Nötron yıldızı, büyük kütleli yıldızların yakacak daha fazla yakıtının kalmadığı evreye gelip süpernova patlaması gerçekleştirmesi sonucunda geriye kalan yıldız artığıdır. Kütlesi 10 ile 29 Güneş kütlesi arasındaki yıldızların çekirdeklerinin çökmesi sonucunda ortaya çıkarlar.
Nötron yıldızları, evrende bilinen ve gözlemlenebilmiş en yoğun yıldızlardır. Yoğunluklarının çok fazla olması sebebiyle aşırı sıkışıktırlar (kompakttırlar), bu nedenle boyutları da oldukça küçüktür. Tipik bir nötron yıldızının boyutu 10 kilometreler ile ifade edilirken kütleleri ise 1.4 ile 2.16 Güneş kütlesi arasındadır.
Nötron Yıldızı Nedir?
Nötron yıldızı, kütlesi 10 ila 29 Güneş kütlesi arasındaki yıldızların ömürlerinin sonlarına gelip süpernova patlaması gerçekleştirmesi sonucunda geriye bıraktıkları çok yoğun ve neredeyse tamamen nötrondan oluşan gök cismidir.
Nötron yıldızı, standart yıldızlardan farklı olarak enerji üretmez ve zaman içerisinde soğur (sahip olduğu sıcaklık sebebiyle yaptığı ışıma yoluyla enerjisini kaybeder). Dolayısıyla normal koşullar altında evrim geçirmeleri beklenmese de çevrelerinde madde yer alması durumunda toplanma diski yardımıyla kütle aktarımı gerçekleşirse evrim geçirebilirler. Bu duruma genellikle ikili veya çoklu sistemlerde rastlanır.
Büyük kütleli yıldız erken evrim geçirerek süpernova patlaması geçirir ve geriye bir nötron yıldızı bırakır fakat buna eşlik eden yıldız henüz evrimini tamamlamamıştır. Nötron yıldızı oldukça sıkışık bir cisim olduğundan eşlik eden yıldızdan nötron yıldızına madde aktarımı gerçekleşebilir. Bu madde aktarımı süpernova patlaması öncesinde başlamış olabileceği gibi çeşitli nedenlerden ötürü sonrasında da başlamış olabilir.
Yapılan çoğu modelleme, nötron yıldızlarının neredeyse tamamen nötrondan oluştuğunu öngörmektedir. Süpernova patlaması sırasında sıkışan çekirdek, atomdaki elektron ve protonu birbirleriyle birleşmeye zorlayarak nötron ortaya çıkarır. Elektronla proton arasında yer alan devasa boşluğun ortadan kalkması, nötron yıldızını bu kadar sıkışık bir cisim haline getirmektedir. Elbette ki bu durum, nötronların izin verdiği mertebede olur ve belirli bir kütle limitinin üstünde nötron yıldızına rastlanmaz. Daha teknik bir ifadeyle nötron yıldızları, dejenere nötron basıncının sağladığı hidrostatik denge sayesinde var olmaktadır.
Nötron Yıldızı Oluşumu
Nötron yıldızı nedir sorusunu anlamak için oluşumlarını, yani nasıl ortaya çıktıklarını anlamak gerekir. Bir nötron yıldızı oluşabilmesi için yıldızın kütlesinin, anakol evresinde 8 Güneş kütlesinden fazla olması gerekmektedir. Böylesi bir yıldız, merkezinde demire kadar olan elementleri yakabilir ve demirce zengin bir çekirdek oluşturur. Merkezde çekirdeğin aşırı birikmesiyle nükleer reaksiyonlar giderek azalır. Bu da basınçta bir düşüşe neden olur; artık yıldızı ayakta tutan şey, dejenere basınçtır.
Fakat bu esnada kabukta nükleer yanma reaksiyonları devam etmektedir. Eğer bu yanma reaksiyonları yıldız çekirdeğinin Chandrasekhar limitini aşmasına neden olursa (yeterli kütle varsa olur), çekirdek daha da çökmeye devam eder (dejenere-elektron basıncı yenik düşer). Çekirdeğin daha da sıkışmasıyla merkezdeki sıcaklık 5 milyar derecelere kadar çıkar. Bu sıcaklıklarda üretilen gama ışınları, fotoparçalanma yoluyla çekirdekteki demiri alfa parçacıklarına ayrıştırır.
Sıcaklığın yükselmesini takiben, elektron yakalanması yoluyla elektron ve proton birleşerek nötrondan bir çekirdek oluşturmaya başlar. Bu reaksiyon sırasında ortama ciddi manada nötrino salınımı gerçekleşir. Öyle ki bu nötrino salınımı, yıldızın dış katmanlarını uzaya doğru salarak süpernova oluşturur. Geriye kalan madde dejenere nötron basıncı tarafından tutularak geriye bir nötron yıldızı kalmasına neden olacaktır. Eğer yıldızın kütlesi daha fazlaysa dejenere nötron basıncı da yenik düşerek karadelik oluşumuna neden olur. Bu durum, süpernova sonrası oluşan kalıntı yaklaşık 3 Güneş kütlesinden fazlaysa gerçekleşir.
