Keşfedin, Öğrenin ve Paylaşın
Evrim Ağacı'nda Aradığın Her Şeye Ulaşabilirsin!
Paylaşım Yap
1,000 ATP Ödüllü Soru: Son zamanlarda film ve kitaplarda bulunan kötü karakterelere karşı artan ilgi ve hayranlığın sebebi ne olabilir? Hemen cevapla! Okan Alver'in cevabı ödüllü bir soruda en iyi cevap seçildi! Ödüllü cevabı okumak için tıklayın!
Tüm Reklamları Kapat

Navier–Stokes Denklemlerinin Gizemi

Akışkanların Kaotik Dünyasını Anlamaya Çalışmak

2 dakika
10
Navier–Stokes Denklemlerinin Gizemi
  • Blog Yazısı
Blog Yazısı
Tüm Reklamları Kapat

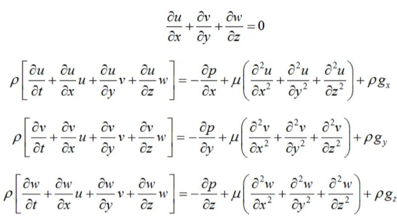
Bir nehirde akan suya, gökyüzünde ilerleyen bulutlara ya da bir uçağın kanadı etrafında oluşan hava akımlarına baktığımızda aslında oldukça karmaşık fiziksel süreçlere tanık oluruz. Bu hareketleri anlamaya çalışan bilim insanları için en önemli araçlardan biri, akışkanların davranışını açıklayan Navier–Stokes equations olmuştur. 19. yüzyılda Claude-Louis Navier ve George Gabriel Stokes tarafından geliştirilen bu yaklaşım, sıvıların ve gazların hız, basınç ve iç sürtünme gibi özelliklerinin zaman içinde nasıl değiştiğini açıklayan akışkanlar mekaniğinin temelini oluşturur. Günümüzde uçak aerodinamiği, roket tasarımı, iklim modelleme ve okyanus akıntılarının incelenmesi gibi birçok alanda kullanılan bu denklemler, aynı zamanda matematiksel açıdan hâlâ tam anlamıyla çözülmüş değildir. Özellikle türbülanslı akışlarda ortaya çıkan düzensiz girdaplar ve kaotik hareketler, bu denklemlerin davranışını oldukça karmaşık hale getirir ve bu durum uzun yıllardır matematikçilerin dikkatini çekmektedir; örneğin Rus matematikçi Olga Ladyzhenskaya, Fransız matematikçi Roger Temam ve modern zamanın en ünlü topologlarından Grigori Perelman, bu denklemlerin çözüm varlığı ve davranışı üzerinde derin çalışmalar yapmış ve konunun teorik temellerini güçlendirmişlerdir. Navier–Stokes denklemlerinin bu kadar zor ve karmaşık olmasının nedeni, günlük hayatımızda gözlemlediğimiz basit akış olaylarının bile altında çok karmaşık etkileşimlerin bulunmasıdır. Yapılan sayısal çalışmalar, yüksek çözünürlüklü simülasyonlarda tek bir türbülans modelinin saniyede milyarlarca hesaplama gerektirebildiğini göstermektedir; örneğin modern hesaplamalı akışkanlar dinamiği simülasyonlarında bir uçak kanadı etrafındaki akışı modellemek için yaklaşık 10⁶ ile 10⁹ arasında hesaplama hücresi kullanılabilmektedir. Bu nedenle konu yalnızca akademik makalelerde değil, popüler bilim yazılarında ve üniversite derslerinde de geniş bir şekilde tartışılmaktadır. Günümüzde bilim insanları bu denklemleri tam olarak çözmek yerine çoğunlukla süper bilgisayarlar ve hesaplamalı akışkanlar dinamiği yöntemleri kullanarak yaklaşık çözümler üretmekte ve akışkanların davranışını simülasyonlar aracılığıyla anlamaya çalışmaktadır; örneğin modern iklim modellerinde atmosfer akışını analiz etmek için milyonlarca grid noktası ve petaflop düzeyinde hesaplama gücü kullanılmaktadır. Bana göre, bu denklemlerin en büyüleyici tarafı, günlük hayatta çok sıradan görünen bir olayın – örneğin bir bardaktaki suyun dökülmesi ya da bir dumanın havada kıvrılması – arkasında hâlâ matematiksel olarak tam çözülememiş bir problemin bulunmasıdır. Bu durum, doğanın karmaşıklığını ve insan zekasının sınırlarını gözler önüne sererken, aynı zamanda bilimsel merakın ne kadar motive edici olabileceğini gösteriyor; bence Navier–Stokes denklemleri, fiziksel dünyayı anlamaya çalışmanın yanı sıra matematiksel yaratıcılığın ve insan hayal gücünün sınırlarını test eden bir tür bilimsel laboratuvar gibi. Basit gibi görünen bir akışın bile altında devasa hesaplamalar, karmaşık etkileşimler ve çözülememiş gizemler olduğunu görmek, bana göre hem heyecan verici hem de insanın merak duygusunu sürekli tetikleyen bir gerçekliktir.


