Keşfedin, Öğrenin ve Paylaşın
Evrim Ağacı'nda Aradığın Her Şeye Ulaşabilirsin!
Paylaşım Yap
Hatice Kutbay'ın cevabı ödüllü bir soruda en iyi cevap seçildi! Ödüllü cevabı okumak için tıklayın!
Keşfet
Akış
İçerikler
Gündem
Gönderiler
Element
Bilişsel
Doğa Yasaları
Plastik
Hücreler
Parçacık
Doktor
Teşhis
Yüksek
Mistisizm
Terapi
Beyin
Manyetik Alan
Sıcaklık
Enfeksiyon
Beslenme Bilimi
Mitler
Mikrobiyota
Konuşma
Transkripsiyon
Mantık Hatası
Adaptasyon
Dinozorlar
Primat
Uzun
Aklımdan Geçen
Komünite Seç
Aklımdan Geçen
Fark Ettim ki...
Bugün Öğrendim ki...
İşe Yarar İpucu
Bilim Haberleri
Hikaye Fikri
Video Konu Önerisi
Başlık
Bugün Türkiye'de bilime ve bilim okuryazarlığına neler katacaksın?
Matematik
Bağlantı
Ekle
Soru Sor
Stiller
Kurallar
Komünite Kuralları
Bu komünite, aklınızdan geçen düşünceleri Evrim Ağacı ailesiyle paylaşabilmeniz içindir. Yapacağınız paylaşımlar Evrim Ağacı'nın kurallarına tabidir. Ayrıca bu komünitenin ek kurallarına da uymanız gerekmektedir.
1
Bilim kimliğinizi önceleyin.
Evrim Ağacı bir bilim platformudur. Dolayısıyla aklınızdan geçen her şeyden ziyade, bilim veya yaşamla ilgili olabilecek düşüncelerinizle ilgileniyoruz.
2
Propaganda ve baskı amaçlı kullanmayın.
Herkesin aklından her şey geçebilir; fakat bu platformun amacı, insanların belli ideolojiler için propaganda yapmaları veya başkaları üzerinde baskı kurma amacıyla geliştirilmemiştir. Paylaştığınız fikirlerin değer kattığından emin olun.
3
Gerilim yaratmayın.
Gerilim, tersleme, tahrik, taciz, alay, dedikodu, trollük, vurdumduymazlık, duyarsızlık, ırkçılık, bağnazlık, nefret söylemi, azınlıklara saldırı, fanatizm, holiganlık, sloganlar yasaktır.
4
Değer katın; hassas konulardan ve öznel yoruma açık alanlardan uzak durun.
Bu komünitenin amacı okurlara hayatla ilgili keyifli farkındalıklar yaşatabilmektir. Din, politika, spor, aktüel konular gibi anlık tepkilere neden olabilecek konulardaki tespitlerden kaçının. Ayrıca aklınızdan geçenlerin Türkiye’deki bilim komünitesine değer katması beklenmektedir.
5
Cevap hakkı doğurmayın.
Aklınızdan geçenlerin bu platformda bulunmuyor olabilecek kişilere cevap hakkı doğurmadığından emin olun.
Size Özel
Makaleler
Rastgele Soru
Ali Kaya
Ali Kaya
365.5K UP
27 Haziran 2024
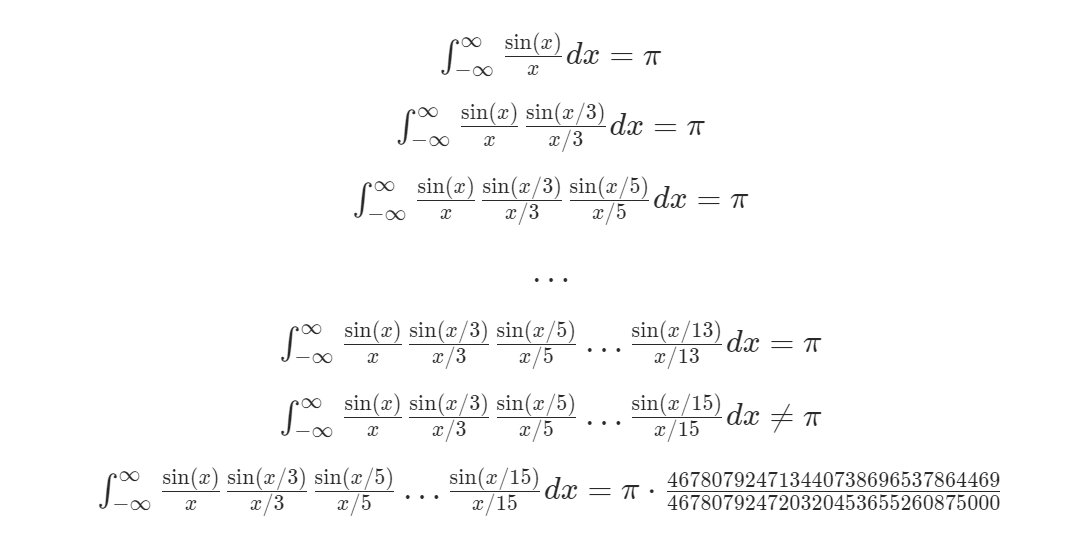
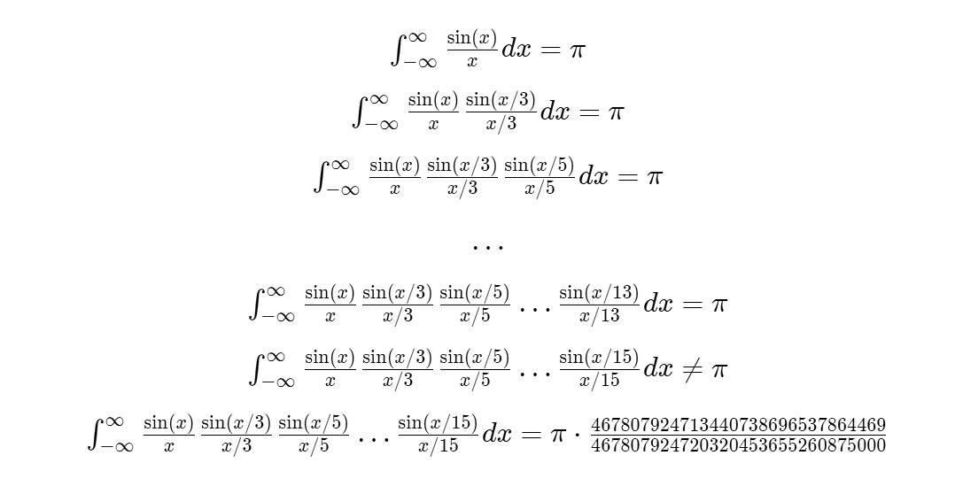