Pulsar (Atarca)
Pulsar, aslında adından da anlaşıldığı üzere, belirli zaman aralıklarında ışık atımları yapan son derece yüksek manyetik alana sahip nötron yıldızlarıdır.
Her pulsar bir nötron yıldızıdır fakat her nötron yıldızı bir pulsar değildir. Yani pulsarlar, nötron yıldızlarının özel bir alt kümesidir.
Evrim Ağacı'nın çalışmalarına Kreosus, Patreon veya YouTube üzerinden maddi destekte bulunarak hem Türkiye'de bilim anlatıcılığının gelişmesine katkı sağlayabilirsiniz, hem de site ve uygulamamızı reklamsız olarak deneyimleyebilirsiniz. Reklamsız deneyim, sitemizin/uygulamamızın çeşitli kısımlarda gösterilen Google reklamlarını ve destek çağrılarını görmediğiniz, %100 reklamsız ve çok daha temiz bir site deneyimi sunmaktadır.
KreosusKreosus'ta her 50₺'lik destek, 1 aylık reklamsız deneyime karşılık geliyor. Bu sayede, tek seferlik destekçilerimiz de, aylık destekçilerimiz de toplam destekleriyle doğru orantılı bir süre boyunca reklamsız deneyim elde edebiliyorlar.
Kreosus destekçilerimizin reklamsız deneyimi, destek olmaya başladıkları anda devreye girmektedir ve ek bir işleme gerek yoktur.
PatreonPatreon destekçilerimiz, destek miktarından bağımsız olarak, Evrim Ağacı'na destek oldukları süre boyunca reklamsız deneyime erişmeyi sürdürebiliyorlar.
Patreon destekçilerimizin Patreon ile ilişkili e-posta hesapları, Evrim Ağacı'ndaki üyelik e-postaları ile birebir aynı olmalıdır. Patreon destekçilerimizin reklamsız deneyiminin devreye girmesi 24 saat alabilmektedir.
YouTubeYouTube destekçilerimizin hepsi otomatik olarak reklamsız deneyime şimdilik erişemiyorlar ve şu anda, YouTube üzerinden her destek seviyesine reklamsız deneyim ayrıcalığını sunamamaktayız. YouTube Destek Sistemi üzerinde sunulan farklı seviyelerin açıklamalarını okuyarak, hangi ayrıcalıklara erişebileceğinizi öğrenebilirsiniz.
Eğer seçtiğiniz seviye reklamsız deneyim ayrıcalığı sunuyorsa, destek olduktan sonra YouTube tarafından gösterilecek olan bağlantıdaki formu doldurarak reklamsız deneyime erişebilirsiniz. YouTube destekçilerimizin reklamsız deneyiminin devreye girmesi, formu doldurduktan sonra 24-72 saat alabilmektedir.
Diğer PlatformlarBu 3 platform haricinde destek olan destekçilerimize ne yazık ki reklamsız deneyim ayrıcalığını sunamamaktayız. Destekleriniz sayesinde sistemlerimizi geliştirmeyi sürdürüyoruz ve umuyoruz bu ayrıcalıkları zamanla genişletebileceğiz.
Giriş yapmayı unutmayın!Reklamsız deneyim için, maddi desteğiniz ile ilişkilendirilmiş olan Evrim Ağacı hesabınıza üye girişi yapmanız gerekmektedir. Giriş yapmadığınız takdirde reklamları görmeye devam edeceksinizdir.
Nötron yıldızlarından, radyo dalgaları dahil olmak üzere çeşitli elektromanyetik dalgalar (ışık) saçtığını gözlemlediklerimize pulsar diyoruz. Bu ışık, manyetik eksenden çıktığından ve nötron yıldızının dönüş ekseni ile manyetik ekseni arasında bir açı olduğundan nötron yıldızı kendi ekseni etrafında döndükçe manyetik kutuplardan çıkan ışıma uzayı bir deniz feneri gibi tarar. Eğer biz bu taramanın doğrultusunda yer alan bir gözlemciysek bu atımı periyodik olarak yanıp sönen bir ışık olarak gözlemleriz. Buradan da neden her nötron yıldızının birer pulsar olamayacağı anlaşılmaktadır. Çünkü bu durum, çıkan ışık hüzmesinin doğrultusuna denk gelebilmemize bağlıdır.
/old/content_media/c863419cf0973329e8352d165de94688.png)
Nötron yıldızları kendi eksenleri etrafında öylesine hızlı dönebilmektedir ki bu atımların süresi saniyenin 700'de 1'ine kadar düşmektedir (Bir saniyede kendi ekseni etrafında 700 tur atmaktadır). Gözlenebilmiş en hızlı pulsar PSR J1748-2446ad isimli pulsardır ve saniyede 716 tur atmaktadır (716 Hz).
