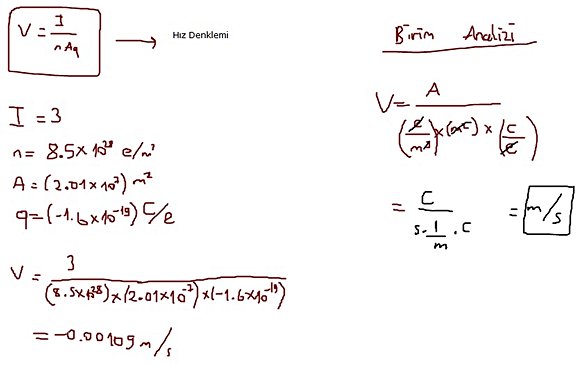
Elektrik genellikle bakır tellerle iletilir. Bakırın özkütlesi (yoğunluğu) 8.94 g/cm³ ve atomik ağırlığı 63.546 g/mol dür, böylece 140685.5 mol/m³ buluruz. Her elementin 1 molünde 6.02x1023 atom bulunur (Avogadro sayısı). Buna göre, her 1 m³ bakır telinde yaklaşık 8.5x1028 atom (6.02x1023 x 140685.5 mol/m³) vardır. Bakır, her atom başına bir serbest elektron barındırır, buna göre n=8.5x1028 elektron/m3 olur.
Akımı I=10 A ve 0,0016m çapa sahip (yarıçapı 0.0008m olan) bir tel var ve bu tel 2.01x10-7 m² kesit alanına sahip olacaktır (A=pi x0.00082)
/old/qna_media/4e5c86db33e18a4a9f306076b311880e.jpg)
Tüm Reklamları Kapat