Kaynakça

Tüm Reklamları Kapat

1-Batchelor, G. K. – An Introduction to Fluid Dynamics

2-Landau, L. D. & Lifshitz, E. M. – Fluid Mechanics

3-Anderson, J. D. – Computational Fluid Dynamics: The Basics with Applications

4-Ladyzhenskaya, O. A. – The Mathematical Theory of Viscous Incompressible Flow (Rus matematik ekolü)

Tüm Reklamları Kapat

5-Temam, R. – Navier–Stokes Equations: Theory and Numerical Analysis

6-Taylor & Francis – Journal of Turbulence yayınları

7-Springer – Navier–Stokes Equations and Turbulence derlemeleri

8-Clay Mathematics Institute – Millennium Prize Problems

Evrim Ağacı'ndan Mesaj

Evrim Ağacı'nın çalışmalarına Kreosus, Patreon veya YouTube üzerinden maddi destekte bulunarak hem Türkiye'de bilim anlatıcılığının gelişmesine katkı sağlayabilirsiniz, hem de site ve uygulamamızı reklamsız olarak deneyimleyebilirsiniz. Reklamsız deneyim, sitemizin/uygulamamızın çeşitli kısımlarda gösterilen Google reklamlarını ve destek çağrılarını görmediğiniz, %100 reklamsız ve çok daha temiz bir site deneyimi sunmaktadır.

Kreosus

Kreosus'ta her 50₺'lik destek, 1 aylık reklamsız deneyime karşılık geliyor. Bu sayede, tek seferlik destekçilerimiz de, aylık destekçilerimiz de toplam destekleriyle doğru orantılı bir süre boyunca reklamsız deneyim elde edebiliyorlar.

Kreosus destekçilerimizin reklamsız deneyimi, destek olmaya başladıkları anda devreye girmektedir ve ek bir işleme gerek yoktur.

Patreon

Patreon destekçilerimiz, destek miktarından bağımsız olarak, Evrim Ağacı'na destek oldukları süre boyunca reklamsız deneyime erişmeyi sürdürebiliyorlar.

Patreon destekçilerimizin Patreon ile ilişkili e-posta hesapları, Evrim Ağacı'ndaki üyelik e-postaları ile birebir aynı olmalıdır. Patreon destekçilerimizin reklamsız deneyiminin devreye girmesi 24 saat alabilmektedir.

YouTube

YouTube destekçilerimizin hepsi otomatik olarak reklamsız deneyime şimdilik erişemiyorlar ve şu anda, YouTube üzerinden her destek seviyesine reklamsız deneyim ayrıcalığını sunamamaktayız. YouTube Destek Sistemi üzerinde sunulan farklı seviyelerin açıklamalarını okuyarak, hangi ayrıcalıklara erişebileceğinizi öğrenebilirsiniz.

Eğer seçtiğiniz seviye reklamsız deneyim ayrıcalığı sunuyorsa, destek olduktan sonra YouTube tarafından gösterilecek olan bağlantıdaki formu doldurarak reklamsız deneyime erişebilirsiniz. YouTube destekçilerimizin reklamsız deneyiminin devreye girmesi, formu doldurduktan sonra 24-72 saat alabilmektedir.

