir seçilime tabi tutarlar.

Stokastik çevre değişimi, geleceğe yatırım özelliklerinin (bet-hedging traits) evrimini destekleyebilir. Bu özellikler uzun vadede uyum başarısını maksimuma çıkarmak için kısa vadede uyum başarısında belirgin bir düşüşe neden olurlar. Uyum başarısı geometrik bir niteliktir, yani nesilden nesile toplanarak değil, katlanarak artar. Geometrik bir özelliğe sahip oluşu, ortalama uyum başarısının rahat dönemlerden çok, zor koşullardan daha fazla etkileniyor olduğunu da gösterir niteliktedir. Bu durum da uyum başarısı değişkenliğinin artması sebebiyle ortalama uyum başarısının nesilden nesile düştüğü anlamına gelir. Geleceğe yatırım özellikleri, uyum başarısındaki değişimi zaman içerisinde dengeleyip istikrarlı hale getirerek zorlu koşulların uyum başarısına tesirini etkisiz hale getirir. Bu özellikler, uyum başarısını uzun vadede dengeleyip istikrarlı hale getirdiklerinden kısa vadede daha iyi uyum başarısı sağlayan tipteki özelliklere tercih edilebilirler. Otsu bitkilerde görülen bitkisel uyku hali, bu tipte bir özellik olabilir. Çünkü bu durum, belli yıllarda üremeyi ve filizlenmeyi durdurmak anlamına geliyor olsa bile, aynı zamanda ölüm oranlarının ciddi seviyelere artmasını engelleyerek gelecekte üreme ihtimalini daha da arttırır (Shefferson 2009; Görsel 4).
Öngörülebilir Çevre Değişimi
Öngörülebilir çevre değişimi, farklı çevre koşulları arasındaki zamana bağlı döngüleri içerir. Bu tip döngüler, bir rutin halinde tekrarlayarak devam eder ve rastgele veya deterministik bir şekilde çok büyük değişimlere uğramaz. Bu tip bir değişim, zamanı belli ve genellikle döngüsel yaşam öyküsü stratejilerinin evrimini destekler. Bunlara örnek olarak, mevsimlik ve gündelik dinlenme evrelerini verebiliriz; mesela memelilerde ve kışın uyku haline giren tohumlarda görülen kış uykusu veya yıllık bitkilerde görülen yaşlanma durumu gibi (Roach 1993). Daha genel olarak baktığımızda ise öngörülebilir değişimin yaşam öyküleri üzerindeki etkileri, ek yaşam evreleri ve potansiyel olarak daha karmaşık yaşam döngüleri ortaya çıkarıyor oluşudur.
Bulunulan coğrafyadaki döngüsel değişim, doğal seçilimin farklı zamanlarda farklı stratejileri desteklemesine sebep olur. Bir genotipin farklı çevre koşullarında farklı fenotipler oluşturması olarak bilinen fenotipik esneklik, bunun en sık görülen sonuçlarından biridir (Schlichting 1986). Fenotipik esneklik, bir özellikteki aşamalı değişimlerin yanı sıra belli zamanlarda görülen çok anlık, büyük ve ayrık değişimleri de içerir. Bu büyük değişimlere örnek olarak şunu verebiliriz: Bitkiler diğerlerinden ayrık bir fenotipik esneklik mekanizmasına göre çiçek açarlar; kırmızı:uzak-kırmızı ışık oranındaki mevsimlik değişimleri algılayarak bu bilgiyi yılın doğru döneminde filizlenmek için kullanırlar. Aşamalı değişime bir örnek olarak, büyüme mevsimi içerisinde, bitki büyümesinin hem mevcut besinleri hem de yağış ve sıcaklıktaki beklenen örüntüleri telafi etmek üzere değişmesi verilebilir.
Evrim Ağacı'nın çalışmalarına Kreosus, Patreon veya YouTube üzerinden maddi destekte bulunarak hem Türkiye'de bilim anlatıcılığının gelişmesine katkı sağlayabilirsiniz, hem de site ve uygulamamızı reklamsız olarak deneyimleyebilirsiniz. Reklamsız deneyim, sitemizin/uygulamamızın çeşitli kısımlarda gösterilen Google reklamlarını ve destek çağrılarını görmediğiniz, %100 reklamsız ve çok daha temiz bir site deneyimi sunmaktadır.
KreosusKreosus'ta her 50₺'lik destek, 1 aylık reklamsız deneyime karşılık geliyor. Bu sayede, tek seferlik destekçilerimiz de, aylık destekçilerimiz de toplam destekleriyle doğru orantılı bir süre boyunca reklamsız deneyim elde edebiliyorlar.
