Göreli ifadesi açıkça, birbirine göre değişim gösteren, başkaları için farklı yorumlanabilen anlamına gelir. Fakat fizik yasaları kişiden kişiye göre değişim göstermez. Herkes aynı fizik yasasını, farklı şekillerde yorumlayabilir. Fakat buradaki olay, gerçekten birbirine göre göreli bir durum olduğudur. Bu durum, aslında fiziğin en temel noktasından başlar: Referans sistemleri ya da başka bir deyişle, koordinat sistemleri.
Bir hareket tarif edileceği zaman, hareketin tarif edileceği bir nesne ve bu hareketi gözleyen bir gözlemci vardır. Örneğin; siz dışarıda sabit bir şekilde durmaktasınız ve size bir araba 50 km/sa hızla doğrudan yaklaşıyor. Arkanızdan size doğru gelen 40 km/sa hıza sahip bir araç daha var. Siz, önünüzdeki arabanın, size 50 km/sa hızla yaklaştığını görüyorsunuz, fakat arkanızdaki araç, iki aracın hızının toplamını 90 km/sa olarak görecektir. Bu hareketlerin tümü, hareketliler ve gözlemciler için referans sistemleri oluşturularak ifade edilir.
Galileo Görelilik İlkesi
Einstein'ın özel göreliliğini anlayabilmek için öncelikle, algılarımızın temelini oluşturan Galileo görelilik ilkelerini ve dönüşümlerini anlamamız gerekiyor.Referans sistemlerinin, tanımlamalar yapmak için gerekli olduğunu anladıktan sonra; eylemsiz referans sistemleri adı altında bir tanımlama yapmamız gerekiyor. Eylemsiz referans sistemleri, Newton'un birinci yasasının geçerli olduğu sistemlerdir. Yani, cisim üzerine etki eden hiçbir kuvvet yoktur, dolayısıyla
/old/content_media/b0779f78a849fdb0c0f600b4901f3a82.png)
Başta da belirttiğimiz gibi, bütün mekanik yasaları, tüm eylemsiz referans sistemlerinde geçerli olmalıdır. Asla, birbirlerine göre bir değişim yoktur.
/old/content_media/4f2c659fe33fbdfda79bc28f6ff1d9b4.png)
İki gözlemci her ne kadar farklı şeyleri görseler ve gördüklerinde fikir birliğine varamasalar da; enerjinin korunumu, momentumun korunumu ve Newton yasaları gibi ilkelerin geçerli olduğu konusunda fikir birliğine varacaklardır. Bu iki farklı durumun, hiçbir mekanik yasasıyla ifade edilemiyor oluşu, ortada göreli bir durum olduğunu gösterir. Spesifik bir referans sistemi yoktur ve mutlak hareket kavramını düşünmek anlamsızdır. Fizik, yerel olarak incelendiğinde basittir.
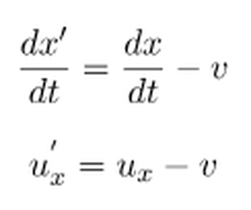
Olayın matematiğine girmeden önce, bazı okuyucularımızı sıkmamak adına, bu durumun sonuçları üzerine yorumları açıklamak istiyorum. Tüm bu bahsettiklerimiz, özel göreliliğin başlangıç noktasıdır ve referans sistemlerinin, çok basit bir yaklaşımla, göreliliği nasıl doğurduğunu gösterir. Aslında gözler önünde olup da fark edemediğimiz şey, basit bir şekilde hızların toplanmadığıdır. Örneğin, 300 km/sa hızla giden bir uçaktan 200 km/sa hızla aynı yönde fırlatılan bir kapsül, 500 km/sa hızla gitmemektedir! Standart olarak hayatımızda kullandığımız bu basit işlem, aslında doğru bir hesaplama değildir. Fakat, hızlar ışık hızına kıyasla o kadar küçüktür ki, bu yüzden bu değer 500 km/sa değerine oldukça yakındır. Aslında gerçek değeri 499.9999999753274 km/saattir. Fakat biz bu küçücük farkı hissetmeyiz.
Özetle, hızlar doğrudan toplanmaz. Her ne kadar garip gelse de, bu ifade daha farklı bir formülle ifade edilir ve hızlar ışık hızına yaklaştığında, toplam hiçbir zaman ışık hızını aşmayacak şekilde çıkar. Dolayısıyla, ışık hızına yakın bir hızda giderken, ışık hızına yakın bir hızla aynı yönde çıkan herhangi bir şey, sadece ışık hızına daha yakın bir hızla hareket eder. Asla ışık hızını geçmez.