Diğer Platformlar

Bu 3 platform haricinde destek olan destekçilerimize ne yazık ki reklamsız deneyim ayrıcalığını sunamamaktayız. Destekleriniz sayesinde sistemlerimizi geliştirmeyi sürdürüyoruz ve umuyoruz bu ayrıcalıkları zamanla genişletebileceğiz.

Giriş yapmayı unutmayın!

Reklamsız deneyim için, maddi desteğiniz ile ilişkilendirilmiş olan Evrim Ağacı hesabınıza yapmanız gerekmektedir. Giriş yapmadığınız takdirde reklamları görmeye devam edeceksinizdir.


Okundu Olarak İşaretle
2
0
  • Paylaş
  • Alıntıla
  • Alıntıları Göster
Paylaş
Sonra Oku
Notlarım
Yazdır / PDF Olarak Kaydet
Raporla
Mantık Hatası Bildir
Yukarı Zıpla
Bu Blog Yazısı Sana Ne Hissettirdi?
  • Muhteşem! 1
  • Tebrikler! 0
  • Bilim Budur! 0
  • Mmm... Çok sapyoseksüel! 0
  • Güldürdü 0
  • İnanılmaz 0
  • Umut Verici! 0
  • Merak Uyandırıcı! 0
  • Üzücü! 0
  • Grrr... *@$# 0
  • İğrenç! 0
  • Korkutucu! 0
Tüm Reklamları Kapat

Evrim Ağacı'na her ay sadece 1 kahve ısmarlayarak destek olmak ister misiniz?

Şu iki siteden birini kullanarak şimdi destek olabilirsiniz:

kreosus.com/evrimagaci | patreon.com/evrimagaci

Çıktı Bilgisi: Bu sayfa, Evrim Ağacı yazdırma aracı kullanılarak 09/04/2026 07:27:15 tarihinde oluşturulmuştur. Evrim Ağacı'ndaki içeriklerin tamamı, birden fazla editör tarafından, durmaksızın elden geçirilmekte, güncellenmekte ve geliştirilmektedir. Dolayısıyla bu çıktının alındığı tarihten sonra yapılan güncellemeleri görmek ve bu içeriğin en güncel halini okumak için lütfen şu adrese gidiniz: https://evrimagaci.org/s/22484

İçerik Kullanım İzinleri: Evrim Ağacı'ndaki yazılı içerikler orijinallerine hiçbir şekilde dokunulmadığı müddetçe izin alınmaksızın paylaşılabilir, kopyalanabilir, yapıştırılabilir, çoğaltılabilir, basılabilir, dağıtılabilir, yayılabilir, alıntılanabilir. Ancak bu içeriklerin hiçbiri izin alınmaksızın değiştirilemez ve değiştirilmiş halleri Evrim Ağacı'na aitmiş gibi sunulamaz. Benzer şekilde, içeriklerin hiçbiri, söz konusu içeriğin açıkça belirtilmiş yazarlarından ve Evrim Ağacı'ndan başkasına aitmiş gibi sunulamaz. Bu sayfa izin alınmaksızın düzenlenemez, Evrim Ağacı logosu, yazar/editör bilgileri ve içeriğin diğer kısımları izin alınmaksızın değiştirilemez veya kaldırılamaz.