Kreosus destekçilerimizin reklamsız deneyimi, destek olmaya başladıkları anda devreye girmektedir ve ek bir işleme gerek yoktur.
PatreonPatreon destekçilerimiz, destek miktarından bağımsız olarak, Evrim Ağacı'na destek oldukları süre boyunca reklamsız deneyime erişmeyi sürdürebiliyorlar.
Patreon destekçilerimizin Patreon ile ilişkili e-posta hesapları, Evrim Ağacı'ndaki üyelik e-postaları ile birebir aynı olmalıdır. Patreon destekçilerimizin reklamsız deneyiminin devreye girmesi 24 saat alabilmektedir.
YouTubeYouTube destekçilerimizin hepsi otomatik olarak reklamsız deneyime şimdilik erişemiyorlar ve şu anda, YouTube üzerinden her destek seviyesine reklamsız deneyim ayrıcalığını sunamamaktayız. YouTube Destek Sistemi üzerinde sunulan farklı seviyelerin açıklamalarını okuyarak, hangi ayrıcalıklara erişebileceğinizi öğrenebilirsiniz.
Eğer seçtiğiniz seviye reklamsız deneyim ayrıcalığı sunuyorsa, destek olduktan sonra YouTube tarafından gösterilecek olan bağlantıdaki formu doldurarak reklamsız deneyime erişebilirsiniz. YouTube destekçilerimizin reklamsız deneyiminin devreye girmesi, formu doldurduktan sonra 24-72 saat alabilmektedir.
Diğer PlatformlarBu 3 platform haricinde destek olan destekçilerimize ne yazık ki reklamsız deneyim ayrıcalığını sunamamaktayız. Destekleriniz sayesinde sistemlerimizi geliştirmeyi sürdürüyoruz ve umuyoruz bu ayrıcalıkları zamanla genişletebileceğiz.
Giriş yapmayı unutmayın!Reklamsız deneyim için, maddi desteğiniz ile ilişkilendirilmiş olan Evrim Ağacı hesabınıza üye girişi yapmanız gerekmektedir. Giriş yapmadığınız takdirde reklamları görmeye devam edeceksinizdir.
Evrimsel Geçmişin Olasılıksal Etkisi

Evrimsel geçmiş, bazı stratejilerin evrimleşmesini daha çok, bazılarınınkini daha az kayırarak yaşam öykülerinin belli bir şekilde evrimleşmesine sebep olur. Yaşam öyküleri, bazı filogenetik işaretler (phylogenetic signal) ortaya koyarlar, yani yakın akraba olan türler, biyolojik benzerliklerinin fazla olması sebebiyle, daha uzak akrabalara kıyasla daha fazla benzer evrimsel yanıt paylaşırlar. Filogenetik işaretler, fenotipik esnek olanlar da dahil olmak üzere belirli özelliklerin ve bu özellikleri kontrol eden genetik sistemlerin evrimi sonucunda ortaya çıkarlar ve o ata türden türeyen bütün türlere aktarılırlar (Görsel 5). Böyle özelliklerden bazıları, bir grup akraba türde artık sabit özellikler haline gelirken, bazılarında ise aynı oranda olmasa da hala evrimleşmeye devam eder. Bu evrimsel olaylar, evrim üzerinde bazı kısıtlamalar yaratarak daha önce evrimleşmiş özelliklerden aşırı sapmaları olasılık dışı bırakırlar.
Evrim Ağacı'nda tek bir hedefimiz var: Bilimsel gerçekleri en doğru, tarafsız ve kolay anlaşılır şekilde Türkiye'ye ulaştırmak. Ancak tahmin edebileceğiniz gibi Türkiye'de bilim anlatmak hiç kolay bir iş değil; hele ki bir yandan ekonomik bir hayatta kalma mücadelesi verirken...
O nedenle sizin desteklerinize ihtiyacımız var. Eğer yazılarımızı okuyanların %1'i bize bütçesinin elverdiği kadar destek olmayı seçseydi, bir daha tek bir reklam göstermeden Evrim Ağacı'nın bütün bilim iletişimi faaliyetlerini sürdürebilirdik. Bir düşünün: sadece %1'i...
O %1'i inşa etmemize yardım eder misiniz? Evrim Ağacı Premium üyesi olarak, ekibimizin size ve Türkiye'ye bilimi daha etkili ve profesyonel bir şekilde ulaştırmamızı mümkün kılmış olacaksınız. Ayrıca size olan minnetimizin bir ifadesi olarak, çok sayıda ayrıcalığa erişim sağlayacaksınız.