Galileo Dönüşüm Eşitlikleri
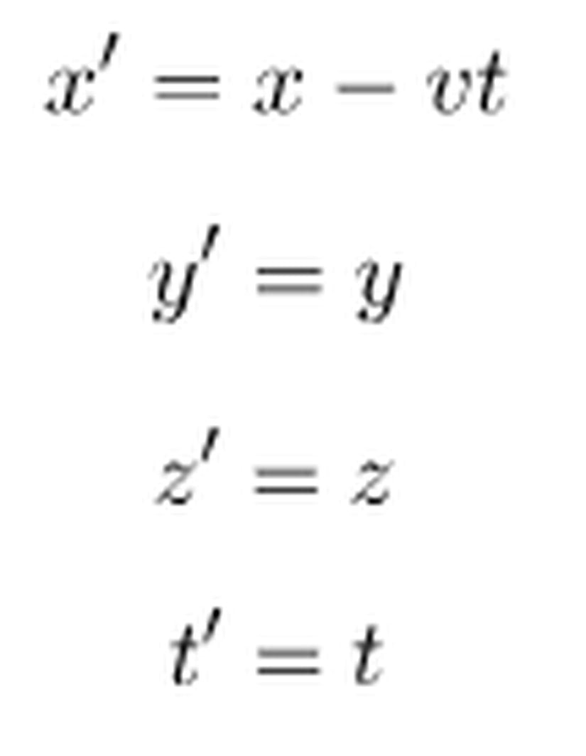
R ve R' adını verdiğimiz iki adet eylemsiz referans sistemi tanımlayalım. R' sistemi, R sistemine göre xx' ekseni boyunca sabit bir v hızıyla hareket ediyor olsun. Burada, tanımlama kolaylığı açısından, bir noktada gerçekleşen eylemi olay olarak adlandıracağız. Diyelim ki, bir olay gerçekleşti. Bu olayın yerini ve zamanını R referans sistemi için (x,y,z,t) ile ifade edebiliriz. Benzeri şekilde, R' sistemi için de aynı olayın yeri ve zamanı (x',y',z',t') olsun. Eğer t=0 anında, iki referans sisteminin orijinlerini aynı kabul edersek, bu iki referans sistemi arasındaki dönüşüm bağıntıları aşağıdaki gibi olacaktır./old/content_media/4e34f4a07d76332fc376c955fa10ee84.png)
/old/content_media/0acc8b3a4612869e81e34daee79f59cf.png)
Hazırlayan:Ögetay Kayalı
Referanslar
1. Serway - Beichner, Fizik Cilt 3 (Modern Fizik), Syf. 1249
2. Albert Einstein, ""Über einen die Erzeugung und Verwandlung des Lichtes betreffenden heuristischen Gesichtspunkt"<http://www.physik.uni-augsburg.de/annalen/history/einstein-papers/1905_17_132-148.pdf>
3.<http://scienceworld.wolfram.com/physics/SpecialRelativity.html>
Bu yazı ilk olarak 1 Eylül 2016 tarihinde yayınlanmıştır.
- 0
- 0
- 0
- 0
- 0
- 0
- 0
- 0
- 0
- 0
- 0
- 0
Evrim Ağacı'na her ay sadece 1 kahve ısmarlayarak destek olmak ister misiniz?
Şu iki siteden birini kullanarak şimdi destek olabilirsiniz:
kreosus.com/evrimagaci | patreon.com/evrimagaci
Çıktı Bilgisi: Bu sayfa, Evrim Ağacı yazdırma aracı kullanılarak 21/04/2026 21:06:15 tarihinde oluşturulmuştur. Evrim Ağacı'ndaki içeriklerin tamamı, birden fazla editör tarafından, durmaksızın elden geçirilmekte, güncellenmekte ve geliştirilmektedir. Dolayısıyla bu çıktının alındığı tarihten sonra yapılan güncellemeleri görmek ve bu içeriğin en güncel halini okumak için lütfen şu adrese gidiniz: https://evrimagaci.org/s/12703
İçerik Kullanım İzinleri: Evrim Ağacı'ndaki yazılı içerikler orijinallerine hiçbir şekilde dokunulmadığı müddetçe izin alınmaksızın paylaşılabilir, kopyalanabilir, yapıştırılabilir, çoğaltılabilir, basılabilir, dağıtılabilir, yayılabilir, alıntılanabilir. Ancak bu içeriklerin hiçbiri izin alınmaksızın değiştirilemez ve değiştirilmiş halleri Evrim Ağacı'na aitmiş gibi sunulamaz. Benzer şekilde, içeriklerin hiçbiri, söz konusu içeriğin açıkça belirtilmiş yazarlarından ve Evrim Ağacı'ndan başkasına aitmiş gibi sunulamaz. Bu sayfa izin alınmaksızın düzenlenemez, Evrim Ağacı logosu, yazar/editör bilgileri ve içeriğin diğer kısımları izin alınmaksızın değiştirilemez veya kaldırılamaz.