Çok Hassas Saatler Olarak Pulsarlar
Bu atımlar son derece periyodiktir ve kısa zaman aralığı içerisinde bir değişim göstermezler. Yani bugün frekansı 100 Hz olarak ölçülen bir pulsar, 1 yıl sonra yine 100 Hz olarak ölçülecektir. Üstelik yapılan teorik hesaplamalar sayesinde, pulsarın ne kadar süre içerisinde ne kadar yavaşlayacağının hesabı yapılabilmektedir. Böylelikle frekansındaki değişim öngörülüp gözlemler ile kıyaslanabilir. Bu denli hassas olmaları sayesinde, atomik saatlere rakip olabilmektedirler. Çünkü her bir atım arası geçen zaman, bizim gözlem aralığımız boyunca neredeyse hep eşittir.
Bazı Özel Pulsarlar
Pulsarlara dair çeşitli "ilk"ler mevcuttur. Bu ilkler şu şekilde sıralanabilir:
- Gözlenen ilk radyo pulsar "CP 1919" (ya da PSR B1919+21), periyodu 1.337 saniye atım süresi 0.04 saniye.
- Gözlenen ilk çift pulsar sistemi PSR1913+16, yörüngesi yaydıkları gravitasyonel dalgalar sebebiyle daralmaktadır.
- Gözlenen ilk milisaniye pulsarı PSR B1937+21.
- Gözlenen en parlak milisaniye pulsarı PSR J0437-4715.
- Gözlenen ilk X-ışını pulsarı, Cen X-3.
- Gözlenen ilk toplanma diskine sahip milisaniye X-ışını pulsarı SAX J1808.4-3658.
- Gezegene sahip gözlenen ilk pulsar PSR B1257+12.
- Gözlenen ilk ikili pulsar sistemi PSR j0737-3039.
- Gözlenen en kısa periyoda sahip (en yüksek frekansa sahip) pulsar, 1.4 milisaniye ile (saniyede 716 tur ile) PSR J1748-2446ad.
- Gözlenen en uzun periyoda sahip pulsar, 118.2 saniye ile AR Scorpii. Aynı zamanda bu, bir beyaz cüce örneğidir.
- Gözlenen en uzun periyoda sahip nötron yıldızı pulsarı, PSR J2144-3933, 8.51 saniye ile.
- En kararlı periyoda sahip pulsar PSR J0437-4715.
- PSR J1841-0500 tam olarak 580 gün boyunca atım yapmayı durduran bir pulsar. Birkaç dakikadan uzun durduğu bilinen iki pulsardan birisidir.
- PSR B1931+24 bir çevrime sahip pulsar. Bir hafta boyunca atım yapıyor ardından bir ay kadar atım yapmayı durduruyor. Beş dakikadan uzun durduğu bilinen ikinci pulsar.1
Nötron Yıldızı Fiziksel Özellikleri
Bir nötron yıldızının kütlesi 1.1 ile 3 Güneş kütlesi arasında bulunabilir. Fakat genel olarak 1.4 Güneş kütlesinin altındaki yıldızlar beyaz cüce olmaktadır ve gözlenebilmiş en büyük kütleli nötron yıldızı 2.01 Güneş kütlesine sahiptir. Nötron yıldızlarının genel yoğunlukları 3.7x1017 ile 5.9x1017 kg/m3 arasında değişmektedir. Bu değer, atomun çekirdeğinden daha fazladır. Başka bir deyişle bir çay kaşığı nötron yıldızı, Giza piramitlerinden 900 kat daha ağırdır. Basınç ise 3.2x1031 ile 1.6x1034 Pa aralığında değişmektedir4. Deniz seviyesinde bizim tecrübe ettiğimiz basınç ise sadece 101325 Pa'dır.
Yeni oluşmuş bir nötron yıldızının içerisinde sıcaklık 100 milyar ile 1 trilyon kelvin arasındadır. Fakat yayınladığı çok miktardaki nötrino sebebiyle birkaç yıl içerisinde 1 milyon dereceye kadar düşer.3 Bu sıcaklıktaki bir nötron yıldızı ışımasının çoğunu X-ışını bölgesinde yapar.
/old/content_media/b7ab585ed5c62350fdb8df19e72e9de7.png)
Nötron yıldızları aynı zamanda muazzam manyetik alanlarıyla da ünlüdürler. Yüzeylerindeki manyetik alan şiddeti 104 Tesla ile 1011 Tesla arasında değişim gösterebilir5. Basit bir kıyaslama olarak, kullandığımız MR cihazları yalnızca birkaç Tesla düzeyindedir. Öyle ki 16 Tesla'lık bir manyetik alan ile bir kurbağa, diamagnetik levitasyon ile havada tutulabilmiştir6.