Aklımdan Geçen
Komünite Seç
Aklımdan Geçen
Fark Ettim ki...
Bugün Öğrendim ki...
İşe Yarar İpucu
Bilim Haberleri
Hikaye Fikri
Video Konu Önerisi
Başlık
Kafana takılan neler var?
Gündem
Bağlantı
Ekle
Soru Sor
Stiller
Kurallar
Komünite Kuralları
Bu komünite, aklınızdan geçen düşünceleri Evrim Ağacı ailesiyle paylaşabilmeniz içindir. Yapacağınız paylaşımlar Evrim Ağacı'nın kurallarına tabidir. Ayrıca bu komünitenin ek kurallarına da uymanız gerekmektedir.
1
Bilim kimliğinizi önceleyin.
Evrim Ağacı bir bilim platformudur. Dolayısıyla aklınızdan geçen her şeyden ziyade, bilim veya yaşamla ilgili olabilecek düşüncelerinizle ilgileniyoruz.
2
Propaganda ve baskı amaçlı kullanmayın.
Herkesin aklından her şey geçebilir; fakat bu platformun amacı, insanların belli ideolojiler için propaganda yapmaları veya başkaları üzerinde baskı kurma amacıyla geliştirilmemiştir. Paylaştığınız fikirlerin değer kattığından emin olun.
3
Gerilim yaratmayın.
Gerilim, tersleme, tahrik, taciz, alay, dedikodu, trollük, vurdumduymazlık, duyarsızlık, ırkçılık, bağnazlık, nefret söylemi, azınlıklara saldırı, fanatizm, holiganlık, sloganlar yasaktır.
4
Değer katın; hassas konulardan ve öznel yoruma açık alanlardan uzak durun.
Bu komünitenin amacı okurlara hayatla ilgili keyifli farkındalıklar yaşatabilmektir. Din, politika, spor, aktüel konular gibi anlık tepkilere neden olabilecek konulardaki tespitlerden kaçının. Ayrıca aklınızdan geçenlerin Türkiye’deki bilim komünitesine değer katması beklenmektedir.
5
Cevap hakkı doğurmayın.
Aklınızdan geçenlerin bu platformda bulunmuyor olabilecek kişilere cevap hakkı doğurmadığından emin olun.
Size Özel
Makaleler
Daha Fazla İçerik Göster
Popüler Yazılar
30 gün
90 gün
1 yıl
Evrim Ağacı'na Destek Ol

Evrim Ağacı'nın %100 okur destekli bir bilim platformu olduğunu biliyor muydunuz? Evrim Ağacı'nın maddi destekçileri arasına katılarak Türkiye'de bilimin yayılmasına güç katın.

Evrim Ağacı'nı Takip Et!
Geçmiş ve Notlar
Yazı Geçmişi
Okuma Geçmişi
Notlarım
İlerleme Durumunu Güncelle
Okudum
Sonra Oku
Not Ekle
İşaretle
Göz Attım
Site Ayarları

Evrim Ağacı tarafından otomatik olarak takip edilen işlemleri istediğin zaman durdurabilirsin.

[Site ayalarına git...]
Bu Yazıdaki Hareketleri
Daha Fazla göster
Tüm Okuma Geçmişin
Daha Fazla göster
0/10000
Kaydet
Keşfet
Ara
Yakında
Sohbet
Agora

Bize Ulaşın

ve seni takip ediyor
Türkiye'deki bilimseverlerin buluşma noktasına hoşgeldiniz!

Göster

Şifremi unuttum Üyelik Aktivasyonu

Göster

Şifrenizi mi unuttunuz? Lütfen e-posta adresinizi giriniz. E-posta adresinize şifrenizi sıfırlamak için bir bağlantı gönderilecektir.

Geri dön

Eğer aktivasyon kodunu almadıysanız lütfen e-posta adresinizi giriniz. Üyeliğinizi aktive etmek için e-posta adresinize bir bağlantı gönderilecektir.

Geri dön

Close
"Dürüst değilim. Dürüst olmayan birinin dürüst olmayacağına güvenebilirsin. Asıl dürüst olanlara dikkat etmen gerekir. Çünkü ne zaman aptalca bir şey yapacaklarını bilemezsin."
Kaptan Jack Sparrow (Johnny Depp)
Kapak Görseli Seç
Videodan otomatik olarak çıkartılan karelerden birini seçin.
Kareler yükleniyor…
Videoyu kaydırarak istediğiniz kareyi seçin.
0:00 / 0:00
Kendi kapak görselinizi yükleyin. Görsel otomatik olarak kırpılacaktır.
Görseli sürükleyin veya tıklayın PNG, JPG veya WEBP (Maks. 10MB)