Makalelerimizin bilimsel gerçekleri doğru bir şekilde yansıtması için en üst düzey çabayı gösteriyoruz. Gözünüze doğru gelmeyen bir şey varsa, mümkünse güvenilir kaynaklarınızla birlikte bize ulaşın!
Bu makalemizle ilgili merak ettiğin bir şey mi var? Buraya tıklayarak sorabilirsin.
Soru & Cevap Platformuna Git- 1
- 0
- 0
- 0
- 0
- 0
- 0
- 0
- 0
- 0
- 0
- 0
- Çeviri Kaynağı: Nature | Arşiv Bağlantısı
- E. L. Charnov, et al. (1973). Life-History Consequences Of Natural Selection: Cole's Result Revisited. The American Naturalist, sf: 791–793. | Arşiv Bağlantısı
- L. C. Cole. (1954). The Population Consequences Of Life History Phenomena. Quarterly Review of Biology, sf: 103–137. | Arşiv Bağlantısı
- G. De Jong. (1993). Covariances Between Traits Deriving From Successive Allocations Of A Resource. Functional Ecology, sf: 75–83. | Arşiv Bağlantısı
- W. D. Hamilton. (1966). The Moulding Of Senescence By Natural Selection. Journal of Theoretical Biology, sf: 12–45. | Arşiv Bağlantısı
- R. Law. (1979). Optimal Life Histories Under Age-Specific Predation. The American Naturalist, sf: 399–417. | Arşiv Bağlantısı
- D. A. Roach. (1993). Evolutionary Senescence In Plants. Genetica, sf: 53–64. | Arşiv Bağlantısı
- D.A. Roff. Life History Evolution. (30 Mart 2020). Alındığı Tarih: 30 Mart 2020. Alındığı Yer: Research Gate | Arşiv Bağlantısı
- C. D. Schlichting. (1986). The Evolution Of Phenotypic Plasticity In Plants. Annual Review of Ecology and Systematics, sf: 667–693. | Arşiv Bağlantısı
- R. P. Shefferson. (2009). The Evolutionary Ecology Of Vegetative Dormancy In Mature Herbaceous Perennial Plants. Journal of Ecology, sf: 1000–1009. | Arşiv Bağlantısı
- S. C. Stearns. (1992). The Evolution Of Life Histories. Oxford. Yayınevi: UK: Oxford University Press.
- L. A. Van Valen. (1973). A New Evolutionary Law. Evolutionary Theory, sf: 1–30. | Arşiv Bağlantısı
Evrim Ağacı'na her ay sadece 1 kahve ısmarlayarak destek olmak ister misiniz?
Şu iki siteden birini kullanarak şimdi destek olabilirsiniz:
kreosus.com/evrimagaci | patreon.com/evrimagaci
Çıktı Bilgisi: Bu sayfa, Evrim Ağacı yazdırma aracı kullanılarak 10/10/2025 13:19:37 tarihinde oluşturulmuştur. Evrim Ağacı'ndaki içeriklerin tamamı, birden fazla editör tarafından, durmaksızın elden geçirilmekte, güncellenmekte ve geliştirilmektedir. Dolayısıyla bu çıktının alındığı tarihten sonra yapılan güncellemeleri görmek ve bu içeriğin en güncel halini okumak için lütfen şu adrese gidiniz: https://evrimagaci.org/s/479
İçerik Kullanım İzinleri: Evrim Ağacı'ndaki yazılı içerikler orijinallerine hiçbir şekilde dokunulmadığı müddetçe izin alınmaksızın paylaşılabilir, kopyalanabilir, yapıştırılabilir, çoğaltılabilir, basılabilir, dağıtılabilir, yayılabilir, alıntılanabilir. Ancak bu içeriklerin hiçbiri izin alınmaksızın değiştirilemez ve değiştirilmiş halleri Evrim Ağacı'na aitmiş gibi sunulamaz. Benzer şekilde, içeriklerin hiçbiri, söz konusu içeriğin açıkça belirtilmiş yazarlarından ve Evrim Ağacı'ndan başkasına aitmiş gibi sunulamaz. Bu sayfa izin alınmaksızın düzenlenemez, Evrim Ağacı logosu, yazar/editör bilgileri ve içeriğin diğer kısımları izin alınmaksızın değiştirilemez veya kaldırılamaz.
This work is an exact translation of the article originally published in Nature . Evrim Ağacı is a popular science organization which seeks to increase scientific awareness and knowledge in Turkey, and this translation is a part of those efforts. If you are the author/owner of this article and if you choose it to be taken down, please contact us and we will immediately remove your content. Thank you for your cooperation and understanding.