Böylesine sıkışık bir cisim, karadelikler kadar olmasa da yüzeylerinde oldukça güçlü gravitasyonel alana sahiptir. Öyle ki yüzeylerindeki bu çekim ortalama 1012 m/s2 değerindedir. Bu değer, Dünya'nın sahip olduğu, bizim tecrübe ettiğimiz yer çekimi değerinden 100 milyar kat daha fazladır. Böyle bir cismin, karadelikler gibi mikromerceklemeye sebep olması beklenebilir. Benzeri şekilde eğer yarıçapı elverişli ise fotonları hapsetmesi de mümkündür. Fakat çeşitli tedirginlikler, böylesine bir foton küresindeki fotonların yörüngelerinin değişmesine neden olacaktır.
Gravitasyonel alanın çok şiddetli olması, karadeliklerde gördüğümüz diğer etkiler olan, zaman kaymasına ve spagettileşmeye neden olacaktır. Tipik bir nötron yıldızının yüzeyinde geçen 4 yıl, Dünya'da 5 yıla eşdeğer olacaktır (dönmediğini varsayarsak böyledir ki, gerçekte çok hızlı döndüğünden bu da bir fark yaratacaktır)7.
Nötron Yıldızlarının Dönmeleri
Nötron yıldızları, oluşumları sırasında açısal momentumun korunumu sebebiyle aşırı hızlı bir biçimde dönmektedirler. Öyle ki bir turları saniyeler ve milisaniyeler arasında değişir. Bunun yanında dönüş periyotları zaman içerisinde çeşitli faktörler sebebiyle yavaşlayabileceği gibi hızlanabilir de. Yavaşlaması durumuna spin aşağı (spin down), hızlanması durumuna spin yukarı (spin up) denmektedir.
Spin Aşağı
Nötron yıldızları zaman içerisinde hem yaptıkları ışıma (hem foton hem nötrino) yoluyla hem de dönen manyetik alanları sebebiyle enerjilerini kaybederek yavaşlarlar. Fakat bu yavaşlama, bizim deneyimlediğimiz zaman içerisinde oldukça az olduğundan kısa zaman içerisinde hiç değişmiyor olarak yorumlanabilir. Teorik olarak bu yavaşlama aşağıdaki şekilde hesaplanabilir:
Uniform bir şekilde dönen bir kürenin rotasyonel enerjisi;
/old/content_media/70f8932c9f49e54f3f7e705d731e8b76.png)
olarak hesaplanabilir. Bulutsunun yaydığı ışıma (lüminozite), pulsarın dönüş hızından birim zamandaki enerji olarak aşağıdaki şekilde hesaplanabilir.
/old/content_media/a2dd95e2d839eab6d42be5118fc58e6b.png)
Böylelikle periyottaki değişim (yavaşlama ya da hızlanma) aşağıdaki şekilde bulunur.
/old/content_media/817789b4b92758d8b5bc48ea2e3be4e4.png)
Sonuç olarak bulutsuya dair yaptığımız gözlemlerden elde ettiğimiz ışıtma (lüminozite) değeriyle periyodunun bilinmesi, onun yavaşlamasının ne kadar olacağı hakkında fikir verir. Çok bilinen Yengeç Bulutsusu (Crab Nebula) için L=2x1031 W, periyot 33ms değerine sahiptir ( yarıçap 10km kabul edilir ve kütle 1.5 Güneş kütlesi alınırsa). P'nin zamanla değişimi 1.52x10-13 s.s-1 olarak hesaplanabilir.7
Görüldüğü üzere periyodun zamanla değişimi aslında birimsizdir. Fakat buradaki s.s-1 bir saniyede kaç saniye değiştiğini ima ettiği için anlamlıdır.
Spin Yukarı
Bazen nötron yıldızları, özellikle çiftli sistemlerde erken evrilen çiftin nötron yıldızı oluşturması sonucunda, madde aktarımıyla kendisine kütle ekleyebilir. Bu durumda zamanla periyot kısalacak, yani dönüş hızlanacaktır.
Kütle, Yarıçap ve Yoğunlukları
Kütlesi Chandrasekhar kütlesinden daha fazla olan bir yıldız, dejenere elektron basıncını daha fazla koruyamayıp nötron yıldızı haline dönüşecektir. Bu kütle kabaca şu şekilde hesaplanabilir.
/old/content_media/f4348bd6822da1266c8c55bf88cb95fb.png)
Neredeyse küresel bir yıldız için kütle M, yarıçap R ve açısal hız Ω≡ 2π/P ise
/old/content_media/314ec4531d63cd9fc8c239e9439b9583.png)
Bu da şunu ima eder:
/old/content_media/727e0121226f513af147a45237ffb388.png)
Ortalama yoğunluk cinsinden
/old/content_media/a562fe49ad33c7dde2fc1e5117005775.png)
ve
/old/content_media/e1872af5b0694830f42d799de136f4ac.png)
dolayısıyla
/old/content_media/1ca752afb9bce1efbf3c53413408acb0.png)
Böylelikle nötron yıldızının ortalama yoğunluğuna, periyot cinsinden bir alt limit konulmuş olur. Yani periyodunu ölçtüğümüz bir nötron yıldızının, ortalama yoğunluğunun minimum ne kadar olacağını tahmin edebiliriz.
