Keşfedin, Öğrenin ve Paylaşın
Evrim Ağacı'nda Aradığın Her Şeye Ulaşabilirsin!
Yeni Soru Sor
Paylaşım Yap
10,000 ATP Ödüllü Soru: Geçmişi hatırlamak ve düşünmek insana özgü müdür, diğer canlılarda geçmişi düşünebilir mi? Hemen cevapla! Hatice Kutbay'ın cevabı ödüllü bir soruda en iyi cevap seçildi! Ödüllü cevabı okumak için tıklayın!
Sorulara Dön
Ömer Talha Arısoy
Üye 24 Şubat 2024
5

E²=m²c⁴ + p²c² P=m. v E²=m²c⁴ + m²c⁴ E²= 2 m²c⁴ E=√2 mc² Formülün doğrusunda √2 değerini neden görmeyiz?

2 Cevap - 582 görüntülenme
  • Şikayet Et
  • Mantık Hatası
0
  • Paylaş
  • Alıntıla
  • Alıntıları Göster
Tüm Reklamları Kapat
2 Cevap
Genç Mühendis
Genç Mühendis
355.0K UP
Düşünür 24 Şubat 2024

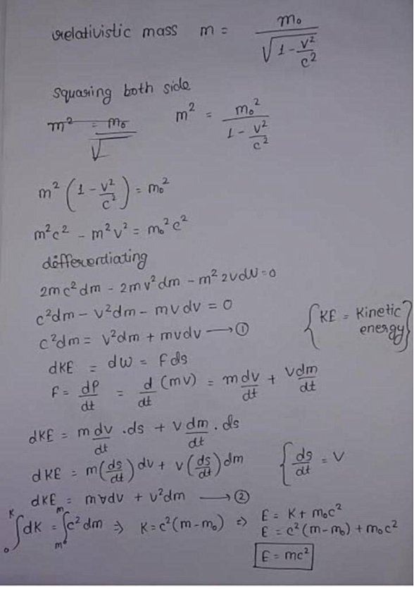
Kurduğunuz denklem hatalıdır. m0 = M*γ = M*1/(1-v^2/c^2) formülü uygulanmalıdır. Bu formül bize hız arttıkça kütlenin artmasını gösterir ve bu duruma göre hesap yapılmaldır. Ardından p=mv direk diyemeyiz. Diferansiyel denklemler ile çözülmeli. Çözümü aşağıya kağıta çözülmüş şekilde atıyorum.

https://brainly.in/question/22704877

Kaynaklar

  1. Bilinmiyor. How-Does-E-Mc2-Explain. Alındığı Tarih: 24 Şubat 2024. Alındığı Yer: quora | Arşiv Bağlantısı
Bu cevap, soru sahibi tarafından en iyi cevap seçilmiştir. Ancak bu, cevabın doğru olduğunu garanti etmez.
6
  • Şikayet Et
  • Mantık Hatası
0
  • Paylaş
  • Alıntıla
  • Alıntıları Göster
İlhan Taşlı
Fizik İle İlgilenen 25 Şubat 2024

Öncelikle bu uzun formülün amacına bakalım. E=mc2 durağan kütleli cisimlerin hareketsiz halde sahip oldukları enerjinin değerini verir, uzun hali ise cismin hareketinden kaynaklanan enerjiyi de hesaplayarak toplama ekler. Bu durumda kütlesi olan bir cismin hareketinin niceliği yani momentumu p=m.v formülü ile hesaplandığından v hızı asla c yani ışık hızına eşit olmaz (kütleli cisimler asla ışık hızına ulaşamaz). Formülün uzun halinde + değerin sol tarafı ile sağ tarafı birbirleri ile matematiksel sadeleştirmeye tabi tutamazsınız.

Enerjisini hesaplamaya çalıştığımız kütlesi olmayan bir parçacık ise formül sadece E=pc olur çünkü E=mc2 formülünde m durağan kütleyi temsil eder ve bu kısım sıfıra eşittir. E=pc. formülünde "p=mc ise çarpanlarından biri kütle nasıl olur?" derseniz. Buraya dikkat bu kütle durağan değil, parçacığın hareketinden kaynaklı göreli kütledir.[1]