Matematik bazen şaşırtıcı sonuçlar veriyor. Mesela bu tür bir integralde her sonuç π gelirken fakat 8. integralde bir noktada π'ye çok yakın ama aynı zamanda π olmayan bir sonuç geliyor. İşte bu yüzden örüntüye asla inanmamak gerekir!
230 görüntülenme
6
0 Yorum
  • Şikayet Et
  • Mantık Hatası
0
  • Paylaş
  • Alıntıla
  • Alıntıları Göster
Gündem
Matematik
Ali Kaya
Ali Kaya
365.5K UP
20 Temmuz 2024
Bir sayının asal sayı olduğunu kontrol etmek zordur. Ama asal olmadığına bakmak çok kolaydır çünkü 1 den farklı 2 tam sayının çarpımıysa asal olmayacak. Mesela bir soru:
2019^4+4^2019 bir asal sayı mıdır?
bakalım bileşik bir sayı mı
x^4+4y^4=x^2-4(xy)^2+4y^4-4(xy)^2
x^4+4y^4=(x^2-y^2)^2-(2xy)^2
x^4+y^4=(x^2-y^2+2xy)(x^2-y^2-2xy)
2019^4+4*4^2018 olduğundan demekki asal değil!
522 görüntülenme
2
0 Yorum
  • Şikayet Et
  • Mantık Hatası
0
  • Paylaş
  • Alıntıla
  • Alıntıları Göster
Ali Kaya
Ali Kaya
365.5K UP
19 Temmuz 2024
Matematik şüpheye kapalıdır. Bir şey ya doğrudur ya da yanlıştır. Kişisel düşünceye de kapalıdır. Kimse için değişmez ve mutlakdır. Matematiği güçlü yapan da budur zaten. Şüphe yoktur her şey kanıtlar ile bağlanır
444 görüntülenme
8
1 Yorum
  • Şikayet Et
  • Mantık Hatası
0
  • Paylaş
  • Alıntıla
  • Alıntıları Göster
Ali Kaya
Ali Kaya
365.5K UP
17 Temmuz 2024
Boş küme her ne kadar boş olsa da her şeyi içine alır. Daha anlaşılır şekilde boş kümenin elemanları her özelliği sağlar ve zorundadırda...
387 görüntülenme
6
4 Yorum
  • Şikayet Et
  • Mantık Hatası
0
  • Paylaş
  • Alıntıla
  • Alıntıları Göster
Ali Kaya
Ali Kaya
365.5K UP
7 Temmuz 2024
Tam sayılardan oluşan bir dizi aynı anda şu 3 özelliği kesin olarak sağlayamaz:
Sonsuz elemanlı
azalan
Sürekli pozitif
414 görüntülenme
6
0 Yorum
  • Şikayet Et
  • Mantık Hatası
0
  • Paylaş
  • Alıntıla
  • Alıntıları Göster
Ali Kaya
Ali Kaya
365.5K UP
5 Temmuz 2024
Rusya'nın St. Petersburg şehrinde bulunan "Smolenskoye Lyuteranskoye Kladbishche" mezarlığında tarihin en büyük matematikçiletrinden birisi olan Leonhard Euler'in mezarı bulunmaktadır
465 görüntülenme
Bu gönderi Evrim Ağacı tarafından öne çıkarılmıştır.
6
0 Yorum
  • Şikayet Et
  • Mantık Hatası
0
  • Paylaş
  • Alıntıla
  • Alıntıları Göster
Daha Fazla İçerik Göster
Popüler Yazılar
30 gün
90 gün
1 yıl
Evrim Ağacı'na Destek Ol