Unutmayın ki nötron yıldızları çok hızlı döndüğünden, küreselden sapmış bir geometriye sahiptirler. Dolayısıyla özellikle ekvator bölgesine doğru merkezcil ivme, gravitasyonel etkiyi azaltacaktır. Bu nedenle yoğunluğa dair bir eşitlik değil de alt limit tanımlayabiliyoruz.
Eğer (5) numaralı denklemde yarıçapı çekersek nötron yıldızının sahip olabileceği maksimum yarıçapı bulmuş oluruz.
/old/content_media/4fba4b0cccfa89258f61a8c757253a34.png)
Böylelikle
/old/content_media/135d5dcdb267ebe88381bf173c9ddc17.png)
/old/content_media/ffd6a857d60d79dece055860ad437fcf.png)
kütlesine sahip bir pulsar için maksimum yarıçap değeri 20 km olarak bulunur.
Manyetik Dipol Radyasyonu
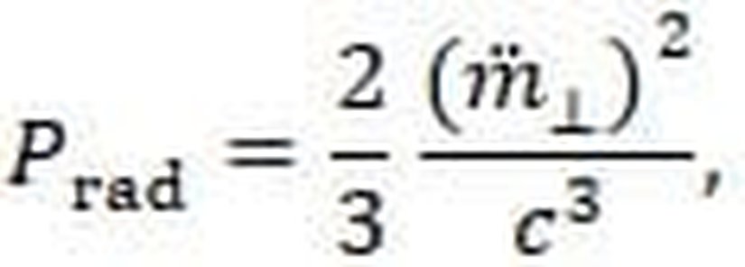
Eğer dönen manyetik dipol, dönüş ekseninden bir α>0 açısıyla eğime sahipse dönüş frekansında bir elektromanyetik radyasyon yayar. Larmor formülünü, dönen elektrik dipolü için yazarsak
/old/content_media/c272e63a323f9d98363dce76a596e070.png)
Burada p=qr elektrik dipol momenti ve
/old/content_media/666f567e6e21e50bdab08ebd396c9b0d.png)
dönüş eksenine dik bileşenidir. Manyetik dipol radyasyonunu tekrar yazacak olursak
/old/content_media/b63e15b8e4bdc78fa6a2f64fe2418921.png)
burada
/old/content_media/9f9c5db7a058622e7570af8e05e2d097.png)
magnetik dipol momentinin dik bileşenidir. Uniform bir biçimde manyetize olmuş, R yarıçaplı ve B manyetik alan şiddetli düzgün bir kürenin manyetik dipol momenti aşağıdaki gibidir.m=BR³
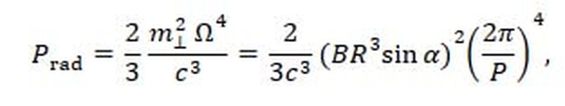
Eğimli bir manyetik dipol momenti Ω=2π/P ile dönüyorsa
/old/content_media/d36bf2437db8b457d9f820850efc4790.png)
olur. Burada P pulsarın periyodudur. Bu elektromanyetik radyasyon çok düşük radyo dalgası bölgesinde yayınlanacaktır, öyle düşüktür ki etrafını kaplayan iyonize olmuş bulutsudan veya yıldızlararası maddeden geçemez. Fakat manyetik dipol radyasyonu, dönme kinetik enerjisini nötron yıldızından dışarı çıkararak, pulsarın periyodunun artmasına (dönüşünün yavaşlamasına) neden olacaktır.
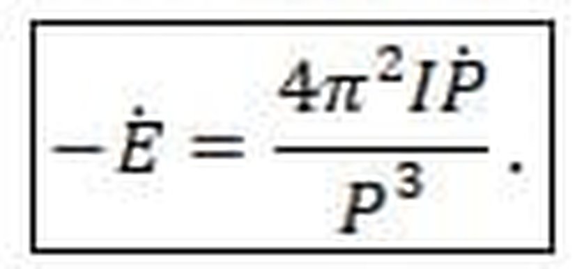
Spin-Aşağı Işıtması (Lüminozitesi)
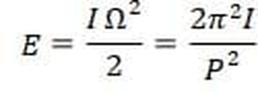
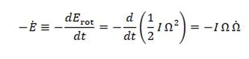
Dönen bir cismin, eylemsizlik momenti I ile ilişkili olan dönme kinetik enerjisi E, aşağıdaki gibi yazılabilir.