Tüm Reklamları Kapat

Kaynaklar

  1. E. Özmeral. Durağan Kütle Ve Göreli Kütle: Özel Görelilikte Kütle Kavramı Nasıl Tanımlanır?. (10 Ocak 2021). Alındığı Tarih: 25 Şubat 2024. Alındığı Yer: Evrim Ağacı doi: 10.47023/ea.bilim.9393. | Arşiv Bağlantısı
4
  • Şikayet Et
  • Mantık Hatası
0
  • Paylaş
  • Alıntıla
  • Alıntıları Göster
Daha Fazla Cevap Göster
Cevap Ver
Evrim Ağacı Soru & Cevap Platformu, Türkiye'deki bilimseverler tarafından kolektif ve öz denetime dayalı bir şekilde sürdürülen, özgür bir ortamdır. Evrim Ağacı tarafından yayınlanan makalelerin aksine, bu platforma girilen soru ve cevapların içeriği veya gerçek/doğru olup olmadıkları Evrim Ağacı yönetimi tarafından denetlenmemektedir. Evrim Ağacı, bu platformda yayınlanan cevapları herhangi bir şekilde desteklememekte veya doğruluğunu garanti etmemektedir. Doğru olmadığını düşündüğünüz cevapları, size sunulan denetim araçlarıyla işaretleyebilir, daha doğru olan cevapları kaynaklarıyla girebilir ve oylama araçlarıyla platformun daha güvenilir bir ortama evrimleşmesine katkı sağlayabilirsiniz.
Popüler Yazılar
30 gün
90 gün
1 yıl
Evrim Ağacı'na Destek Ol

Evrim Ağacı'nın %100 okur destekli bir bilim platformu olduğunu biliyor muydunuz? Evrim Ağacı'nın maddi destekçileri arasına katılarak Türkiye'de bilimin yayılmasına güç katın.

Evrim Ağacı'nı Takip Et!
Aklımdan Geçen
Komünite Seç
Aklımdan Geçen
Fark Ettim ki...
Bugün Öğrendim ki...
İşe Yarar İpucu
Bilim Haberleri
Hikaye Fikri
Video Konu Önerisi
Başlık
Bugün bilimseverlerle ne paylaşmak istersin?
Gündem
Bağlantı
Ekle
Soru Sor
Stiller
Kurallar
Komünite Kuralları
Bu komünite, aklınızdan geçen düşünceleri Evrim Ağacı ailesiyle paylaşabilmeniz içindir. Yapacağınız paylaşımlar Evrim Ağacı'nın kurallarına tabidir. Ayrıca bu komünitenin ek kurallarına da uymanız gerekmektedir.
1
Bilim kimliğinizi önceleyin.
Evrim Ağacı bir bilim platformudur. Dolayısıyla aklınızdan geçen her şeyden ziyade, bilim veya yaşamla ilgili olabilecek düşüncelerinizle ilgileniyoruz.
2
Propaganda ve baskı amaçlı kullanmayın.
Herkesin aklından her şey geçebilir; fakat bu platformun amacı, insanların belli ideolojiler için propaganda yapmaları veya başkaları üzerinde baskı kurma amacıyla geliştirilmemiştir. Paylaştığınız fikirlerin değer kattığından emin olun.
3
Gerilim yaratmayın.
Gerilim, tersleme, tahrik, taciz, alay, dedikodu, trollük, vurdumduymazlık, duyarsızlık, ırkçılık, bağnazlık, nefret söylemi, azınlıklara saldırı, fanatizm, holiganlık, sloganlar yasaktır.
4
Değer katın; hassas konulardan ve öznel yoruma açık alanlardan uzak durun.
Bu komünitenin amacı okurlara hayatla ilgili keyifli farkındalıklar yaşatabilmektir. Din, politika, spor, aktüel konular gibi anlık tepkilere neden olabilecek konulardaki tespitlerden kaçının. Ayrıca aklınızdan geçenlerin Türkiye’deki bilim komünitesine değer katması beklenmektedir.
5
Cevap hakkı doğurmayın.
Aklınızdan geçenlerin bu platformda bulunmuyor olabilecek kişilere cevap hakkı doğurmadığından emin olun.
Keşfet
Ara
Yakında
Sohbet
Agora

Bize Ulaşın

ve seni takip ediyor
Türkiye'deki bilimseverlerin buluşma noktasına hoşgeldiniz!

Göster

Şifremi unuttum Üyelik Aktivasyonu

Göster

Şifrenizi mi unuttunuz? Lütfen e-posta adresinizi giriniz. E-posta adresinize şifrenizi sıfırlamak için bir bağlantı gönderilecektir.

Geri dön

Eğer aktivasyon kodunu almadıysanız lütfen e-posta adresinizi giriniz. Üyeliğinizi aktive etmek için e-posta adresinize bir bağlantı gönderilecektir.

Geri dön

Close
"Çocuklarımızın eğitim hayatlarının ilk yıllarını konuşmayı ve yürümeyi öğretmekle geçiriyoruz. Geri kalanını ise çenelerini kapatmak ve oturmalarını sağlamakla… Bu işte bir terslik var."
Neil deGrasse Tyson
Kapak Görseli Seç
Videodan otomatik olarak çıkartılan karelerden birini seçin.
Kareler yükleniyor…
Videoyu kaydırarak istediğiniz kareyi seçin.
0:00 / 0:00
Kendi kapak görselinizi yükleyin. Görsel otomatik olarak kırpılacaktır.
Görseli sürükleyin veya tıklayın PNG, JPG veya WEBP (Maks. 10MB)