Evrim Ağacı'nın %100 okur destekli bir bilim platformu olduğunu biliyor muydunuz? Evrim Ağacı'nın maddi destekçileri arasına katılarak Türkiye'de bilimin yayılmasına güç katın.

Evrim Ağacı'nı Takip Et!
Keşfet
Ara
Yakında
Sohbet
Agora

Bize Ulaşın

ve seni takip ediyor
Türkiye'deki bilimseverlerin buluşma noktasına hoşgeldiniz!

Göster

Şifremi unuttum Üyelik Aktivasyonu

Göster

Şifrenizi mi unuttunuz? Lütfen e-posta adresinizi giriniz. E-posta adresinize şifrenizi sıfırlamak için bir bağlantı gönderilecektir.

Geri dön

Eğer aktivasyon kodunu almadıysanız lütfen e-posta adresinizi giriniz. Üyeliğinizi aktive etmek için e-posta adresinize bir bağlantı gönderilecektir.

Geri dön

Close
"Özgürlük yasalar veya kurumlardan değil, insanlardan gelir."
Clarence Darrow
Kapak Görseli Seç
Videodan otomatik olarak çıkartılan karelerden birini seçin.
Kareler yükleniyor…
Videoyu kaydırarak istediğiniz kareyi seçin.
0:00 / 0:00
Kendi kapak görselinizi yükleyin. Görsel otomatik olarak kırpılacaktır.
Görseli sürükleyin veya tıklayın PNG, JPG veya WEBP (Maks. 10MB)