/old/content_media/5f428458071dcf126ff56dc78a4beb6b.png)
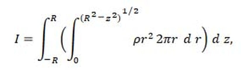
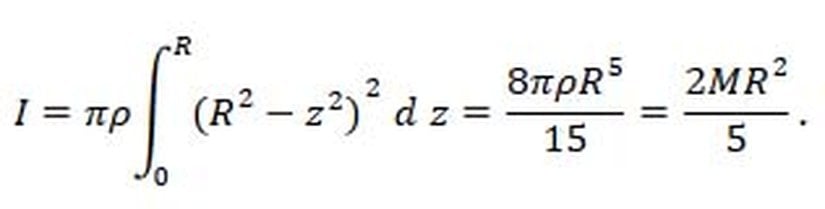
R yarıçaplı, M kütleli, uniform yoğunluk dağılımına sahip z-ekseni etrafında dönen bir kürenin eylemsizlik momenti, kütle elementleri üzerinden toplam alınarak hesaplanabilir:
/old/content_media/4cb67b350c95ebc07b728f33de2d73a6.png)
burada r dönüş ekseninden olan uzaklık, z ise merkezi kürenin merkezi olan silindirik koordinatlardaki yüksekliktir. Bu durumda,
/old/content_media/5fa9ddbbbaaa08ffcc07d9f439fdce93.png)
Kanonik nötron yıldızının dönme momenti,
/old/content_media/cbc5ece8d2d08da316f89390ff2616f6.png)
Yengeç pulsarı için P=0.033 s ise, kanonik nötron yıldızı için dönme kinetik enerjisi aşağıdaki gibi hesaplanabilir.
/old/content_media/a4958a7cf986ce81073b89fff931e9cd.png)
Manyetik dipol radyasyonu dönme enerjisinden çalacaktır, bu da pulsarın periyodunun değişiminin pozitif olduğu (arttığı, yani yavaşladığı) anlamına gelir.
/old/content_media/ad6ade037b80d779ed05cae37842f6af.png)
Burada
/old/content_media/da70b4db92080b85431e3ca9a472b414.png)
'nin birimsiz olduğuna dikkat ediniz (birim saniyedeki saniyece değişim). Yani sadece bir sayıdır. Gözlenen periyot P ve periyodun türevi
/old/content_media/da70b4db92080b85431e3ca9a472b414.png)
'nin yerine konulmasıyla dönme enerjisinin nasıl değiştiği aşağıdaki gibi hesaplanabilir.
/old/content_media/223043cc15789ab126bec187974581d2.png)
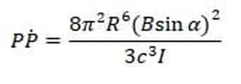
Buna spin-aşağı ışıtması (lüminozitesi) denir. Ölçülen ışıtma değildir, ölçülen dönme enerjisi kaybıdır. Bu nedenle manyetik dipol radyasyonunun ışıtmasına eşit olmalıdır. Spin-aşağı ışıtma genelde atım periyodu P cinsinden şöyle ifade edilir:
/old/content_media/253f1048dcd7b882128c36b612b2c136.png)
Böylelikle spin-aşağı ışıtması denklemi periyot cinsinden aşağıdaki şekle getirilir.
/old/content_media/11740b9dc2e7c882e0ba343eda957ff6.png)
Yengeç pulsarı için P=0.033,
/old/content_media/5acdd7a07a7562cfcd49091a4753531a.png)
ise, spin-aşağı ışıtması
/old/content_media/40d62b7b27ae511c0cfe39f00390d7ec.png)
Eğer
/old/content_media/0e9275532784e598fe1d34176bd12572.png)
ise, düşük frekans ışıtması (
/old/content_media/ce8b0dc22e7ab1fe7ea795b907489c15.png)
) için manyetik dipol radyasyonu bütün bir galaksinin radyo dalgasında yaydığı miktar ile kıyaslanabilir boyuttadır demektir. Bu ışımanın çevresindeki iyonize bulutsu tarafından soğurulup tekrar X-ışını olarak salındığını unutmayın.
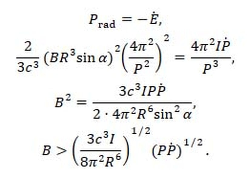
Minimum Manyetik Alan Şiddeti
Eğer
/old/content_media/5e8e638c3d9631ab693889d1a5275c5e.png)
ise, denklemler yeniden düzenlenerek manyetik alan şiddeti B>Bsinα'ya bir alt limit konulabilir (burada bahsedilen nötron yıldızının yüzeyindeki alan şiddetidir). Burada α dönme ekseni ile manyetik eksen arasındaki bilinmeyen açıdır.
/old/content_media/9d28f4fbb444b4fd7b903804d10180d0.png)
Sabitler yerine konulduğunda ilk kısım
/old/content_media/8586f2ff1503af1661b907f8e16adca2.png)
olarak bulunur. Bu durumda kanonik pulsarın yüzeyindeki minimum manyetik alan şiddeti
/old/content_media/c5a275da719170cacf7b08f33a166bb9.png)
Bu, bazen pulsarın karakteristik manyetik alanı olarak da isimlendirilir. Yengeç pulsarı için bu hesabı yapacak olursak bu manyetik alanın 1 cm3'ünün
/old/content_media/1c6833f7f9626bee13e3ec981ea751c4.png)
J ya da yaklaşık yıllık 2 GW enerji olduğunu buluruz. Bu da bir nükleer enerji santralinin yıllık elde ettiği enerjiye denktir.Karakteristik Yaş
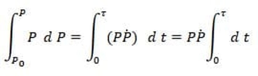
Eğer spin-aşağı ışıtma manyetik dipol radyasyonu ışıtmasına eşitse ve Bsinα zamanla belirgin bir şekilde değişmiyorsa, pulsarın yaşı τ, başlangıç periyodu
/old/content_media/231b21df7b74dc42dc425283c26d65b7.png)
/old/content_media/da70b4db92080b85431e3ca9a472b414.png)
'den hesaplanabilir.
/old/content_media/48a25a176ed1fe807b9425455d31593f.png)
Şu şekilde, P
/old/content_media/da70b4db92080b85431e3ca9a472b414.png)
=P
/old/content_media/da70b4db92080b85431e3ca9a472b414.png)
yerine PdP=P
/old/content_media/da70b4db92080b85431e3ca9a472b414.png)
dt düzenleyerek, pulsarın yaşı boyunca integral alırsak
/old/content_media/7e615a527df012ef985557766a5675a3.png)
P
/old/content_media/da70b4db92080b85431e3ca9a472b414.png)
'nin sabit olduğunu hatırlayın. Üstteki denklem bize şunu verir.
/old/content_media/faef3e4b6490cad065302993ca288c80.png)
Başta verdiğimiz kabul olan başlangıç periyodunun, şu an ölçülenden kısa olması varsayımı altında (
/old/content_media/231b21df7b74dc42dc425283c26d65b7.png)
²<<P²)
/old/content_media/5f2f96bbc7325f4c73b44503e2043ba0.png)
pulsarın
karakteristik yaşı
bulunmuş olunur. Bu değer gerçek değerine oldukça yakın olmalıdır. Yengeç pulsarı için bu hesap yapıldığında yaş
/old/content_media/4c378fdf8421cd68c638c4fb45e18840.png)
yıl olarak bulunur. Bu değer gerçek değerinden biraz daha fazladır. Fazla olduğunu biliyoruz çünkü Yengeç süpernovası 1054 yılında gözlendi, yani bu pulsarın gerçek yaşı hakkında net bir fikir sahibiyiz ve bu da bize teorik hesaplarımızı kıyaslamak için şahane bir örnek oluşturuyor.
Kısaca Nötron Yıldızı (Özet)
- Büyük kütleli yıldızların süpernova patlaması geçirmesi sonucunda ortaya çıkar.
- Her süpernova patlaması nötron yıldızıyla sonuçlanmaz, daha büyük kütleli yıldızlar kara delik oluşturur.
- Evrende gözlenmiş en yoğun ve kompakt yıldızlardır.
- Tipik bir nötron yıldızının boyutu 10 kilometre dolaylarındadır (bir şehirle kıyaslanabilir).
- Fakat kütleleri Güneş'in 1.4 katı ile 2.16 katı arasında yer alabilir.
- Gözlenmiş en büyük kütleli nötron yıldızı 2.01 Güneş kütlesine sahiptir.
- Yoğunlukları 3.7x10
17
ile 5.9x10
17
kg/m
3
- arasında yer alır. Bu değer atom çekirdeğinin yoğunluğundan fazladır.
Bir çay kaşığı nötron yıldızı Giza piramitlerinden 900 kat daha ağırdır.
- Yıldızlardan farklı olarak kendi enerjilerini üretmezler ve zaman içerisinde yaptıkları ışıma dolayısıyla soğurlar.
- Neredeyse tamamen nötrondan oluştuğu modellemelerle öngörülmektedir.
- Dejenere nötron basıncının koruduğu hidrostatik denge sayesinde nötron yıldızı olarak kalırlar.
- Pulsar (atarca) olarak adlandırılan alt bir kategorisi vardır.
- Her bir pulsar bir nötron yıldızıdır ama her nötron yıldızı bir pulsar değildir.
- Radyo dalgaları dahil olmak üzere çeşitli elektromanyetik dalgaları (ışığı) belirli periyotlarla bir deniz feneri gibi yanıp sönenlere pulsar denir.
- Pulsarın bu periyodik parlaması manyetik eksenden çıkan ışıktan gelir. Bu eksen dönüş ekseniyle kesişmediğinden bir deniz feneri gibi etrafını tarar. Eğer bu doğrultuya denk gelirsek bunu görür ve pulsar olarak nitelendiririz.
- Nötron yıldızları çok kompakt cisimler olmalarından kaynaklı açısal momentumun korunumundan dolayı çok yüksek hızlarda dönerler.
- Ölçülmüş en hızlı pulsar kendi ekseni etrafında 1 saniyede 716 kere dönmektedir (PSR J1748-2446ad).
- Sıcaklığı ilk oluştuğunda 100 milyar ile 1 trilyon Kelvin arasındadır. Fakat yaydığı fazla miktardaki ışıma ve nötrino sebebiyle kısa sürede 1 milyon derecelere düşer.
Nötron yıldızının manyetik alan şiddeti 104 Tesla ile 1011 Tesla arasında değişir. MR cihazlarında bu yalnızca birkaç Tesla'dır.
- Kara deliklerde olduğu gibi nötron yıldızları da kompakt olduklarından dolayı zaman kayması tecrübe edilebilir. Tipik bir nötron yıldızının yüzeyinde geçen 4 yıl, yaklaşık 5 Dünya yılına eş değerdir.
- Yaşları periyotlarındaki değişim referans alınarak hesaplanabilir.
- Ortalama yoğunluklarına periyot cinsinden bir alt limit konulabilir. Yani periyodunu gözleyerek ortalama yoğunluğu hakkında tahmin yürütülebilir.
- Benzer bir şekilde yapılacak hesaplamalarla nötron yıldızının sahip olabileceği maksimum yarıçap kütlesi ve periyoduyla ilişkili olarak hesaplanabilir.
- Bazıları çiftli sistemlerde oluştuğundan dolayı bileşene madde aktarımı olması sonucunda eğer yeterli kütleye ulaşırsa dejenere nötron basıncı yenilerek nötron yıldızı kara deliğe doğru evrilebilir.
Hazırlayan:
Ögetay Kayalı
Referanslar
1. Wikipedia, Pulsars, Significant Pulsars List
2. Özel, Feryal; Psaltis, Dimitrios; Narayan, Ramesh; Santos Villarreal, Antonio (September 2012). "On the Mass Distribution and Birth Masses of Neutron Stars". The Astrophysical Journal. 757 (1): 13. arXiv:1201.1006 Freely accessible. Bibcode:2012ApJ...757...55O. doi:10.1088/0004-637X/757/1/55
3. "Introduction to neutron stars". Retrieved 2007-11-11.
4. Ozel, Feryal; Freire, Paulo (2016). "Masses, Radii, and the Equation of State of Neutron Stars". Annu. Rev. Astron. Astrophys. 54 (1): 401–440. arXiv:1603.02698 Freely accessible. Bibcode:2016ARA&A..54..401O. doi:10.1146/annurev-astro-081915-023322.
5. Reisenegger, A. "Origin and Evolution of Neutron Star Magnetic Fields" (PDF). Universidade Federal do Rio Grande do Sul. Retrieved 21 March 2016
6. High Field Magnet Laboratory, Diamagnetic Levitation, <
https://www.ru.nl/hfml/research/levitation/diamagnetic/
>
7. <
http://homepage.physics.uiowa.edu/~rlm/mathcad/addendum%207%20chap%2018%20neutron%20stars,%20pulsars.htm
>
8. <
https://www.cv.nrao.edu/~sransom/web/Ch6.html
>
Kapak görseli
: Universe Sandbox simülasyon programından alınmıştır.
- 1
- 0
- 0
- 0
- 0
- 0
- 0
- 0
- 0
- 0
- 0
- 0
Evrim Ağacı'na her ay sadece 1 kahve ısmarlayarak destek olmak ister misiniz?
Şu iki siteden birini kullanarak şimdi destek olabilirsiniz:
kreosus.com/evrimagaci | patreon.com/evrimagaci
Çıktı Bilgisi: Bu sayfa, Evrim Ağacı yazdırma aracı kullanılarak 10/04/2026 14:15:45 tarihinde oluşturulmuştur. Evrim Ağacı'ndaki içeriklerin tamamı, birden fazla editör tarafından, durmaksızın elden geçirilmekte, güncellenmekte ve geliştirilmektedir. Dolayısıyla bu çıktının alındığı tarihten sonra yapılan güncellemeleri görmek ve bu içeriğin en güncel halini okumak için lütfen şu adrese gidiniz: https://evrimagaci.org/s/12871
İçerik Kullanım İzinleri: Evrim Ağacı'ndaki yazılı içerikler orijinallerine hiçbir şekilde dokunulmadığı müddetçe izin alınmaksızın paylaşılabilir, kopyalanabilir, yapıştırılabilir, çoğaltılabilir, basılabilir, dağıtılabilir, yayılabilir, alıntılanabilir. Ancak bu içeriklerin hiçbiri izin alınmaksızın değiştirilemez ve değiştirilmiş halleri Evrim Ağacı'na aitmiş gibi sunulamaz. Benzer şekilde, içeriklerin hiçbiri, söz konusu içeriğin açıkça belirtilmiş yazarlarından ve Evrim Ağacı'ndan başkasına aitmiş gibi sunulamaz. Bu sayfa izin alınmaksızın düzenlenemez, Evrim Ağacı logosu, yazar/editör bilgileri ve içeriğin diğer kısımları izin alınmaksızın değiştirilemez veya kaldırılamaz.